Пьеса в трех актах

----------------------------------------------------------------------------
     Перевод Андрея Чернова
     Изографус Синтаксис, Москва-Париж, 2003
     OCR Бычков М.Н.
----------------------------------------------------------------------------



     Предисловие ко второму изданию

                     Трагедия Гамлета, принца Датского

                                   I акт

     Сцена 1 - эспланада перед замком
     Сцена 2 - зал в замке
     Сцена 3 - комната Полония
     Сцена 4 - эспланада
     Сцена 5 - двор замка

                                   II акт

     Сцена 1 - комната Полония
     Сцена 2 - зал в замке
     Сцена 3 - зал в замке
     Сцена 4 - зал в замке
     Сцена 5 - комната короля
     Сцена 6 - комната королевы
     Сцена 7 - комната короля
     Сцена 8 - комната Гамлета
     Сцена 9 - комната короля
     Сцена 10 - равнина

                                  III акт

     Сцена 1 - комната короля
     Сцена 2 - комната Горацио
     Сцена 3 - комната короля
     Сцена 4 - кладбище
     Сцена 5 - зал в замке

                            Статьи и комментарии

     Комментарии. А.Ю. Чернов
     Заметки о "Гамлете"
     "Гамлет". Поэтика загадок. А.Ю. Чернов
     Цветы в "Гамлете". С.Л.Николаев, А.Ю.Чернов
     Полемика. И.О.Шайтанов, С.Л.Николаев
     Формула Шекспира. А.Ю. Чернов
     Приложение




     "Переводчик  в прозе раб, а в стихах соперник", - обронил Поэт. Русский
переводчик "Гамлета" обречен на двойное соперничанье - с автором оригинала и
переводческой  традицией. Но даже если ты сам осознаешь, что вскарабкался на
плечи  гигантов,  знакомый  театровед  все  равно  поинтересуется:  "А  что,
Пастернак уже не устраивает?"
     Переводы редко живут на сцене долее трех десятилетий: язык, как стрелки
часов, незримо смещается во времени. Переводчиком становится тот, кто раньше
других заметит, что часы отстали.
     Мне  жаль  ямбического  затакта  "То be, or not to be...", того первого
безударного  слога,  в  котором слышен резкий вдох и виден взмах поднявшейся
для  удара  руки.  На  этом  фоне  "Быть  иль  не  быть,  вот  в чем вопрос"
(Пастернак)  вместе  с "Быть или не быть - таков вопрос" (Лозинский) - тупой
тычок,  слепок с честной версификации ученого-геодезиста М.П.Вронченко (1828
г.):  "Быть  иль  не  быть  - таков вопрос..." и Николая Полевого (1837 г.):
"Быть или не быть - вот в чем вопрос!".
     В русских переводах я не слышу тигриного рыка короля: "Gertrude, do not
drink".  (Если  это  "Не  пей  вина,  Гертруда",  то прав Борис Гребенщиков,
продолживший:  "Пьянство  не  красит  дам!") Не могу поверить, что стражники
изъясняются со столь явным немецким акцентом: "Кто здесь?" "Нет, сам ты кто,
сначала отвечай!" И фонетически невнятное "Разлажен жизни ход..." не заменит
подлинного  "The  time is out of joint" ("Век вывихнут"), в котором выражена
та  же  средневековая  идея  выворачивания  времени,  что и в "Слове о полку
Игореве": "Наничь ся годины обратиша" ("Обратились времена наизнанку").
     А  перевод "Words. Words. Words" как "Слова. Слова. Слова" - всего лишь
подстрочник.
     Что  обычно  делает  человек,  когда  читает хорошую книгу и чего-то не
может  в ней понять? Трет переносицу и, пообещав себе, что непременно в этом
разберется (когда будет время), продолжает чтение. Переводчику сложней. Если
он  честен  перед  собой  и  текстом, работа может встать на недели или даже
месяцы.
     У  меня  не  было  установки  отыскать  в  "Гамлете"  нечто  никому  не
известное,  я  просто  хотел  сделать  новый  перевод пьесы Шекспира. Но чем
дальше  втягивался  в  работу, тем удивительней становилось ощущение разрыва
между  английским  текстом  и  его  классическими  интерпретациями. Вроде бы
Гамлет оставался Гамлетом, а Клавдий - Клавдием, но это были другие Гамлет и
Клавдий. Иными оказывалась логика их поступков, а, значит, и сами поступки.
     XX  век  с  его  установкой  на научно-технический прогресс игнорировал
шекспировскую   логику   "темного"   стиля,   опирающуюся  на  многомерность
поэтического  слова. (Подробнее об этом см. с. 237-242.) Главным образом это
касается  образа  Горацио  и  тайны гибели Офелии. Пропустив через руку весь
текст,  я  смею полагать, что при всех своих открытиях шекспироведение три с
лишним   века   повторяет   ошибки,  сделанные  провинциальными  английскими
трагиками  еще  во  второй  трети  XVII  в., когда после восемнадцатилетнего
запрета театров Британия узнала о Шекспире.
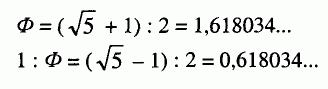
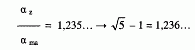
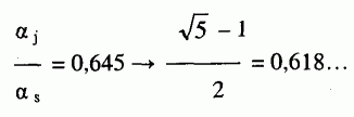
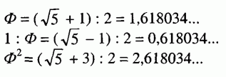
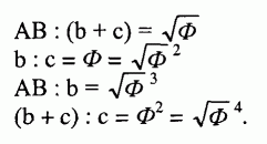
     В  заметке "Формула Шекспира" мною сделана попытка структурного анализа
текста "Гамлета". Видимо, впервые в произведении изящной словесности удалось
обнаружить  феномен  золотого  сечения.  При  этом  оказалось, что пропорции
"Гамлета"   таят  в  себе  не  только  классическое  "золото",  но  и  ранее
неизвестную  производную  от  его  базовой  формулы. Здесь же я обосновываю,
почему "Гамлет" должен быть разделен не на пять, а на три акта.
     Тут необходимо методологическое отступление:
     Еще  Ньютон  пришел  к выводу, что результаты научных наблюдений нельзя
опровергнуть   их  критикой,  а  гипотезе  следует  противопоставить  другую
гипотезу,  которая  лучше,  чем  первая,  объясняет  сумму экспериментальных
фактов.  А  в  70-е  годы  XX в. американский физик Томас Кун выпустил книгу
"Структура   научных   революций".   Этот   труд   перевернул  представления
человечества   о   путях  и  способах  развития  науки.  (На  русском  языке
"Структура..."  выходила многократно.) Томас Кун показал, что научное знание
увеличивается  не  путем  приращения,  а  в  результате  революционной смены
научных парадигм.
     Так  геоцентрическая  система  была заменена гелиоцентрической, а потом
выяснилось, что Солнце - тоже не центр мироздания.
     Смена  парадигмы мирно не происходит: сначала в результате наблюдений и
экспериментов  выявляются  факты,  не  укладывающиеся  в принятую парадигму.
Какое-то время на это стараются не обращать внимания, ссылаясь на неточность
приборов,  некорректность экспериментов или на то, что "этого не может быть,
потому  что  не  может  быть". Но число "проклятых" фактов растет, и однажды
кто-то   предлагает  новую  парадигму,  объясняющую  одновременно  и  факты,
принятые ординарной наукой и получившие свое объяснение в прежней парадигме,
и "проклятые" факты.
     Происходит  перестройка  и переосмысление места всех элементов системы.
Так,  скажем,  для  Эйнштейна  за  понятием массы или веса скрывается совсем
другая  реальность,  нежели  для  Ньютона.  При  этом  законы релятивистской
механики  не  отменяют  законы  механики  классической,  а  лишь развивают и
дополняют их.
     Эта   книга   -  моя  попытка  реконструкции  шекспировского  замысла и
изменения  ныне  принятой  "гамлетовской" парадигмы. Мне представляется, что
привычные  литературоведческие  формулы,  работающие на материале ординарной
драматургии  Марло  или Кида, оказываются неспособными описать шекспировскую
реальность, обладающую другой пространственной мерностью.
     Искусство,  в  отличие  от  жизни,  - тотально. И у него - своя логика,
очень   похожая   на  логику  мифологическую.  Здесь  нет  места  "случайным
сближениям".  В  поэзии даже тривиальные созвучия нетривиальны: они - скрепы
поэтической    ткани,    заменяющие    то,    что   мы   привыкли   называть
причинно-следственными  отношениями. Это похоже на справедливо презираемые в
ученом  мире  поиски  философского  камня  или  снежного  человека. При этом
позитивистски  мыслящий исследователь зачастую не принимает во внимание, что
логика  шекспировской драматургии отлична от его логики. В первой реальности
поиски  философского  камня  - гибрид шарлатанства и невежества, во второй -
норма.  (Мнение  по  этому поводу моих коллег и оппонентов Игоря Шайтанова и
Сергея Николаева см. в конце книги со с. 315.)
     Шекспироведение  накопило  богатый  запас  точных  наблюдений  и смелых
гипотез,  но  методы,  которыми оно пользуется, смею полагать, устарели: они
годятся  для  решения  некоторых  сугубо текстологических проблем и мало что
дают  для  понимания  логики шекспировского повествования. Тут интерпретации
литературоведов, как это ни странно, очень похожи на режиссерские трактовки.
За  четыре  века  у  нас  было  время убедиться, что в этом виноват не театр
Шекспира  с  его мнимыми "условностями", а метод, при помощи которого нельзя
найти решения поставленных текстом задач.
     Мы разрешаем Шекспиру быть гениальным ровно настолько, насколько он нам
понятен. (Это то пошлое "трехмерие", о котором говорил Осип Мандельштам.) Не
видя  четвертого  измерения текста, шекспироведы анализируют не "Гамлета", а
свое  о  нем представление, похожее на оригинал так же, как восковая персона
на  живого  человека.  Текст  рассыхается и начинает распадаться, из-за чего
остаются невыявленными даже простейшие связи. Структурные пустоты приходится
замазывать ганчем собственных домыслов. Но поскольку шекспироведение - всего
лишь  "ведение",  а  не  точная  наука,  кр изис не осознается как кризис, и
начинается игра в бисер - вязкая эпоха мелких наблюдений, культурологическую
ценность которых нельзя взвесить уже потому, что они не составляют системы.
     Надо  ли  удивляться,  что дело заканчивается культурной (по китайскому
образцу)  революцией  постмодернизма  и  маргинальными  поисками "подлинного
автора"  шекспировских  пьес,  не  имеющими  никакого  отношения  к научному
поиску? (Анна Ахматова более чем полвека назад называла такие штудии "бунтом
персонажей против автора".)



     Моя  работа  началась  в ночь на 25 февраля 1997 г. с перевода монолога
Гамлета  "То  be, or not to be...". Утром позвонили из Парижа и сказали, что
умер  Андрей  Синявский.  В  тот  день  я  дал  слово Андрею Донатовичу, что
переведу   всю   пьесу.   Поэтому  свой  текст  я  посвящаю  светлой  памяти
А.Д.Синявского, русского Гамлета XX столетья, писателя, который на публичном
процессе первым не признал вины перед советским правосудием. В середине 60-х
с  дела  Андрея  Синявского  и  Юлия Даниэля в стране началось правозащитное
движение.   Время,   в  котором  росло  мое  поколение,  было  перевернуто с
изнаночной стороны на лицевую.
     Приношу  благодарность  театроведу  Ольге Коршаковой и лингвисту Сергею
Николаеву за перевод и толкование наиболее трудных мест подлинника.
     Спасибо   всем,  кто  читал  рукопись  и  сделал  многие  памятные  мне
замечания. Или просто помог добрым словом.
     Спасибо  Московскому  драматическому  театру  им. К.С.Станиславского, в
котором осенью прошлого года "Гамлет" в моем переводе был поставлен Дмитрием
Крымовым, и, конечно, всем актерам, занятым в этом спектакле.
     И прошу прощения у читателя за те ошибки или противоречия, без которых,
увы,  не  обходится  ни  одно  исследование.  Часть  из них в этом издании я
попытался  исправить. Буду благодарен каждому, кто пришлет свои замечания по
адресу achernov@ru.ru

                                                               Андрей Чернов
                                                               6 мая 2003 г.




                    Памяти Андрея Донатовича Синявского
                     посвящает свой труд автор перевода



     Гамлет, сын покойного короля Гамлета и племянник нынешнего
     Клавдий, король Дании, дядя принца Гамлета
     Призрак отца принца Гамлета
     Гертруда, королева Дании, мать принца Гамлета и супруга Клавдия
     Фортинбрас, принц норвежский
     Полоний, первый вельможа при дворе Клавдия
     Офелия, дочь Полония
     Лаэрт, сын Полония
     Горацио, университетский приятель принца Гамлета
     Школьные приятели принца Гамлета:
     Розенкранц
     Гильденстерн
     Швейцарская стража:
     Бернардо
     Марцелл
     Франциско
     Датские послы:
     Вольтиманд
     Корнелий
     Актеры:
     Первый актер, он же Пролог
     Актер-король
     Актер-королева
     Актер-Луциан
     Могильщики (комики-простаки):
     Первый
     Второй
     Рейнальдо, человек Полония
     Озрик, молодой вельможа
     Капитан (норвежский)
     Слуга
     Первый матрос, глава пиратов
     Придворный
     Священник
     Первый посол (английский)
     Датчане, придворные, офицеры, дамы,
     солдаты, матросы, слуги.

                         Место действия - Эльсинор



                                  Сцена 1

                    Эспланада перед королевским замком.
                    На часах Франциско. Входит Бернардо.

                                  Бернардо

                    Здесь есть кто?

                                 Франциско

                    Вот так я и сказал!.. Пароль скажи!

                                  Бернардо

                    Здоровье короля!

                                 Франциско

                                      Бернардо?

                                  Бернардо

                                                 Верно.

                                 Франциско

                    Ну, наконец-то!.. А который час?

                                  Бернардо

                    Да за полночь. Ступай, поспи, Франциско.

                                 Франциско

                    Спасибо, что сменил. Сегодня зябко.
                    И как-то мне опять не по себе.

                                  Бернардо

                    Все было тихо?

                                 Франциско

                                    Тише не бывает.

                                  Бернардо

                    Покойной тебе ночи. Если встретишь
                    Марцелла и Горацио, скажи,
                    Чтоб поспешили...

                         Входят Марцелл и Горацио.

                                 Франциско

                    А это кто?.. Стой, кто идет!

                                  Горацио

                                                 Друзья
                    Державы здешней.

                                  Марцелл

                                     И опора трона.

                                 Франциско

                    Вот это люди!

                                  Марцелл

                                  Доброй ночи, друг!
                    Кто принял пост?

                                 Франциско

                                     Бернардо. Он остался,
                    А мне пора...
                                  (уходит)

                                  Марцелл

                                   Здорово, стража!

                                  Бернардо

                                                     Ба,
                    Горацио, ты с нами?

                                  Горацио
                               (подает руку)

                                        Лишь отчасти.

                                  Бернардо

                    У, как я рад!.. Горацио!.. Марцелл!..

                                  Горацио

                    А что, не объявлялось привиденье?

                                  Бернардо

                    Покуда - ждем...

                                  Марцелл

                                     Горацио сказал,
                    Что это все игра воображенья,
                    И не поверит он ни в жизнь, что призрак
                    Уже два раза приходил сюда...
                    Но согласился с нами подежурить
                    И говорит, что с ним поговорит,
                    Когда оно пожалует...

                                  Горацио

                                           Ну да,
                    Вот так оно и явится!

                                  Бернардо

                                          Присядем,
                    А я покуда все и расскажу...

                                  Горацио

                    Я - весь вниманье...

                                  Бернардо

                                          Так... Вон та звезда,
                    Левей Полярной, к западу клонилась...
                    Примерно как сейчас!.. Пробило час,
                    Тут мне Марцелл и...

                                  Марцелл

                                         Тсс!.. Гляди!.. Молчи!..

                              Входит Призрак.

                                  Бернардо

                    Ну в точности покойный наш король.

                                  Марцелл

                    Начни, студент! Тебя учили, как
                    Заговорить с ним...

                                  Бернардо

                                        Что, похож?.. Похож?..

                                  Горацио

                    До изумления... До чувств потери...

                                  Бернардо

                    Очнись, Горацио!

                                  Марцелл

                                      Давай, спроси!

                                  Горацио

                    Ответствуй мне, явившийся в ночи
                    В обличьи Гамлета, покойного монарха,
                    Зачем ты здесь? И кто ты есть? Ответь,
                    Я заклинаю Небом!

                                  Марцелл

                                      Оскорбился.

                                  Бернардо

                    Уходит...

                                  Горацио

                               Стой и отвечай, когда
                    Я Небом заклинаю!..

                              Призрак уходит.

                                  Марцелл

                                         Сорвалось?

                                  Бернардо

                    Что это было, а?

                                  Горацио

                                      Клянусь Творцом,
                    Такое встретить - ум зайдет за разум.
                    Когда бы услыхал я - не поверил!

                                  Марцелл

                    Но внешне он на Гамлета похож?

                                  Горацио

                    Как ты на самого себя. И панцирь,
                    В котором он в бою поверг норвега,
                    И так же он угрюм был перед тем,
                    Как, грянув из укрытия, размазал
                    По льду залива польские обозы...
                    Непостижимо!

                                  Марцелл

                                  А вчерашней ночью
                    Он дважды мимо нас прошел...

                                  Горацио

                                                 Друзья,
                    Не все загадки подлежат отгадке.
                    Одно мне ясно: это верный знак
                    Грядущих потрясений...

                                  Марцелл

                                           Так... Однако
                    Что происходит, объясни ты мне...
                    Зачем и там и тут торчат дозоры?
                    Собак и пьяниц по ночам пугать?
                    Зачем везут руду из-за границы
                    И плавят, плавят - полстраны в дыму.
                    Куют доспехи. Из-за наковален
                    Колоколов не слышно. А на верфях -
                    Ни выходных, ни праздников. В чем дело?
                    С кем драться будем?

                                  Горацио

                                          Я перескажу
                    Лишь то, что знаю или слышал сам.
                    Тот, кто нам в виде призрака являлся,
                    При жизни вызван был на поединок
                    Своим врагом заклятым Фортинбрасом
                    Норвежским, подстрекаемым гордыней
                    И завистью. И благородный Гамлет -
                    За благородство в данной части света
                    Пред ним и преклонялись - заколол-
                         таки надменного невежду... Но
                    Убитый должен был по договору,
                    Скрепленному печатями и прочим,
                    Погибнув, отказаться от претензий
                    На все, что он завоевал, а Гамлет,
                    Согласно содержанию статей
                    Того же договора, уступал
                    Такие же захваченные земли
                    Норвегу, если б тот его убил.
                    А ныне Фортинбрас, сын Фортинбраса,
                    Пустой юнец, ведомый самомненьем,
                    Призвал народ к отмщению, собрал
                    Толпу бродяг, готовых за похлебку
                    Хоть в пекло, и, употребив насилье -
                    О чем известно нашему правительству, -
                    Стальной рукой намерен возвратить
                    Те, вышеупомянутые земли.
                    Вот вследствие чего, друзья мои,
                    Теперь и Дания пришла в движенье...

                                  Бернардо

                    Похоже, что ты прав... Как пить дать, прав!
                    Недаром призрак в боевых доспехах
                    Пред замком гробовым дозором бродит.
                    Покойный государь - войны виновник,
                    А призрак с ним - один в один!

                                  Горацио

                                                О да!
                    В духовном оке даже и соринка
                    Способна стать причиной крупных слез.
                    Так было в Риме - лавры да триумфы,
                    Но перед тем, как пал великий Юлий,
                    Гробницы опустели. Мертвецы
                    По Форуму слонялись. Днем на солнце
                    Являлись пятна. По ночам висели
                    Косматые кометы. И кровавый
                    Шел дождь с небес... Потом звезда Нептуна,
                    Луна, в морскую канула пучину,
                    И все закончилось... Теперь и нам
                    Подобный знак паденья и распада
                    Природою ниспослан...

                              Входит Призрак.

                                           Что такое?
                    Ты возвращаешься?.. Ну, погоди,
                    Дружок, я перейду тебе дорогу,
                    Хотя бы ты разнес меня по кочкам!
                    Стой, наваждение! И если ты
                    Способно говорить, то говори!
                             Скажи мне,
                             Есть ли что-либо на свете,
                    Что может участь облегчить твою,
                    А мне явить источник благодати?
                             Открой мне,
                             Появление твое
                    Не предвещает ли грядущих бедствий?
                    И может ли прозрение мое
                    Предотвратить грядущее?
                             Скажи,
                    Когда при жизни предал ты земле
                    Сокровища, - ведь, говорят, за это
                    Вы, призраки, и бродите ночами! -

                                Поет петух.

                    Скажи об этом. Стой! Откройся мне!..
                    Марцслл, останови его!

                                  Марцелл

                                            Его?..
                    Остановить?.. Мне?.. Алебардой?..

                                  Горацио

                                                 Бей!
                    Оно не подчинилось!..

                                  Бернардо

                                           Есть!

                                  Горацио

                                                 Достал!

                                  Марцелл

                    Ушел...

                              Призрак уходит.

                            Мы слишком дурно обошлись
                    С Его Величеством, затеяв драку...
                    Поскольку он неуязвим, как воздух,
                    Удары наши - вроде как насмешка...

                                  Бернардо

                    Я думаю, все дело - в петухе...

                                  Горацио

                    Вне всякого сомненья. Я приметил,
                    Как вздрогнул он, как будто в чем виновен,
                    Когда труба пернатая денницы
                    Своей луженой глоткой пробудила
                    Дневное божество... При звуках сих
                    В огонь ли, в воду, в тучу или в землю,
                    Короче, - в заточение свое
                    Нисходят духи грешные. И этот
                    Удостоверился, что он - не исключенье.

                                  Марцелл

                    Да, он пожух, когда запел петух.
                    Недаром же в Рождественский сочельник
                    Я слышал, петухи не умолкают,
                    А привидения из-под земли
                    Не кажут носа, и безвредны звезды,
                    И ведьмы не имеют силы. Вот
                    Сколь свят и сколь всемилостив сочельник
                    Пред Рождеством Спасителя!

                                  Горацио

                                               Я также
                    Слыхал об этом и частично верю.
                    Однако - стоп. Довольно на сегодня.
                    Взгляните: утро в пепельном и алом
                    Плаще денницы - шествует по склонам
                    Холмов росистых, и пора на отдых
                    Полночной страже... Но один совет -
                    Своими наблюденьями ночными
                    Должны мы поделиться с нашим принцем.
                    Сия штуковина глухонемая,
                    Клянусь, она язык-то свой развяжет,
                    Когда мы их сведем накоротке.
                    А посему, коль нету возраженья,
                    Из чувства долга, чувства уваженья
                    К персоне принца Гамлета, должны мы
                    Пойти и принца в тайну посвятить.

                                  Марцелл

                    А что, недурно!.. Кстати, мне известно,
                    Где Гамлет наш - ну как сказать? - ночует.
                                 (Уходят.)


                                  Сцена 2

  Тронный зал. Трубы. Входят король с королевой, за ними Гамлет, Полоний,
                  Лаэрт, Вольтиманд, Корнелий и придворные

                                   Король

                    Еще не скоро выветрится скорбь
                    О Гамлете, покойном нашем брате,
                    А потому пристало обнажить
                    Сосуд страданья, присовокупив
                    К печали вашей каплю наших слез.
                    Но битва благочестия с природой
                    Зашла так далеко, что подобает,
                    Не забывая о покойном, помнить
                    И о самих себе. И посему
                    Вчерашнюю сестру и королеву,
                    Вдову, чье попечение хранило
                    Воинственную Датскую державу,
                    Мы с радостью, отравленной печалью,
                    Восторг стенаньями уравновесив,
                    В тоске и неге, с миртом у одра
                    Супругой нарекли. И ваши речи,
                    Мудрейшие, не отвратили нас.
                    За что примите нашу благодарность.
                    Теперь о юном Фортинбрасе. Он,
                    Превратно умозаключив о наших
                    Достоинствах, оплошно полагает,
                    Что Дания без Гамлета распалась...
                    Вообразив о собственной персоне
                    Невесть чего, он пишет нам посланье,
                    Где требует возврата территорий,
                    Утраченных его отцом, а ныне
                    Хранимых нами после благородной
                    Кончины брата, но о нем довольно.
                    Теперь о том, зачем я вас созвал.
                    Суть дела такова. Мы отписали
                    Норвежцу-королю, который дядей
                    Приходится - что кстати! - Фортинбрасу.
                    Старик давно уже к одру прикован
                    И вряд ли знает о приготовленьях
                    Племянника. Вот с этим-то письмом
                    Мы направляем вас, наш друг Корнелий,
                    И вас, любезный Вольтиманд, послами
                    К правителю норвегов. Полагаем,
                    Что ваших полномочий хватит вам
                    В пределах установленных. Спешите,
                    И спешка вам зачтется. В добрый путь.

                           Вольтиманд и Корнелий

                    Мы Дании родной не посрамим!

                                   Король

                    Мы в том не сомневаемся. Прощайте.

                               Послы уходят.

                    Лаэрт, что там за новости у вас?
                    Вы что-то говорили о каком-то
                    Прошении? Но разве есть такое,
                    Что было вашей просьбой и не стало
                    Моим же предложеньем? Голова
                    Не более родня плечам и телу,
                    Рука для рта не более слуга,
                    Чем датский трон для твоего отца.
                    Так в чем же просьба ваша?

                                   Лаэрт

                                               Государь!
                    Прошу благоволенья отпустить
                    Меня во Францию. По доброй воле
                    Я к вам на коронацию вернулся.
                    Мой долг исполнен. Но моя душа,
                    Как прежде, там, во Франции...

                                   Король

                                                 Однако
                    Отец не против? Говори, Полоний...

                                  Полоний

                    Милорд, мое он выдавил согласье.
                    Пускай уж едет...

                                   Король

                                       В добрый час, Лаэрт.
                    И пусть тебе сопутствует удача,
                    Благоволя ко всем твоим причудам.
                    Теперь наш Гамлет, и родня, и сын...

                                   Гамлет

                    Роднее чем родня, но не родной.

                                   Король

                    Так до сих пор висят над вами тучи?

                                   Гамлет

                    Отнюдь, милорд. Я слепну, как от солнца.

                                  Королева

                    Мой милый Гамлет! Скинь ночной покров.
                    Взгляни как друг на Данию. К чему
                    Весь век искать с опухшими глазами
                    Отца немую тень? Ты знаешь сам:
                    Все, что живет, естественно стремится
                    К могиле. Я права?

                                   Гамлет

                                        Не смею спорить.

                                  Королева

                    А если я права, тогда зачем
                    Так выделяться и казаться мрачным?

                                   Гамлет

                    Казаться? Вы сказали мне "казаться"?
                    Я предпочел бы старый термин "быть".
                    Казаться мрачным может плащ мой черный,
                    Тяжелым - вздох подавленный, глубоким -
                    Поток из слез... Ни плащ, ни эти слезы -
                    Не есть я сам. Во мне вы примечали
                    Одно обличие моей печали.

                                   Король

                    Весьма похвально и отрадно, Гамлет,
                    Отдать свой долг усопшему отцу.
                    Таков порядок. Проходили это
                    И твой отец, и дед. И всякий раз
                    На некий срок себя мы понуждаем
                    Примерить траур. Но твое упорство
                    Зашло за грань постыдного упрямства.
                    А это вещи разные. Унынье -
                    Ты знаешь сам - есть вызов небесам,
                    Занятье, недостойное мужчины,
                    И примитив, пригодный для невежд.
                    При встрече с тем, что столь обыкновенно,
                    К чему слезливость и прыжки рассудка?
                    Лишь тот, кто обуян противоборством,
                    Так близко к сердцу допускает скорбь.
                    А это - оскорбление небес,
                    Живой природы и природы мертвых.
                    Опасный род абсурда. Разум наш -
                    От смерти Авеля и до последней
                    Сегодняшней кончины - утверждает:
                    "Так должно быть!" Итак, тебя мы просим:
                    Отбрось несообразные страданья
                    И нас почти за своего отца.
                    Да будет всем известно, что отныне
                    Ты приближенней, чем иные, к трону,
                    И с той же долей трепетной любви,
                    С которой самый нежный из отцов
                    Благоволит родному сыну, мы
                    Тебе благоволим... А что до просьбы
                    Твоей - вернуться в Виттенберг и дале
                    Учиться - нам она не по душе.
                    Вот наш совет: склони себя остаться.
                    В отраду нам и в утешенье нам
                    Ты - первый из вельмож, сын и племянник.

                                  Королева

                    Не дай простыть молитве материнской.
                    Останься здесь, не езди в Виттенберг!

                                   Гамлет

                    За лучшее почту вам подчиниться.

                                   Король

                    Ответ, достойный любящего сына.
                    Будь в Дании при нас. Пойдем, Гертруда,
                    Его согласье греет душу мне.
                    А потому король провозглашает:
                    Во здравие пьет Дания сегодня
                    Под грохот самой крупной из мортир!
                    Пусть пушка Небу возвестит про эту
                    Победу нашу общую, и пусть
                    Небес достигнет гром победных кубков,
                    А гром небесный вторит. Все - к столу!

                        Все, кроме Гамлета, уходят.

                                   Гамлет

                    О, чтоб ты лопнула, тугая плоть,
                    Водой сошла, росою разрешилась!
                    Когда бы дважды не карал Господь
                    Самоубийц, ну кто, скажи на милость,
                    Кто б согласился эту муку длить,
                    Торча до срока на заглохшей грядке,
                    Где буйство терний да крапивы прыть
                    Навязывают нам свои порядки?
                    Два месяца... - да нет, откуда два?.. -
                    Как тот король, титан в сравненьи с этим
                    Сатиром - уступил свои права
                    На все. Свершилось. Ну и чем ответим?
                    ...Ее ли не любили? Боже, как,
                    Как он умел любить ее! Казалось,
                    Когда он ветру в гневе делал знак -
                    Ее щеки дождинка не касалась!
                    Зачем я должен поминать не впрок,
                    Как вешалась она ему на шею,
                    Как тешилась, как ненасытство ею
                    Не вспоминать... Чур, чур меня!.. Ну, бабы...
                    Какую слабость носите в крови?
                    Хотя бы миг помедлила... Хотя бы
                    Стоптала туфли новые свои,
                    В которых шла ты за отцовским гробом
                    В слезах, как Ниобея... Что ж, теперь
                    В каком-то исступлении особом...
                    Ведь не истек и месяц! Лютый зверь
                    Скорбел бы дольше... Ты ж не можешь дольше.
                    За брата моего отца идешь,
                    Который на отца похож не больше,
                    Чем, скажем, на Геракла я похож.
                    Что может быть постыдней этой роли?
                    Что в низости своей поспорит с ней?
                    Она с глазами, красными от соли,
                    Ныряет в ворох брачных простыней.
                    Какая скорость!.. Здесь добра не будет.
                    На всем кровосмешения печать.
                    Ну разве что и правда - замолчать,
                    Чтоб сердце лопнуло?.. И будь - что будет!

                    Входят Горацио, Марцелл и Бернардо.

                                  Горацио

                    Позвольте вас приветствовать, милорд!

                                   Гамлет

                    Позволю, как своим глазам поверю!..
                    Невероятно, это ты, Горацио,
                    Живой и в добром здравии...

                                  Горацио

                                                 Чего
                    И вам желает верный ваш слуга.

                                   Гамлет

                    Желал бы сам служить тебе, Горацио.
                    Ты не слуга, ты старый мой товарищ.
                    Какими ветрами из Виттенберга?

                                  Марцелл

                    Ваше высочество!..
                              (раскланивается)

                                   Гамлет

                                        Я рад и вам...
                                (к Бернардо)
                    А, добрый вечер, сэр!..
                                (к Горацио)
                                             Так расскажи,
                    Из-за чего ты бросил Виттенберг?

                                  Горацио

                    Увы, милорд, я много прогулял.

                                   Гамлет

                    Очень смешно! Такого анекдота
                    И враг бы о тебе не сочинил.
                    Ты хочешь, чтобы я поверил?.. Впрочем,
                    Чему-чему, а пьянству мы научим.
                    Так что ж тебя заставило вернуться?

                                  Горацио

                    Милорд, сказать по правде, я приехал
                    На похороны вашего отца.

                                   Гамлет

                    Опять ты за свое. Ну сколько можно!..
                    Скорей - на свадьбу матери моей.

                                  Горацио

                    М-да, промежуток был не слишком длинным.

                                   Гамлет

                    Рачительность, мой друг, тому причина.
                    Горячее прямехонько с поминок
                    В холодном виде шло на брачный стол.
                    Я этаких застолий не любитель,
                    По мне уж лучше в райских кущах выпить
                    С врагом заклятым... Но сейчас, когда я
                    Смотрю на моего отца...

                                  Горацио

                                              Как это
                    Вы смотрите?

                                   Гамлет

                                  Духовным зреньем, сэр.

                                  Горацио

                    Я видел вашего отца однажды,
                    Но говорят, он славный был король.

                                   Гамлет

                    И в полном смысле слова - человек.
                    Теперь таких и нету.

                                  Горацио

                                         Так, милорд.
                    Но, кажется, вчера я с ним встречался.

                                   Гамлет

                    Встречались? С кем?

                                  Горацио

                                        С покойным государем,
                    Вашим отцом.

                                   Гамлет

                                    Моим отцом?

                                  Горацио

                                                При мне
                    Свидетели того, что было это
                    Взаправду.

                                   Гамлет

                                 Бога ради, говори!

                                  Горацио

                    Мои друзья, Марцеллус и Бернардо,
                    Подряд две ночи охраняли замок.
                    Ну, караул есть караул... Но в полночь,
                    Вообразите, некая фигура,
                    Точь-в-точь покойный ваш отец, при полном
                    Вооруженьи, в боевых доспехах,
                    Возникла ниоткуда и неспешно
                    Прошествовала дважды мимо них...
                    На расстоянии, ну, скажем, жезла...
                    Естественно, они оцепенели
                    От ужаса такого, а потом
                    Открылись мне, но под большим секретом,
                    И в третью ночь уже мы были вместе.
                    И точно! В полночь некое виденье,
                    Увешанное латами и прочим,
                    Проходит мимо и не смотрит даже
                    На нас, на стражу... По всему выходит,
                    Что это ваш отец.

                                   Гамлет

                                       Где это было?

                                  Горацио

                    На эспланаде перед замком.

                                   Гамлет

                                                Вы
                    Смогли заговорить с ним?

                                  Горацио

                                             Я пытался,
                    Но он и бровью не повел. И только,
                    Уже в конце, ну вроде как решился
                    Ответить мне, но тут пропел петух,
                    И он исчез...

                                   Гамлет

                                  Все это слишком странно.

                                  Горацио

                    Тем более, что так оно и было,
                    Из-за чего мы и пришли сюда.

                                   Гамлет

                    И все же я не знаю, что и думать.
                    ...Кто нынче в карауле?

                             Марцелл и Бернардо

                                             Мы, милорд.

                                   Гамлет

                    Вы говорите, был он точно в латах?

                             Марцелл и Бернардо

                    Весь в латах.

                                   Гамлет

                                  В латах с ног до головы.
                    И, значит, вы лица не разглядели.

                                  Горацио

                    Он в шлеме был, но с поднятым забралом.

                                   Гамлет

                    И мрачен?

                                  Горацио

                               Да, милорд, мрачнее тучи.
                    Как перед бурей.

                                   Гамлет

                                      Очень бледен?

                                  Горацио

                                                     Да,
                    Ужасно бледен.

                                   Гамлет

                                    И смотрел в глаза?

                                  Горацио

                    Еще и как...

                                   Гамлет

                                  Хотел бы я там быть.

                                  Горацио

                    О, вас бы это потрясло!

                                   Гамлет

                                            Возможно.
                    Но долго ли виденье длилось?

                                  Горацио

                                                  Долго.
                    Я мог, к примеру, досчитать до ста.

                             Марцелл и Бернардо

                    Да нет же, дольше!.. И намного дольше!..

                                  Горацио

                    Но не тогда, когда я с вами был.

                                   Гамлет

                    ...И борода седая?

                                  Горацио

                                       Как при жизни,
                    Как серебристый соболь.

                                   Гамлет

                                             Господа,
                    Сегодня я пойду дежурить с вами.
                    Похоже, что оно еще вернется...

                                  Горацио

                    Я это гарантирую.

                                   Гамлет

                                       И если
                    Оно и ныне примет благородный
                    Вид моего отца, - заговорю,
                    Хотя бы подо мной разверзлась бездна...
                    Лишь об одном прошу: вы сохраняли
                    Увиденное в тайне, пусть и впредь,
                    Что б ни случилось, - будет наша тайна.
                    А я... Я ваш должник. Итак, сегодня
                    Без четверти двенадцать возле замка,
                    На эспланаде...

                        Горацио, Марцелл и Бернардо

                                      Будем ждать, милорд.

                                   Гамлет

                    Отныне вы друзья мои. Прощайте!

                    Горацио, Марцелл и Бернардо уходят.

                    Дух моего отца... Притом в доспехах...
                    Ох, как нехорошо... Я ощущаю
                    Какую-то нечистую игру...
                    Скорей бы ночь... И замолчи, душа!
                    Ведь злодеянья, в сущности, нетленны,
                    Укрой землею - все равно восстанут.
                    Хоть поздно, а предстанут пред людьми.
                                  (уходит)


                                  Сцена 3

               Комната в доме Полония. Входят Лаэрт и Офелия.

                                   Лаэрт

                    Багаж на корабле. Зашел проститься.
                    Но буду рад, любезная сестрица,
                    Когда пришлешь хоть весточку, хоть знак
                    С попутным ветром или просто так.

                                   Офелия

                    Не сомневайся, брат.

                                   Лаэрт

                                         Теперь - серьезно
                    О Гамлете. Беги, пока не поздно,
                    От сладкой благосклонности его.
                    Она - каприз, и боле ничего.
                    Там, за фасадом напускной любови, -
                    Игра ума да игры юной крови.
                    Так нежная фиалка по весне
                    Благоухает даже и во сне,
                    Но лето на порог, и... - ах, как жалко! -
                    Где этот дух? И где сама фиалка?
                    Минутная безделица, пустяк,
                    Не более...

                                   Офелия

                                    Не более, чем так?

                                   Лаэрт

                    Ну, рассуди сама... Все очень просто.
                    Так, набухая, вызревает плод.
                    Так, если строить храм, по мере роста
                    Стропил, - молитва неба достает.
                    Положим, он не ведает сомнений
                    И не желает зла твоей судьбе...
                    Что толку в чистоте его стремлений,
                    Когда принадлежит он не себе?
                    Он говорит, что любит? Что ж, быть может.
                    Но даже и любовь его не впрок.
                    Смотри - он за столом себе не может
                    Отрезать приглянувшийся кусок.
                    Его слова возвышенны?.. Кто спорит?
                    Но выше самых страстных слов его
                    Державное веление того,
                    Чья воля принцу Гамлету мирволит.
                    В отличие от нас, простых людей,
                    Он не хозяин, а невольник доли,
                    И сам при всей телесности своей -
                    Всего лишь голос Дании, не боле.
                    Твои дары желанны. Оттого
                    Он завтрашнее ложе стелет лестью.
                    Заслушаешься песенкой его,
                    И сердце потеряешь вместе с честью!
                    Офелия, сестра моя, беги,
                    Беги подальше от его желаний,
                    Сокровище свое убереги
                    Вдали от недостойных излияний...
                    Ведь поутру состав ночной росы
                    Губителен бывает для рассудка...
                    Торопит юность старые часы,
                    Но это - знаешь ли? - плохая шутка.

                                   Офелия

                    Я выучу на память твой урок,
                    Но, милый братец, если разобраться,
                    Откуда эти помыслы не впрок
                    И похотливый тон, достойный старца?
                    Указываешь тропку к небесам,
                    А сам, беспутник ветреный и бравый,
                    Шагаешь вниз по сорванным цветам
                    В погоне за сомнительною славой?

                              Входит Полоний.

                                   Лаэрт

                    О, не пугай меня!.. На этот раз
                    Ты несговорчива на удивленье...
                    Но вот идет отец...
                             (встает на колени)
                                        Отец, у вас
                    Вторичного прошу благословенья,
                    Ведь если вещи прямо называть,
                    Второй отъезд - двойная благодать.

                                  Полоний

                    Еще ты здесь?.. Да как тебе не стыдно!..
                    Верхом на мачту сел попутный ветер,
                    А он чего-то ждет... Поторопись.
                    Приняв повторное благословенье,
                       (кладет руку на голову Лаэрта)
                    Родительское слушай наставленье:
                    Во-первых, - репутация! Держи:
                    Язык отдельно, помыслы отдельно.
                    И то, что делаешь, не делай вслух.
                    Будь прост со всеми, но не фамильярен.
                    Приятелей, когда их испытаешь,
                    Приблизь и к сердцу цепью прицепи.
                    Не потакай отваге желторотой:
                    Остерегайся ввязываться в драку,
                    А ежели не сможешь уклониться -
                    То уклоняться должен твой противник.
                    Любому мненью подставляя ухо,
                    Не каждому в ответ дари свой голос.
                    Храни свои сужденья при себе
                    Да с кошельком соизмеряй привычки.
                    Во Франции встречают по одежке,
                    Ведь Франция - страна аристократов.
                    Оденься побогаче, но со вкусом
                    И без фантазий. Этого не любят.
                    В долг не бери и не давай другому,
                    Особенно друзьям. Ты потеряешь
                    Сначала деньги, а потом и друга.
                    Одалживая, мы себя стесняем
                    В своих же средствах, что довольно глупо.
                    Ты позаботься о себе и этим
                    Другим поможешь. Все. Марш на корабль!
                    И помни мой родительский наказ.

                                   Лаэрт

                    Я жребий свой приемлю со смиреньем.

                                  Полоний

                    Ну ладно. А теперь и впрямь - пора!
                    И слуги ждут, и время приглашает.

                                   Лаэрт
                           (поднимается с колен)

                    Прощай, Офелия, и не забудь
                    Мои слова.

                                   Офелия

                                 Я их замкнула в сердце,
                    А ключик ты с собою увезешь.
                                (обнимаются)

                                   Лаэрт

                    Простите.
                                  (уходит)

                                  Полоний

                                Так о чем он говорил?

                                   Офелия

                    О том, о чем и вы мне толковали,
                    О лорде Гамлете.

                                  Полоний

                                      Вот это кстати,
                    Что ты о нем напомнила сама.
                    Я так скажу: в последние недели
                    Тебя он слишком щедро одаряет
                    Вниманием своим. А ты и рада.
                    И, значит, вся ответственность на мне.
                    И в целях, так сказать, предупрежденья,
                    Скажу, что ты сама себя не знаешь.
                    Не сознаешь, что можно, что нельзя.
                    ...Рассказывай, что было между вами...

                                   Офелия

                    Отец, он предложил свою любовь.

                                  Полоний

                    Вот только этого и не хватало!
                    Любовь... И ты поверила ему?

                                   Офелия

                    По правде, я не знаю, что и думать.

                                  Полоний

                    А ты подумай и предстань пред ним
                    В обличии невинного младенца,
                    Принявшего за чистую монету
                    Его чеканку невысокой пробы,
                    И заяви, что ты дороже стоишь
                    И дураком не выставишь меня.

                                   Офелия

                    Для предложения своей любви
                    Он выбрал способ самый благородный!

                                  Полоний

                    Ага, ты называешь это способ
                    Любви... Ну-ну...

                                   Офелия

                                   Он клялся клятвами святыми!..

                                  Полоний

                    Ну да, чтоб заманить тебя в силки.
                    Пойми, когда душа огнем объята,
                    Она всего щедрей на трескотню.
                    Но эти искры, дочь, увы, не греют
                    И быстро гаснут. Упаси тебя
                    Принять фальшивый блеск за настоящий.
                    Поставь себя превыше домогательств
                    И милостей своих не расточай.
                    Да, Гамлет молод. Но его оковы -
                    Потяжелей твоих. А эти клятвы -
                    Коварный род благочестивых сводниц,
                    И чем благочестивей, тем коварней.
                    Короче, раз и навсегда запомни:
                    С сегодняшнего дня ты прекращаешь
                    Общенье с принцем Гамлетом и впредь
                    Идешь своим путем. Ты поняла?..
                    Что скажешь?..

                                   Офелия

                                   Что должна повиноваться.
                                 (Уходят.)


                                  Сцена 4

         Эспланада перед замком. Входят Гамлет, Горацио и Марцелл.

                                   Гамлет

                    Ну и мороз! И колется, и щиплет...

                                  Горацио

                    И щиплется, и колет, и кусает!

                                   Гамлет

                    Который час?

                                  Горацио

                                  Да без чего-то полночь.

                                  Марцелл

                    Пробило только что...

                                  Горацио

                                      Я ничего не слышал,
                    Но если так, то наступает время
                    Излюбленное ими для прогулок.

                 За сценой звучат фанфары, стреляет пушка.

                    Милорд, что означают эти звуки?

                                   Гамлет

                    А то, что наш король и ночью бдит.
                    На радостях надулся, ну и скачет.
                    И всякий раз, когда он осушает
                    Свой кубок, полный самым крепким рейнским,
                    Взамен его и в честь его фанфары
                    Пердят на всю округу.

                                  Горацио

                                           Такова
                    У вас традиция?

                                   Гамлет

                                    Ну, что-то вроде.
                    Традиция, к которой невозможно
                    Привыкнуть, даже если здесь родился,
                    А упразднить нельзя: вошел в обычай
                    Тупоголовый датский наш кутеж
                    И высоты достиг неимоверной.
                    Мы этим знамениты и в соседях...
                    Восток и Запад хором утверждают,
                    Что все датчане - пьяницы, но мы-то
                    Убеждены - их заедает зависть
                    Ввиду огромных наших достижений,
                    Представленных на той же высоте.
                    Нередко эдак и с людьми бывает:
                    Виновны ли они в родимых пятнах
                    Своих, ведь естество не выбирает
                    Обличия, но пятнышко живет
                    И разрастается, подтачивая корень
                    Самостоянья... Или вот - привычка
                    Дурная, но любезная вначале,
                    Изъян, приобретенный по ошибке
                    Тем, кто лучом Фортуны осенен,
                    Чьи помыслы чисты, а благодать
                    Столь глубока, насколько только может
                    Вместить земное сердце... Беды наши
                    В устах молвы становятся пороком,
                    И то, что было пятнышком, и только,
                    Нас запятнает с головы до пят.

                            Появляется Призрак.

                                  Горацио

                    Смотри, оно идет сюда само!..

                                   Гамлет

                    Да защитят нас ангелы Господни!
                    И кто бы ни был ты - посланник Неба,
                    Или нечистый дух - исчадье ада,
                    И чем бы ни грозила встреча эта,
                    Я все равно с тобой заговорю.
                    Я знаю: в соответствии с твоим
                    Обличием - я должен обратиться
                    "Отец мой Гамлет!..", или "Государь!..",
                    А вот еще - "Датчанин всех датчан,
                    Ваше Величество!..", но отвечай, не медля,
                    Иначе лопну я на этом месте,
                    Зачем ты, вдавленный в небытие
                    Надгробным камнем, саван разодрал
                    И в мир людей идешь, и почему
                    Твоя высокочтимая гробница
                    Вдруг мраморные челюсти разжала,
                    Чтобы тебя на этот свет исторгнуть, -
                    И в новолунье тягостным кошмаром
                    Во всеоружьи ты приходишь к нам?
                    А мы, паяцы матери-природы,
                    Трепещем так, как будто бы душой
                    Коснулись запредельного, такого,
                    Чего не в силах и вообразить,
                    Зачем ты здесь, и что ты нам прикажешь?

                       Призрак делает знаки Гамлету.

                                  Горацио

                    Милорд, оно вас за собою манит,
                    Как будто хочет что-то сообщить
                    Вам одному...

                                  Марцелл

                                   Ну да, весьма учтиво
                    Оно зовет вас отойти подальше...
                    Но не ходите!..

                                  Горацио

                                    Вам туда нельзя!..

                                   Гамлет

                    Да нет же, здесь он говорить не станет.

                                  Горацио

                    Нельзя, совсем нельзя!

                                   Гамлет

                                           Но почему?
                    Чего бояться? Я не дорожу
                    Своею жизнью, а душа бессмертна
                    Равно и у него, и у меня.
                    Ага, вот он опять меня зовет!..

                                  Горацио

                    Мой принц, оно утянет вас в пучину,
                    А то еще заманит на скалу,
                    Нависшую над бездною, и там,
                    Колебля очертания ночные,
                    Заворожит иллюзией свободы
                    И подтолкнет к безумию... Милорд,
                    Подумайте об этом хорошенько:
                    В таких местах гнездится только гибель,
                    И светлячками умопомраченья
                    Мерцает воздух, ежели до моря
                    Так далеко, а снизу только рокот...

                                   Гамлет

                    Ну, я пошел...

                                  Горацио

                                   Милорд, остановитесь!

                                   Гамлет

                    Прочь руки!..

                                  Горацио

                                  Принц, послушайтесь совета!

                                   Гамлет

                    Противного моей судьбе? О, нет.
                    Как я могу, когда мельчайший мускул
                    Во мне напрягся, как Немейский Лев?
                    Меня зовут, и дайте мне дорогу,
                         (вырывается, обнажая меч)
                    Иначе настругаю привидений
                    Из каждого, кто встанет на пути.
                    Прочь, господа!.. Иди. Я за тобою.

            Призрак скрывается в одной из башен. Гамлет за ним.

                                  Горацио

                    Безумец. А ведь я предупреждал.

                                  Марцелл

                    Последуем за ним, пока не поздно.

                                  Горацио

                    Последуем, не убоясь последствий.

                                  Марцелл

                    Пахнуло тленом в Датском королевстве.

                                  Горацио

                    Господь его проветрит!..

                                  Mapцелл

                                              Поспеши!
                                 (Уходят.)


                                  Сцена 5

              Двор замка. Дверь в одной из башен открывается.
                      Выходит Призрак, за ним Гамлет,
                    держащий меч крестом поперек груди.

                                   Гамлет

                    Куда идем? Я дальше не пойду.

                           Призрак оборачивается.

                                  Призрак

                    Тогда последуй за моею мыслью...

                                   Гамлет

                    Я следую за ней...

                                  Призрак

                                        Подходит время,
                    Когда я должен буду возвратиться
                    В объятья смрадного огня...

                                   Гамлет

                                               Несчастный...

                                  Призрак

                    Жалеть меня не должно. Одолжи
                    Своим вниманьем, и тебе откроюсь.

                                   Гамлет

                    Я выслушаю, только не тяни!

                                  Призрак

                    Но, выслушав, ты должен будешь мстить.

                                   Гамлет

                    О чем ты, я не понимаю...

                                  Призрак


                    Дух твоего отца, приговоренный
                    Студеной ночью по земле скитаться,
                    А днем поститься в огненной темнице,
                    Покуда прегрешения мои
                    Горючие - не станут дыма легче.
                    Когда б я мог переступить заклятье,
                    Перевернул бы я легчайшим словом
                    Твою больную душу и умерил
                    Твой пыл, и озарил твои глаза
                    Сияньем вечности, сравнимым только
                    С сиянием сорвавшейся звезды.
                    Одно лишь слово,
                    И встанут дыбом волосы, как будто
                    Ты на плечах, мой милый Гамлет, носишь
                    Не голову свою, а дикобраза,
                    Поросшего броней крепчайших игл.
                    Но эта тайна не для разглашенья
                    Тому, кто состоит из смертной плоти...
                    Так слушай же другую... Крепко слушай,
                    Когда и вправду ты меня любил.

                                   Гамлет

                    О Господи!..

                                  Призрак

                                  Ты должен отомстить
                    За грязное и гнусное убийство.

                                   Гамлет

                    Убийство?

                                  Призрак

                               Да, каких и не бывает.

                                   Гамлет

                    Тогда выкладывай - да поскорей,
                    А я стрижом взовьюсь на крыльях мщенья
                    И доберусь до вожделенной цели
                    Быстрее, чем любовник...

                                  Призрак

                                             Да, я вижу,
                    Ты не рожден быть сорною травой,
                    Затоптанной у пристани летейской.
                    Однако слушай. Обо мне сказали,
                    Что в час, когда я спал в моем саду,
                    Меня змея ужалила. Увы,
                    Все так и было, если только знать,
                    Что ходит та змея в моей короне.

                                   Гамлет

                    Ага, душа, так вот что ты шептала...
                    Мой дядя...

                                  Призрак

                                 Да, кровосмеситель гнусный,
                    Чудовище, паскудник, чародей.
                    Его порочный ум, его бесстыдство
                    Недюжинное - обладают силой,
                    Способной искусить и добродетель.
                    И королева перед ним склонилась.
                    О, Гамлет, Гамлет, как могла она
                    Меня с моей любовью благородной
                    Сменять на негодяя, чьи таланты -
                    Продленное ничтожество, и только?
                    И можно ль добродетель обольстить?..
                    Хотя разврат печется, чтобы форма
                    Не разошлась с небесным содержаньем,
                    Божественный фиал настолько хрупок,
                    Что прародитель похоти, и тот,
                    При том, что сам он ангельского чина,
                    Пресытится дозволенным и станет
                    Охотник до вонючих потрохов.
                    Но поздно... Пахнет утренней зарею...
                    Итак, когда я спал в моем саду,
                    Ко мне подкрался дядя твой и зелье
                    Пролил в порталы уха моего
                    И тем избавил от моей обузы...
                    Да, тот состав из травяного сока
                    Давно враждует с человечьей кровью,
                    И, попадая внутрь, быстрее ртути
                    Он заполняет выходы и входы
                    Природные, все коридоры тела,
                    И все его чуланы... Кислота
                    Вот так сворачивает молоко.
                    Так было и со мной: одна лишь капля,
                    И в краткий миг тяжелая короста
                    Покрыла тело струпьями. Вот так,
                    Вмиг успокоенный рукою брата,
                    С женою и короной разлученный,
                    Я неочищенный, не причащенный,
                    Во всем цветеньи всех моих грехов
                    Обрублен был. И все мои изъяны
                    Прижизненные, все мои долги,
                    И прочее - о ужас, Гамлет, ужас! -
                    Они при мне, и если кровь твоя
                    Не рыбья, - ты стерпеть того не можешь,
                    Как невозможно, Гамлет, чтобы ложе
                    Монархов датских сделалось подстилкой
                    Для прелюбодеянья. Отомсти
                    Так быстро, как сумеешь. Но запомни:
                    Не смей, мой сын, и в самых черных мыслях
                    Замыслить против матери своей.
                    Оставь ее Всевышнему. Оставь
                    Шипам, засевшим в этом слабом сердце,
                    Колоть его и жалить... Так... Прощай...
                    Уже светляк болотный на гнилушке
                    Моргает мне, что наступает утро,
                    И все бледней его огонь холодный...
                    Прощай. Прощай, но помни обо мне.
            (призрак исчезает в земле, Гамлет падает на колени)

                                   Гамлет

                    Ну, что еще, Владыка милосердный?
                    Неужто можно вынести и это?
                    Вот дьявол!.. Сердце бедное, держись.
                    Держись и ты, слабеющее тело.
                           (поднимается с колен)
                    Эй, призрак, если ты способен слышать
                    Во чреве обезумевшего глобуса,
                    Запоминай, что я тебе скажу:
                    Отныне без зазренья выметаю
                    Из картотеки памяти моей
                    Все знания, всю книжную труху,
                    Архивный сор, накопленный годами
                    Моей пытливой юности, весь опыт
                    Ошибок и непраздных наблюдений.
                    И - побоку все заповеди, кроме
                    Одной, твоей. Пока мои мозги
                    Изгвазданы житейским, я бессилен,
                    И даже Небо не поможет... Боже,
                    О Небо, о земля, какая грязь!
                    И эта женщина, и тот мерзавец
                    С улыбочкой, исполненной зубами,
                    Расстроили мои былые планы.
                    ...Но это дело я теперь улажу.
                      (что-то пишет на клочке бумаги)
                    Для Дании такой сюжет - не новость.
                    Ах, дядя, значит, так... Пароль и отзыв -
                    Прощай. Прощай, но помни обо мне.
            (становится на колени, кладет руку на меч и молится)
                    Ну вот и клятва...

                       Появляются Горацио и Марцелл.

                                  Горацио

                                    Принц, вы где-то здесь?

                                  Марцелл

                    Милорд! Милорд!

                                  Горацио

                                    Да сохранит вас Небо!

                                   Гамлет

                    Да будет так.
                              (встает с колен)

                                  Марцелл

                                  Хо-хо, привет, милорд.

                                   Гамлет

                    Привет, мой птенчик. Как тебе леталось?
                    Хо-хо, хо-хо...

                                  Марцелл

                                    Ну, как оно, мой принц?

                                  Горацио

                    Милорд, какие новости?

                                   Гамлет

                                            Какие?
                    Отменные.

                                  Горацио

                               А можно поподробней?

                                   Гамлет

                    Да нет, вы разболтаете.

                                  Горацио

                                            Как можно?
                    Клянусь, я глух и нем.

                                  Марцелл

                                           И я клянусь.

                                   Гамлет

                    Вы в самом деле будете молчать?

                             Горацио и Марцелл

                    Да ради всех святых!

                                   Гамлет

                                          Тогда откроюсь.
                    Еще не знала Дания мерзавца,
                    Подобного тому, кого мы знаем.

                                  Горацио

                    Однако, чтобы это сообщить,
                    Не стоило являться с того света.

                                   Гамлет

                    Ну вот, ты сам на правильном пути,
                    И потому, друзья, я умолкаю.
                    Я думаю, нам лучше разойтись,
                    Пожав друг другу руки. Мне - туда,
                    А вам, куда указывают ваши
                    Желания. У каждого - ведь правда? -
                    Свои желанья. Даже у меня,
                    При всех моих несчастьях, про запас
                    Желанье есть - пойти и помолиться.

                                  Горацио

                    Все это только вихрь пустых словес.

                                   Гамлет

                    Ты прав. Простите, если вас обидел.
                    Простите.

                                  Горацио

                               Никаких обид, милорд.

                                   Гамлет

                    А вот и ты ошибся. Есть обида,
                    Готов поклясться Патриком Святым, -
                    Всего одна обида, но большая.
                    Из-за нее честняга этот призрак
                    И приходил. (А он и впрямь - честняга,
                    Иначе бы навряд ли он позволил,
                    Чтоб вы мою выпытывали тайну.)
                    ...Ну что ж, друзья надежные мои,
                    Мои соратники, мои солдаты,
                    Что будет, если я вас попрошу?

                                  Горацио

                    Лишь то, милорд, что просьбу мы исполним.

                                   Гамлет

                    Я попрошу молчание хранить.

                                  Горацио

                    Мы обещаем.

                                   Гамлет

                                 Обещанья мало.
                    Клянитесь.

                                  Горацио

                                Я клянусь своею честью.

                                  Mapцелл

                    А я - своей.

                                   Гамлет

                                 Клянитесь на мече.

                                  Марцелл

                    Мы поклялись.

                                   Гамлет

                                  Сказ_а_л я - на мече.

                                  Призрак
                                  (снизу)

                    Клянитесь!

                                   Гамлет

                    Ха-ха, дружок, ты тоже так считаешь?
                    ...Вы слышали, что этот славный парень
                    Вам приказал из погреба? Клянитесь.

                                  Горацио

                    Тогда скажите, как должны мы клясться?

                                   Гамлет

                    Клянитесь на моем мече не выдать
                    Того, что здесь при вас произошло.

                                  Призрак
                                  (снизу)

                    Клянитесь!

                                   Гамлет

                    Здесь и повсюду. Кстати, перейдем
                    Туда... Ну-ну, поближе, джентльмены.
                    Теперь - по новой. Возложите руки
                    На этот меч и принесите клятву
                    Молчать о том, что было здесь, при вас.

                                  Призрак
                                  (снизу)

                    Клянитесь!

                                   Гамлет

                    Недурно, старый крот, совсем недурно.
                    Дырявишь грунт куда быстрей сапера.

                  Горацио и Марцелл вновь молча клянутся.

                    Теперь еще одно перемещение.

                                  Горацио

                    Ну и денек... Нет, это слишком странно.

                                   Гамлет

                    Как странника его и принимайте.
                    Горацио, наш мир куда чудесней,
                    Чем снился он философам твоим.
                    Однако возвратимся. И поскольку
                    Вы поклялись, - клянитесь еще раз,
                    И да поможет Божье милосердье
                    Вам, господа, когда я перед вами
                    Предстану не таким, каков я есть,
                    Клянитесь, что ни жестом, ни намеком,
                    Ни словом, ни полсловом, ни ужимкой,
                    Ни заговорщицкой ухмылкой, типа
                    "Мол, мы-то знаем...", или "Если б мы
                    Могли сказать, то, верно, рассказали..." -
                    Меня не предадите. Поклянитесь,
                    И да пребудут с вами Небеса.

                                  Призрак
                                  (снизу)

                                              Клянитесь!

                                   Гамлет
                    Ну, полно, упокойся, дух мятежный!

                  Горацио и Марцелл клянутся в третий раз.

                    Примите, господа, мою любовь,
                    Как приняли вы дружбу. Что еще
                    Способен дать такой бедняк, как я?
                    На все есть Божья воля. Покоримся.
                    Уйдем, от губ не отрывая пальца.
                    Когда эпоха вывихнет сустав,
                    Отлынивать не вправе костоправ.
                    Ну что же, господа, - уйдем, но вместе.
                                 (Уходят.)

                                Конец I акта




                                  Сцена 1

            Комната в доме Полония. Входят Полоний и Рейнальдо.

                                  Полоний

                    Отдашь ему и деньги, и письмо.

                                 Рейнальдо

                    Письмо и деньги.

                                  Полоний

                    Но я в тебя поверю, мой Рейнальдо,
                    Когда заранее ты разузнаешь,
                    Как он себя ведет.

                                 Рейнальдо

                                        Ну да, милорд,
                    Я сам об этом думал.

                                  Полоний

                                         Молодец,
                    Ты делаешь успехи. Для начала
                    Узнай, какие водятся в Париже
                    Датчане: кто что хочет, что имеет
                    И сколько стоит, и какого мненья
                    И те, и, скажем, эти - о Лаэрте.
                    А после действуй, но наверняка.
                    Упомяни, что ты давно знаком
                    С его отцом, знаком с его друзьями,
                    Отчасти с ним самим... Следишь за мыслью?

                                 Рейнальдо

                    Естественно, милорд.

                                  Полоний

                    ...Да, с ним самим, но больше понаслышке.
                    И не накоротке, поскольку он
                    Не то, чтоб дикий, но какой-то странный,
                    Подверженный влияниям... А дальше
                    Ты волен вешать на него собак,
                    Но только тех, что не пятнают чести.
                    Наври про трудный нрав его и буйство,
                    И невоздержанность, и все такое,
                    Что свойственно свободной молодежи.

                                 Рейнальдо

                    И карты?..

                                  Полоний

                    Ну да, положим, карты или кости,
                    И недержанье шпаги в ножнах, и,
                    К примеру, богохульство, неопрятность
                    В быту, и неразборчивость, и пьянство...

                                 Рейнальдо

                    Милорд, но это же и есть бесчестье...

                                  Полоний

                    Ну, не скажи... Бесчестие, о, да,
                    Когда ты сам его и вовлечешь
                    В еще один скандал, ведь он и впрямь
                    Влияниям подвержен... Я не это
                    Имел в виду, а то, чтоб ты, дружок,
                    Мог выставить в весьма забавном свете
                    Его оплошности и недостатки,
                    Которые и свойственны свободе,
                    Все эти вспышки пламенного духа
                    Мятежной юности...

                                 Рейнальдо

                                        Но почему?

                                  Полоний

                    Зачем все это нужно?

                                 Рейнальдо

                                         Да, милорд.

                                  Полоний

                    Ну, как тебе сказать?.. Все очень просто.
                    Слегка - но лишь слегка! - оклеветав,
                    Представишь ты Лаэрта в роде вещи,
                    Которая уже была в работе,
                    А потому запачкана, - но в меру! -
                    И недругов ты разом обезвредишь,
                    Поскольку недруг сторону твою
                    Возьмет и скажет: "Ты хороший парень!",
                    Или: "Отменный джентльмен!.." - слова
                    Зависят от обычаев и нравов
                    Страны конкретной, и от положенья
                    Того, с кем предстоит тебе работать.

                                 Рейнальдо

                    Блестяще, сэр!

                                  Полоний

                                   О чем я говорил?

                                 Рейнальдо

                    ...Возьмет и скажет: "Ты хороший парень!"

                                  Полоний

                    ...Хороший парень. А потом прибавит:
                    Я видел типа этого вчера
                    С тем или, может, с этим. Он играл
                    Почти всю ночь и малость перебрал,
                    А накануне проигрался в теннис...
                    Или другое, дескать, он входил
                    В один торговый дом (то есть в бордель).
                    ...О да, Рейнальдо, маленькая ложь
                    Всегда приводит к истине. Мудрец
                    Идет путем окольных ухищрений,
                    Чтобы обманом правду отыскать.
                    Вот так и ты, последовав во всем
                    Моим советам, - правдой овладеешь.

                                 Рейнальдо

                    Исполню все, как надо.

                                  Полоний

                                         В добрый путь.
                    Ищи его грехи в себе самом.

                                 Рейнальдо

                    Я постараюсь.

                                  Полоний

                                  Вот и постарайся,
                    Чтоб сам он эту музыку сыграл.

                                 Рейнальдо

                    Я вас понял.

                                  Полоний

                                  Удачи!

              Рейнальдо уходит. Вбегает взволнованная Офелия.

                                  Полоний

                                          Что случилось,
                    Офелия?

                                   Офелия

                            Отец, отец,я так
                    Напугана!..

                                  Полоний

                                 Но, ради Бога, - чем?

                                   Офелия

                    Я вышивала в комнатке моей,
                    И вдруг в нее врывается лорд Гамлет
                    С коленями, которые не гнутся,
                    Со спущенными грязными чулками,
                    Подвязанными возле башмаков,
                    Без шляпы, в незастегнутом камзоле,
                    С лицом белее, чем его рубаха,
                    И взглядом столь тоскливым, будто он
                    Ко мне отпущен из пучины ада,
                    Чтоб рассказать о муках преисподней.

                                  Полоний

                    Он помешался от твоей любви?

                                   Офелия

                    Не знаю, но, боюсь, что это правда.

                                  Полоний

                    Что он сказал?

                                   Офелия

                                   Он сжал мою ладонь
                    Одной рукою, а другую руку
                    Держал - вот эдак! - над своею бровью
                    И стал меня кружить, ну точно в танце,
                    И пялился, как будто я модель,
                    А он - художник...
                    Не знаю, сколько это продолжалось,
                    Но он опять ладонь мою пожал
                    И трижды головой кивнул, и поднял
                    Свой взгляд, столь беззащитный, словно он
                    Сейчас не здесь, а где-то в бурном море,
                    И судно разломилось, и волна -
                    Нависшая - его вот-вот накроет.
                    ...Потом он позволяет мне уйти
                    И сам уходит, но почти на ощупь.
                    А у порога тихо засмеялся
                    И бросил нежный взгляд из-за плеча...

                                  Полоний

                    Вот этого и следовало ждать!..
                    Типичная любовная горячка,
                    Чреватая отчаяньем и бредом,
                    И вспышками неистовства. Нетрудно
                    Предугадать, чем это обернется:
                    Земные страсти развращают нравы,
                    Но воздержание - путь к помраченью.
                    ...Прости, но мне необходимо знать,
                    Ты перед тем отказывала принцу?

                                   Офелия

                    Да нет же, но как ты и приказал,
                    Я письма возвращала, а его
                    И вовсе до себя не допускала.

                                  Полоний

                    Вот это и свело его с ума.
                    Я сожалею сам, что не отнесся
                    К нему со всем вниманьем, но тогда
                    Я опасался за тебя и думал
                    О малом поврежденьи, о таком,
                    С которым он бы мог тебя оставить,
                    Но мне и в голову не приходило
                    Из-за отцовской ревности моей -
                    Черт бы ее побрал! - что Гамлет сам
                    И повредится. Господом клянусь,
                    Но старику и подобает строить
                    Догадки относительно других,
                    Как, скажем, вам по молодости вашей
                    Лезть напролом, не думая о том,
                    Что из того получится потом.
                    Идем же к королю и все расскажем.
                    Пусть эта теснота любовных уз
                    Печаль умерит, и любовь не станет
                    Причиной ненависти... Ну, идем!..

                                Оба уходят.


                                  Сцена 2

         Зал для приемов в замке. Справа и слева от входа портьеры.
     В глубине задняя дверь. Фанфары. Входят король и королева, за ними
                     Розенкранц, Гильденстерн и свита.

                                   Король

                    Вообразите, славный Розенкранц,
                    И вы, мой Гильденстерн, вообразите,
                    Что нечто большее, чем длительность разлуки, -
                    А именно нужда - подвигла нас
                    Послать за вами. Вы уже слыхали
                    О странных, скажем так, метаморфозах,
                    Произошедших с принцем, и о том,
                    Что Гамлета как будто подменили,
                    И что-то, что серьезнее, чем смерть
                    Его отца, - является причиной
                    Столь явного и дикого разлада
                    В общении его с самим собой.
                    Ума не приложу я, в чем тут дело,
                    И слезно умоляю вас обоих,
                    Вас, знающих еще с младых ногтей
                    Его ребячество, его причуды, -
                    Останьтесь при дворе, хоть ненадолго,
                    Развейтесь, отдохните хорошенько
                    В его компании, и заодно
                    Ну как бы между прочим отцедите
                    То зелье, что его мозги свернуло.
                    Так, вместе с вами, тайну и раскроем.

                                  Королева

                    Он столько нам рассказывал о вас!..
                    Нет, я убеждена, что невозможно
                    Сегодня отыскать среди живущих
                    Других столь преданных ему друзей,
                    Которым он доверится всецело.
                    И если вы на это согласитесь
                    И выкажете ваше благородство,
                    И ради нас задержитесь при нас,
                    Естественно, что ваше бескорыстье
                    Достойно будет вознаграждено.

                                 Розенкранц

                    Благодаря той безграничной власти
                    Над жизнями и нашими сердцами,
                    Которой обладают оба ваших
                    Величества, нам следует исполнить
                    Приказ, а не прошенье.

                                Гильденстерн

                                           Но мы оба
                    И повинуемся, и отдаемся
                    Всецело вашей воле, а свою
                    Кладем у ваших ног...

                                   Король

                                           Благодарим
                    Вас, Розенкранц и бравый Гильденстерн!

                                  Королева

                    ...Вас, Гильденстерн и бравый Розенкранц!
                    Но убедительно вас умоляю
                    Проведать моего больного сына
                    Уже сегодня. Кто-нибудь, надеюсь,
                    Проводит к принцу этих джентльменов?..

                                Гильденстерн

                    Да будет наш приезд ему во благо!..
                    Да будет воля Божия над ним!..

                                  Королева

                    Аминь!

               Розенкранц и Гильденстерн с поклонами уходят.
                              Входит Полоний.

                                  Полоний
                              (королю на ухо)

                    Хорошие известья, государь!
                    Вернулось из Норвегии с триумфом
                    Посольство наше.

                                   Король

                                      Я всегда считал
                    Тебя отцом отменных новостей.

                                  Полоний

                    Вы не смеетесь, нет? Я уверяю,
                    Что службу королевскую блюду
                    Как самого себя, и перед Богом
                    Моим, и перед государем
                    Я чист... И вот, хотя мои мозги
                    Уже не столь резвы, я отыскал
                    Причину невменяемости принца...

                                   Король

                    О, говори, я жажду это знать!

                                  Полоний

                    Сначала угощу послами вас,
                    А на десерт - то, что я сам припас.

                                   Король

                    Тогда ступай да сам их приготовь!

                              Полоний выходит.

                    Он говорит, Гертруда, что отрыл
                    Источник помрачения рассудка
                    И корень порчи сына твоего.

                                  Королева

                    Я очень сомневаюсь, что возможна
                    Еще причина, кроме как кончина
                    Его отца и наш с тобою брак
                    Скоропостижный...

                                   Король

                                      Ладно, там посмотрим.

              Возвращается Полоний с Вольтимандом и Корнелием.

                    Добро пожаловать, друзья мои!
                    Ну что, какие новости из братской
                    Норвегии?

                                 Вольтиманд

                              Приятные, милорд.
                    Король норвежский посылает вам
                    Приветствия свои и пожеланья.
                    Он войско Фортинбраса распустил,
                    Едва нас выслушал и убедился,
                    Что рекрутов отнюдь не против Польши,
                    Но против нас вербуют, а ему
                    Всей правды не сказали, и Норвежец
                    От этого был в ярости, и просит
                    Принять его монаршьи извиненья.
                    Он задержал племянника, и тот
                    В раскаяньи торжественно поклялся
                    Не трогать Данию. За это старый
                    Норвежец положил ему доход
                    (На радостях по тридцать тысяч крон
                    Два раза в год!) и поручил нанять
                    Все то же войско, но против поляков,
                    И молит вас нижайше - пропустить
                    Его племянника сквозь наши земли
                    При строгом соблюдении гарантий
                    И безопасности для населенья.
                             (подает посланье)

                                   Король

                    Что ж, это мы возьмем и почитаем,
                    Как выдастся свободная минута,
                    Ответим на досуге, поразмыслим...
                    А вами я доволен. Отдыхайте,
                    Но - чтобы к ночи были на ногах!
                    Да, мы гостеприимны!..

                               Послы уходят.

                                  Полоний

                                           Ах, как славно
                    Все это кончено. Мадам, милорд,
                    Я не отягощу вас рассужденьем
                    О долге и величии короны,
                    Ведь говорить о том, что день есть день,
                    А ночь есть ночь, а время - это время,
                    Во-первых, означает убивать
                    День или ночь, а во-вторых - и время.
                    Поскольку установлено, что краткость -
                    Душа ума, а красноречье - это
                    Всего лишь тело бренное, я буду
                    Предельно краток: да, ваш сын безумен.
                    Безумен, ибо что же есть такое
                    Безумие, и в чем его состав,
                    Когда не в том, что человек безумен?
                    Но не об этом речь...

                                  Королева

                    Поменьше красноречия, милорд!

                                  Полоний

                    Клянусь, мадам, я не красноречив:
                    Что он весьма безумен - это факт,
                    И факт, что правда жаль, и жаль, что правда...
                    Дурацкий этот оборот докажет,
                    Что я витийствовать не собирался,
                    Но бог с ним!.. Мы условимся, что Гамлет
                    И в самом деле сумасшедший. Это
                    Даст право таковым его признать,
                    И, следственно, мы с вами отыскали
                    Название аффекта, а точнее,
                    Дефекта, ибо этот дефективный
                    Аффект определяется природой
                    Дефекта. Я, надеюсь, это ясно?
                        (достает из камзола письмо)
                    Вы знаете, что у меня есть дочь.
                    Она моя, пока она при мне,
                    И эта дочь, ведома чувством долга, -
                    Прошу вниманья! - вот что мне открыла...
                    Все выводы вы сделаете сами.
                                  (читает)
                    "О ты, души моей кумир,
                    Офелия, из всех прекрасных
                    Краснейшая..." -
                                      нет, это ж надо
                    Так завернуть, вообразите -
                    _Краснейшая_... - какая низость!..
                    "На ослепительной груди..."
                    М-да, ну и дальше в том же духе...

                                  Королева

                    Неужто это Гамлет написал?..

                                  Полоний

                    Мадам, заметьте, я еще не кончил.
                    А, вот:

                    "Не верь, что звезды ночью светят,
                    Не верь, что солнце светит днем,
                    Не верь, что правда есть на свете,
                    Но верь, что в сердце ты моем!

     Дорогая  Офелия,  эти  стихотворные  метры сведут меня с ума, я не умею
рассчитывать  свои  стоны  на  первый-второй, но я тебя люблю, люблю сильнее
всех  на  свете,  поверь  этому. Оревуар. Твой, госпожа, навеки, и уж точно,
пока в этой груди еще что-то тикает... Гамлет".

                    Покорствуя приказу моему,
                    Она сама мне это показала,
                    И сверх того - уж извините! - знаю
                    Не от кого-нибудь, но от нее.

                                   Король

                    Но как она его влюбила?

                                  Полоний

                                          Что
                    Вы думаете обо мне?

                                   Король

                                         Что вы -
                    Прямой и честный джентльмен почтенный.

                                  Полоний

                    Почту за счастье это подтвердить.
                    Но что бы вы подумали, когда
                    Я стал бы их горячке потакать,
                    Поскольку я не скрою, что приметил
                    Полет любви задолго до того,
                    Как дочь моя открылась... Что бы вы
                    Могли подумать, мой король, и вы,
                    Дражайшее Величество моя
                    Всемилостивейшая королева,
                    Когда бы я под партой, как школяр,
                    Туда-сюда таскал бы их шпаргалки
                    И тешил бы себя... Или, напротив,
                    Бестрепетно взирал на эту связь,
                    Ну что бы вы подумали?.. О нет,
                    Я стал трудиться, я растолковал
                    Влюбленной дочери, что принц лорд Гамлет -
                    Он не твоей звезды, и потому
                    Все между вами кончено, - запрись,
                    Не принимай ни писем, ни подарков!..
                    И что же?.. Дочь послушалась, а он,
                    Отвергнутый, - ну хоть роман пиши! -
                    Затосковал, не ел, не спал, слабел,
                    А после впал в безумие, в котором
                    И пребывает ныне, ну а мы -
                    Надеемся. Сочувствуем. Скорбим.

                                   Король

                    Ты думаешь, что _это_ - это _Это_!

                                  Королева

                    А что, по-моему, так очень гладко.

                                  Полоний

                    Позвольте мне узнать, бывало ль так,
                    Что утверждал я, что выходит так,
                    А вышло эдак?..

                                   Король

                                     Что-то не припомню.

                                  Полоний
                (указывая на свою голову, а после на плечи)

                    Снимите это с этого, когда
                    Я ошибусь, но если и сегодня
                    Мне обстоятельства благоволят,
                    Добуду правду вам, пускай запрячут
                    Ее хотя бы в центр земного шара!..

                                   Король

                    Да, это надо раскопать поглубже.

                                  Полоний

                    Известно ль вам, что любит он бродить
                    В приемной вашей?

                                   Король

                                      Это нам известно.

                                  Полоний

                    Вот тут я дочь мою и подпущу.
                    Мы ж с вами спрячемся за гобеленом
                    И все услышим. Ежели и правда,
                    Что он рехнулся не из-за любви, -
                    Не быть мне вашей правою рукою:
                    В деревню съеду и займусь извозом.

                                   Король

                    ...По крайней мере стоит попытаться.

                        Входит Гамлет, читая книгу.

                                  Королева

                    Глядите, вот он!.. И опять читает...

                                  Полоний

                    Уйдите, умоляю вас обоих...
                    Я за него возьмусь, а вы уйдите!..

                     Король и королева в спешке уходят.

                    Как поживает добрый мой принц Гамлет?

                                   Гамлет

     Слава Богу, хорошо.

                                  Полоний

     Милорд, вы меня помните?

                                   Гамлет

     О, да. Вы - рыбник.

                                  Полоний

     Рыбник - это не я.

                                   Гамлет

     Вот честный ответ честного человека.

                                  Полоний

     Честного человека?..

                                   Гамлет

     Да, сэр. Таких по нынешним временам - один на десять тысяч.

                                  Полоний

     Ах, как это верно, милорд!

                                   Гамлет

     Даже солнце плодит червей в дохлой собаке и, оставаясь всеобщим благом,
совокупляется с падалью... У вас есть дочь?

                                  Полоний

     Есть, милорд.

                                   Гамлет

     Держите  ее  в  тени.  Земные плоды благословенны, если они не зреют во
чреве вашей дочери. Вы уж проследите...
                           (погружается в книгу)

                                  Полоний
                                (в сторону)

     Что  я должен ответить? Твердит о моей дочери, а меня и узнал не сразу,
принял  за  рыботорговца.  Вот  куда  зашло...  В  юности  я тоже доходил до
крайностей,  а  от  любви так натерпелся, что сам чуть не спятил... Типичный
случай... Милорд, что вы читаете?

                                   Гамлет

     Слова, одни слова.

                                  Полоний

     Да нет же, принц, я - о содержании...

                                   Гамлет

     Содержании где?

                                  Полоний

     О содержании вашей книги.

                                   Гамлет

     За  клевету  она  заслуживает  строгого содержания. Этот остряк-сатирик
утверждает, что старики седовласы, лица их в морщинах, из глаз течет клей, к
тому же им не хватает резвости ума и просто резвости, - у них дряблые ляжки.
Охотно  верю, но для кого это написано? Если б вы, сэр, дозрели до моих лет,
вы бы точно со мной согласились. Но, боюсь, вам уже поздно пятиться раком.

                                  Полоний

     Хоть  и сумасшедший, но с логикой у него все в порядке. Не сойти ли вам
со сквозняка, мой принц?

                                   Гамлет

     В могилу?

                                  Полоний
                                (в сторону)

     И  опять в точку! Его ответы чреваты смыслом. Безумие так обострило его
наблюдательность, что здравому смыслу рядом и делать нечего... Пойду... Надо
подумать, как же их все-таки свести...
                                 (Гамлету)
     Высокочтимый принц, прошу позволения откланяться!

                                   Гамлет

     Ничего другого я и не мог вам предложить. Кроме всей моей жизни... Всей
моей жизни... Моей жизни...

                                  Полоний

     Желаю вам здравствовать!..
                                  (уходит)

                                   Гамлет

     Ох уж эти старые болтуны...

                     Входят Розенкранц и Гильденстерн.

                                  Полоний

     Вы ищете принца Гамлета? Он здесь.

                                 Розенкранц

     Да благословит вас Бог, милорд!

                              Полоний уходит.


                                Гильденстерн

     Достопочтенный принц!

                                 Розенкранц

     Дорогой принц!

                                   Гамлет

     Ба,  старые  друзья!..  Какими  судьбами?  Привет тебе, Гильденстерн!..
Здравствуй, Розенкранц!.. Как поживаете?

                                 Розенкранц

     Как и положено нам, малым сим.

                                Гильденстерн

     Живем  тем, что не слишком поживаем. То есть не так звонко, как бубенцы
на колпаке Фортуны...

                                   Гамлет

     Но и не так шепеляво, как подошвы этой дамы?

                                 Розенкранц

     Да нет, посредине.

                                   Гамлет

     На талии или в самой причине всех ее милостей?

                                Гильденстерн

     В самой. Именно туда мы не перестаем наведываться.

                                   Гамлет

     Точно, ведь она распутница... И что ж там нового?

                                 Розенкранц

     Ничего, кроме того, что мир на глазах честнеет.

                                   Гамлет

     Значит,  скоро  Страшный  Суд. Впрочем, я уверен, что вы ошибаетесь. Но
позвольте узнать, чем же это вы так прогневали Фортуну, что она упекла вас в
тюрьму?

                                Гильденстерн

     В тюрьму?..

                                   Гамлет

     Ну, конечно, ведь Дания - тюрьма.

                                 Розенкранц

     Ну, сэр... Тогда и весь мир - тюрьма.

                                   Гамлет

     Причем  -  первоклассная,  с  множеством  казематов и подземелий, среди
которых Дания - из самых скверных.

                                 Розенкранц

     Мы так не думаем, милорд.

                                   Гамлет

     Значит,  для  вас  мир - не тюрьма. Наше отношение делает вещи хорошими
или плохими. А для меня мир - тюрьма.

                                 Розенкранц

     Смею  предположить,  что  тюрьмой  его сделало ваше честолюбие. Он что,
очень вам тесен?

                                   Гамлет

     Господи,  да  мне  хватило бы ореховой скорлупы. Я бы и там считал себя
властителем вселенной... Разумеется, если б там мне не снились дурные сны...

                                Гильденстерн

     Вам  снится  ваше  честолюбие.  Ибо сама сущность честолюбца - тень его
снов.

                                   Гамлет

     Но ведь сны - это и есть тени.

                                 Розенкранц

     Да, но честолюбие скроено из столь легкой и прозрачной материи, что оно
только тень от тени.

                                   Гамлет

     В  таком  случае  вещественны только нищие, а короли и герои - это тени
нищих.  Но  - тсс! - на эти темы мне вредно дискутировать... Не вернуться ли
нам ко двору?

                         Розенкранц и Гильденстерн

     Готовы служить вам повсюду!

                                   Гамлет

     Служат мне отвратительно, поэтому слуги мне не нужны. А если вы явились
как друзья, по-дружески и откройте, что вы потеряли в Эльсиноре...

                                 Розенкранц

     У нас была одна цель - проведать вас.

                                   Гамлет

     Я  нищий, я даже благодарностью не разжился. И все равно - спасибо вам.
Впрочем,  мое  спасибо  не  стоит  и  полпенни...  А  за  вами, случайно, не
посылали?

                                Гильденстерн

     Что вы хотите услышать, милорд?

                                   Гамлет

     Что  угодно, но правду... Ну, конечно, они посылали за вами... Вот вы и
глаза прячете... У вас такой вид, будто вы уже признались. Ах, добрые король
и королева... Желали добра, а вышло, что призвали вас...

                                 Розенкранц

     Милорд, но зачем?

                                   Гамлет

     Это  я и должен услышать. Но заклинаю вас памятью нашей юности, правами
старинного  нашего  дружества,  общими  клятвами  и  всем  самым  светлым, -
посылали за вами или нет?

                                 Розенкранц
                            (тихо Гильденстерну)

     Что делать?

                                   Гамлет
                                (в сторону)

     Увязли,  голубчики...  (Громко.)  Если  вы  меня  еще  любите, не таите
ничего!..

                                Гильденстерн

     Милорд, за нами действительно посылали.

                                   Гамлет

     Я скажу - зачем, и вам не потребуется разглашать вашу тайну. Ни перышка
не упадет из клятвы, данной вами королю и королеве. С недавних пор - не знаю
почему  -  у  меня  испортился  характер...  Спрашиваю  себя:  где моя былая
веселость? Где любимые занятия?.. Мне так плохо, что прекрасная наша планета
кажется  мне  пустыней,  а  небесный  купол  -  великолепный  этот балдахин,
расшитый  золотыми  огнями,  -  лишь  сгустком вонючих и зловредных паров...
Какое  дивное  создание  -  человек!  Как  благороден и высок его разум! Как
выразительна  пластика! Стремительностью он напоминает ангелов, а подобием -
античного  бога. Жемчужина мироздания, венец творения!.. Однако для меня это
-  тварь,  суть  которой  -  бездушный  прах.  Меня не радуют ни мужчины, ни
женщины, хотя я совсем не то имею в виду, что, судя по вашим физиономиям, вы
подумали.

                                 Розенкранц

     Милорд, у нас не было этого и в мыслях!

                                   Гамлет

     Чему же вы смеялись, когда я сказал, что ни мужчины, ни женщины меня не
радуют?

                                 Розенкранц

     Милорд,  мне  стало  жаль  актеров, которых мы обогнали по дороге сюда.
Они-то думают, что найдут в вашем лице истинного ценителя...

                                   Гамлет

     Актерам  я  всегда  рад.  Играющий  короля  будет  принят  мною как его
величество,  странствующий  рыцарь  недаром  пустит  в дело и меч, и кожаный
щит,  и  не  задаром  будет  вздыхать  любовник.  Меланхолик  утешится после
спектакля. Комик сам улыбнется, а героиня столь вольно изольет свои чувства,
что ей не помешает даже свободный стих... Так что же это за актеры?

                                 Розенкранц

     Как  раз  те  самые,  которые  когда-то  вам так нравились, - столичные
трагики.

                                   Гамлет

     Бродячая труппа столичных трагиков? Бред какой-то...

                                 Розенкранц

     Полагаю, что из столицы их гонят последние театральные новшества.

                                   Гамлет

     Столичная публика их по-прежнему обожает?

                                 Розенкранц

     Боюсь, что нет.

                                   Гамлет

     А что? Исхалтурились?

                                 Розенкранц

     Да  нет... Играют громко, как при вас. Но появились, сэр, другие труппы
-   детские.   У  этих  соколят  высокие  голоса,  им  устраивают  овации, и
соперников  у них нет. К тому же они так клюют со сцены "театральную рутину"
(это  их словечко!), что те, кто носит шпаги, боятся скрестить их с гусиными
перьями наемных писак. Да, милорд, дворяне теперь в театр не ходят.

                                   Гамлет

     Дети  съели  трагиков?.. Кто же их на это нанял?.. Если работенка у них
временная,  пока  голос  не сломался, не станут ли они бранить своих хозяев,
когда повзрослеют?.. Полагаю, другому ремеслу эти дети уже не научатся...

                                 Розенкранц

     Вы  правы:  в  столице  идет  настоящая театральная война, и датчане не
считают  зазорным  стравливать  обе  стороны.  Одно  время публика вообще не
ходила в театр, если сочинитель не нападал на детей или трагиков.

                                   Гамлет

     Да ну?

                                 Розенкранц

     О, там было столько крови!..

                                   Гамлет

     И все же малыши одолевают?

                                 Розенкранц

     Одолевают, милорд. Даже Геракл с его глобусом - в их плотной осаде.

                                   Гамлет

     Такова  жизнь. Мой дядя стал королем, и те, кто строил ему козу, платят
по  двадцать,  сорок,  пятьдесят,  да  и  по  сотне дукатов за маленький его
портрет.   Черт   возьми,   тут  пахнет  мистикой,  а  нашим  философам  это
неинтересно...

                              Трубы за сценой.

                                Гильденстерн

     Вот и актеры.

                                   Гамлет

     Господа,  милости  прошу  в Эльсинор! Ну, дайте же руки!.. Манерность -
это  не  про  нас.  Будем  запросто,  иначе  я устрою вам тот прием, который
именуется  радушным...  Вы  ведь не на светский раут прикатили, а?.. Тогда -
вперед! Ох, как ошибается моя тетка-мать вместе с дядей-отцом...

                                Гильденстерн

     В чем они ошиблись, дорогой принц?

                                   Гамлет

     Я  безумен  при  норд-норд-весте.  Когда ветер с юга, сокола от цапли я
отличу.

                              Входит Полоний.

                                  Полоний

     Приветствую вас, господа!

                                   Гамлет

     Слушайте,  Гильденстерн,  и  вы тоже. Поближе... На каждое мое ухо - по
слушателю. Это большое дитя еще не вышло из пеленок.

                                 Розенкранц

     Может, он просто уже впал в детство?

                                   Гамлет

     Держу пари, он пришел сказать об актерах. (Громко.) Вы правы, сэр, утро
было именно в понедельник.

                                  Полоний

     Милорд, я к вам с новостями!..

                                   Гамлет

     Милорд, и я с новостями! Когда Росций был в Риме актером...

                                  Полоний

     Актеры в Эльсиноре, милорд!

                                   Гамлет

     А кто же в Риме?.. Вздор!

                                  Полоний

     Честное слово!

                                   Гамлет

                    ...И каждый въехал на своем осле!

                                  Полоний

     Лучшая   в  мире  труппа!  В  репертуаре  -  трагедии,  комедии,  пьесы
исторические,      пасторали,      пасторально-комические,      а      также
историко-пасторальные,     трагико-исторические,    трагико-комико-историко-
пасторальные,  пьесы  с  соблюдением всех трех единств и драматические поэмы
безо  всякого  единства!  У  них  Сенека не мрачен, Плавт не легкомыслен. Не
имеют равных, читают, как по писаному, и к тому же импровизируют!

                                   Гамлет

                    О Иеффай, судья израильский,
                    Каким сокровищем ты обладал!..

                                  Полоний

     Чем же он обладал, милорд?

                                   Гамлет

     Да как же -
                    Единственная дочь прекрасная,
                    Которую ты так любил...

                                  Полоний
                                (в сторону)

     Все о моей дочери...

                                   Гамлет

     Не прав я разве, старый Иеффай?..

                                  Полоний

     Согласен,  милорд,  я  -  Иеффай.  И  у меня есть дочь, которую я очень
люблю.

                                   Гамлет

     Одно из другого не следует.

                                  Полоний

     А что следует, милорд?

                                   Гамлет

     А вот что -
                    Рассудит Бог, как было суждено...

     И в конце -
                    Вот так случилось то, что и должно...

     Первый  же  куплет  благочестивой  этой  песенки  подсказывает, чем это
кончается... А вот и моя вечерняя потеха!..

                               Входят актеры.

     Добро  пожаловать,  господа,  добро пожаловать! Рад обнять вас. Привет,
привет  вам, старые друзья!.. Это ты?.. А борода откуда?.. Нарочно отрастил,
чтобы  смеяться  надо  мной  в  усы?..  Как  летит  время, сударыня! Клянусь
Владычицей  небесной,  вы стали ближе к небу на целый каблук! Молитесь Богу,
чтобы  ваш  ангельский голосок не дал трещины, а то и ломаного гроша за него
не  дадут.  Добро  пожаловать,  и  за  работу! Здесь и начнем. Покажите, что
умеете,  ну,  скажем,  на  примере  какого-нибудь  монолога... Только самого
страстного...

                                Первый актер

     С какого же монолога прикажете начать?

                                   Гамлет

     Ты  читал  мне его когда-то... Но со сцены он так и не звучал. А если и
звучал,  то  только  раз.  Публика  не  распробовала  пьесы и выплюнула, как
паюсную  икру. Но пьеса-то, если верить ценителям, была хороша - действие со
вкусом  выстроено  и разбито на сцены, слог упруг и быстр. Отмечали, правда,
что  стихам  не  хватало  остроты, а образам яркости, называли это добротной
поделкой, - крепкой, но без изящества. Не берусь судить, но один монолог мне
тогда  запал  в  душу:  это  рассказ  Энея Дидоне, особенно то место, где он
говорит о гибели Приама. Дай бог памяти...

                    Свирепый Пирр глядит гирканским тигром...

Нет, не то... Раньше...

                    Свирепый Пирр, тот самый, чьи доспехи
                    Чернее ночи и чернее даже,
                    Чем черная душа его, во чреве
                    Коварного троянского коня
                    Себя размалевал кровавой краской.
                    Не краска это, нет, но кровь святая
                    Отцов и сыновей, и матерей,
                    И дочерей твоих, о матерь-Троя!..
                    Да, это кровь заступников твоих,
                    Что погорели в хижинах своих!..
                    О нет, не кровь, но зарево пожара,
                    Которое кроваво освещало
                    Погибель и старейшин, и вождей.
                    Свирепый Пирр среди других троянцев
                    Искал Приама...

     А теперь - вы.

                                  Полоний

     Ей-богу, милорд, отменно прочитано. Все на месте - и вкус, и мера.

                                Первый актер

                                     И нашел Приама.
                    Старик мечом старинным отбивался,
                    Но тщетно греков погубить пытался -
                    Уже его не слушалась рука.
                    Пирр поднял меч... Хватило дуновенья,
                    Чтоб старец пал, как громом пораженный,
                    И пал вослед Приаму Илион.
                    И пораженный громом их паденья,
                    Пирр тут же прекращает нападенье,
                    И над Приамом занесенный меч
                    Завис, и голова не пала долу.
                    И замер Пирр, печалью удрученный.
                    Так перед тем как скоро грянуть буре -
                    Молчанья миг и краток, и тягуч,
                    И ветры медлят в недрах черных облак...
                    Но вновь циклопы злое замышляют,
                    В доспехи Марса молотами бьют,
                    И вновь ужасный гром вверху раздался, -
                    Свирепый Пирр с Приамом разобрался...
                    О ты, Фортуна, стыд тебе и срам,
                    Распутница, взываю к олимпийцам:
                    Пусть боги у тебя отымут власть
                    За то, что ты дала Приаму гибель!
                    О, лучше б небо над тобой померкло,
                    А колесо твое переломилось,
                    И полетели прямо в преисподню
                    С горы небесной огненные спицы!..

                                  Полоний

     Это как-то длинновато....

                                   Гамлет

     Отправим  к  цирюльнику  вместе с вашей бородой. Продолжай, прошу тебя.
Ему  нравятся  лишь  хохмы и непристойности, от прочего он засыпает. Давай о
Гекубе...

                                Первый актер

                    О горе опозоренной царице!..

                                   Гамлет

     Опозоренной?..

                                  Полоний

     Это хорошо. "Опозоренная царица" - очень хорошо!

                                Первый актер

                    Над городом своим, подобно птахе,
                    Простоволосая, по стогнам кружит,
                    Слезами в два ручья пожары гасит.
                    Увы тебе, о падшая царица,
                    Не диадема в волосах, но тряпка,
                    На стане, высохшем от чадородья,
                    То не туника - жалкие лохмотья!
                    О, кто б ни поглядел в сей скорбный лик,
                    Тот проклял бы Фортуну в тот же час!
                    Но если бы и то узрели боги,
                    Когда она увидела, вопя,
                    Как злобный Пирр без лишней проволочки
                    Ее супруга режет сладострастно,
                    То увлажнились бы во мраке дня
                    Сих олимпийцев каменные очи...

                                  Полоний

     Милорд, поглядите, он сам готов разрыдаться!.. Умоляю, довольно!

                                   Гамлет

     Довольно.  Дочитаешь после. (Полонию.) Любезный, не возьмете ли на себя
труд устроить этих господ? Господам актерам нужно отдыхать. И скажите, чтобы
к  ним  были  внимательны:  актеры - дети века и в то же время его летопись.
Лучше получить скверную эпитафию по смерти, чем их "фэ" при жизни.

                                  Полоний

     Милорд, им воздастся по заслугам.

                                   Гамлет

     Нет, дьявол тебя задери, бери выше! Если по заслугам, то каждый достоин
порки.  Обращайтесь с ними по вашим понятиям о чести. Чем заслуг меньше, тем
ваша щедрость ценнее. Проводите их.

                                  Полоний

     Джентльмены, прошу!

                                   Гамлет

     Ступайте за ним, друзья. Завтра премьера.

                Уходит Полоний и все актеры, кроме Первого.

     Вот что, старина... Сможете сыграть для меня "Убийство Гонзаго"?

                                Первый актер

     Разумеется, милорд.

                                   Гамлет

     Вы  сыграете  его  завтра  вечером. А смогли бы вы разучить и вставить,
куда  я  скажу,  монолог  стихов  в  двенадцать-двадцать,  если  я  успею их
дописать?

                                Первый актер

     Разумеется, милорд.

                                   Гамлет

     Отлично. Ну, ступайте за тем лордом. Только не подкалывайте его, как вы
это умеете.

                            Первый актер уходит.

     Друзья, мы прощаемся до вечера. Добро пожаловать в Эльсинор!

                                 Розенкранц

     Вы так добры, милорд!

                                   Гамлет

                    Добро пожаловать. Ступайте с богом.

                     Розенкранц и Гильденстерн уходят.

                    ...Вот я один, негодный низкий раб.
                    И тот актер с его заемным слогом,
                    И тот меня сильнее... Он хотя б
                    Порывом вымысла, пустой мечтою,
                    Воображеньем душу распалит,
                    И все получится само собою -
                    Безумен взгляд его и жалок вид...
                    Надломлен голос, и бескровны губы,
                    В движеньях и словах клокочет боль...
                    Из-за чего?.. Ах, да, из-за Гекубы.
                    Выходит из себя - и входит в роль.
                    ...Что он Гекубе? Что ему Гекуба,
                    Чтобы пролить над ней потоки слез?
                    Как бы сыграл он подлинно и грубо,
                    Когда бы не на сцене, а всерьез,
                    Что сделал бы, была б на то причина,
                    Беда такая, как моя беда?
                    Залил слезами зал, и половина
                    Партера утопилась бы тогда?
                    Иль памятуя о моем, о многом,
                    Вперяясь в тот зияющий провал,
                    Он молниеподобным монологом
                    Толпу слепую в клочья б разорвал?
                    Виновных он лишил бы их рассудка,
                    А невиновных благости лишил,
                    И стало бы несведущим так жутко,
                    Что и прозрели бы по мере сил.
                    ...Нечистый сплав, ничтожество тупое,
                    Бесплодным умозрением томим,
                    Я не способен совладать с толпою,
                    Ни даже с похитителем одним.
                    Я - трус? Хотел бы я того увидеть,
                    Кто этой кличкой наградит меня,
                    Уже умеющего ненавидеть
                    И жалить жалом адова огня...
                    Кто подойдет ко мне, чтоб дернуть за нос,
                    Назвать подонком, хлопнуть по плечу?
                    ...Ха, я стерплю. Двуликий, точно Янус,
                    Еще и не такое проглочу!..
                    Где желчь моя? Средь тварей бессловесных
                    К скале прикован до скончанья дней
                    Откармливать стервятников небесных
                    Печенкой голубиною моей,
                    А там, на троне, выродок кровавый,
                    Блудливый и невнятный негодяй
                    Парит себе над Датскою державой...
                    И вопиют к возмездью ад и рай!
                    ...Нет, я осел. Да как же так случилось,
                    Что я, сын изведенного отца,
                    Отмщения блистательную милость
                    Сменял на лавры скверного чтеца?
                    Бранюсь, как недолизанная шлюха,
                    Как баба вою - все-то об одном...
                    Фу... фу, как стыдно!.. Трезво, точно, сухо
                    Проблему расчленю своим умом.
                    В работу, мозг!..
                    Ага, я тоже слышал,
                    Случалось, и пожалуй что не раз,
                    Что после окончания спектакля
                    Убийцы признавались в злодеяньях.
                    ...Я поручу актерам разыграть
                    Убийство моего отца, и стану
                    Очень внимательно следить за дядей.
                    Себя он выдаст - значит, буду знать,
                    Что дальше делать должен. Может статься,
                    Что призрак - не отец, но сатана,
                    Похитивший отцовское обличье...
                    О, в этом есть свои резоны. Он
                    Большую власть имеет над людьми
                    И знает их повадки. Он бы мог
                    Моей душой прельститься, а потом
                    Мне подыграть в моей тоске... А я
                    Ему легко поверил... Нет, сначала
                    Поставим опыт. Умозаключенья -
                    По результатам... В пьесу, как в ловушку,
                    Мы и загоним совесть короля.
                                  (уходит)


                                  Сцена 3

Там же. Входят король, королева, Полоний, Офелия, Розенкранц и Гильденстерн,
                                   свита.

                                   Король

                    Да неужели вовсе невозможно
                    Узнать, пускай не прямо, но окольно,
                    Причину этого его притворства?

                                 Розенкранц

                    Он говорит, что в самом деле болен;
                    Но в чем причина - говорить не хочет.

                                Гильденстерн

                    Его не так-то просто уличить.
                    Мы так пытались выведать, и эдак,
                    Но каждый раз он уходил от темы
                    И замыкался в собственном безумьи,
                    И все впустую...

                                  Королева

                                     Как он принял вас?

                                 Розенкранц

                    Как джентльмен.

                                Гильденстерн

                                     Учтиво, но не слишком.

                                 Розенкранц

                    Наплел с три короба, но ни о чем
                    Сам не расспрашивал...

                                  Королева

                                           А вы пытались
                    Развлечь его?

                                 Розенкранц

                                   Да есть одна идея...
                    На въезде обогнали мы актеров.
                    Узнав про это, он пришел в восторг.
                    Актеры прибыли, и, полагаю,
                    У нас сегодня вечером премьера...

                                  Полоний

                    Я подтверждаю. Он меня просил
                    Вас пригласить от имени его.

                                   Король

                    Я - всей душою. Это хорошо,
                    Хоть чем-то он способен увлекаться...
                    Прошу вас, продолжайте в том же духе.

                                 Розенкранц

                    Милорд, мы только начали игру.

                     Розенкранц и Гильденстерн уходят.

                                   Король

                    Гертруда, дорогая, если можно,
                    И вы оставьте нас, мы посылали
                    За Гамлетом... Сейчас, как бы случайно,
                    Он встретится с Офелией, а мы
                    С ее отцом немного пошпионим,
                    И, может статься, эдак и узнаем,
                    Любовь ли виновата или что
                    Совсем иное...

                                  Королева

                                    О, я повинуюсь,
                    А вам, моя Офелия, желаю,
                    Чтоб ваша красота была счастливой
                    Причиною безумия его,
                    Тогда, само собою, в вашей власти
                    Больного исцелить...

                                   Офелия

                                         Я и сама
                    Хотела бы надеяться на это.

                              Королева уходит.

                                  Полоний

                    Офелия, прохаживайся здесь.
                    Читай вот эту книгу... Вид такого
                    Занятия - удачно подчеркнет
                    Твою тоску, а значит, и любовь...
                    Известно - и доказано не раз! -
                    Благочестивый взор и вид смиренный
                    Способны даже черта одурачить!..

                                   Король
                                (в сторону)

                    Он говорит, как будто про меня.
                    И что ни слово - то удар кинжала.
                    Усердно размалеванная шлюха
                    Так не раскрасится, как я накрасил
                    Свои слова... О, бремя властелина!..

                                  Полоний

                    Его шаги!.. Нам вот сюда, милорд!

                 Король и Полоний прячутся. Входит Гамлет.

                                   Гамлет

                    Так быть или не быть?.. Ну и вопрос!..
                    Способен разум противостоять
                    Пращам и стрелам спятившей фортуны,
                    Или, клинком оскалясь, положу
                    Конец страданиям, и - в смерть, как в сон...
                    Не глубже, нет. Ведь сон врачует сердце,
                    Все язвы и изъяны бытия,
                    Которым плоть наследница. Вот где
                    Предел благоговейных вожделений.
                    В смерть. В сон. Сны в смертном сне смотреть... Однако,
                    Смотря какие это будут сны.
                    После того, как истаскаем жизнь,
                    Нужна хоть передышка. Есть резон
                    Длить тяготы земного бытия...
                    Иначе как терпеть тычки, смешки,
                    Бесчестие, неправду угнетенья,
                    Боль нелюбви, закона промедленье,
                    Властей высокомерие, плевки
                    В достоинство из недостойных уст?
                    Когда б одним ударом расквитаться
                    Возможно было, кто мыча и прея,
                    Влачить бы стал постылое ярмо?
                    Но страх - чего? - чего-то после жизни,
                    В незнаемой стране, из чьих пространств
                    Не возвращаются, парализует волю,
                    Нашептывая, что земное зло
                    Все ж предпочтительней того, иного...
                    И чем разумней, тем трусливей тварь.
                    Естественной решимости румянец
                    Припудрен бледной немочью рассудка,
                    И немощной мыслишкой перешиблен
                    Великого деяния хребет.
                    И действие утрачивает смысл.
                    ...Офелия, в своих моленьях, нимфа,
                    Помянешь ли грехи мои?..

                                   Офелия

                                             О, Боже!
                    Принц, как себя вы чувствуете, принц?

                                   Гамлет

                    Спасибо за участие. Отменно.

                                   Офелия

                    Милорд, вы присылали мне подарки,
                    И я давно хотела их вернуть,
                    Позвольте же...

                                   Гамлет

                                     Ну, тут я ни при чем!
                    Я никогда не делал вам подарков.

                                   Офелия

                    Вы делали, и знаете прекрасно,
                    Что именно... Подарки и слова,
                    Столь нежные, что и подарки ваши
                    От этих самых слов благоухали...
                    Теперь, когда их аромат утрачен,
                    Поскольку ваша кончилась любовь,
                    Свои слова берете вы назад,
                    А, значит, заберите и подарки!..

                                   Гамлет

                    Ага, вы добродетельны!

                                   Офелия

                                            Милорд?..

                                   Гамлет

                    И, надо думать, что красивы?

                                   Офелия

                    Милорд, я вас не понимаю.

                                   Гамлет

     Поясню:  если вы добродетельны и красивы, лучше бы вашей добродетели не
общаться с вашей красотой.

                                   Офелия

     С кем же и общаться красоте, как не с добродетелью?

                                   Гамлет

     Ну,  разумеется,  ведь  скорее  власть  красоты превратит добродетель в
сводню,  чем  сила  добродетели  уподобит  себе  красоту.  Когда-то это было
парадоксом, но в наш век - сущая банальность... Я любил вас когда-то.

                                   Офелия

     Да, милорд, теперь я вынуждена в это верить.

                                   Гамлет

     Вы  не должны были мне верить: сколько ни прививай добродетель к нашему
древнему сучку, сок его все равно будет греховным. Я вас не любил.

                                   Офелия

     Значит, я обманулась.

                                   Гамлет

     Ступай  в  монастырь.  Зачем  плодить  грешников? Я такое могу про себя
рассказать,  что  лучше б мать меня вовсе не рожала. Я честен перед тобой, и
знай, что я горд, тщеславен, мстителен. В моем арсенале больше преступлений,
чем  мыслей,  чтобы их обдумать, воображения, чтобы их подготовить, времени,
чтобы  реализовать.  Зачем же таким, как я, ползать по земле и коптить небо?
Мы  все  подлецы.  Не  верь  никому. И ступай в монастырь... Кстати, где ваш
отец?

                                   Офелия

     У себя, милорд.

                                   Гамлет

     Заприте его, чтобы он не кривлялся на людях. И прощайте.

                                   Офелия

     О, помоги ему, Милосердное Небо!

                                   Гамлет

     Если  соберешься  замуж,  захвати  в  приданое  мое  проклятие: будь ты
целомудренна,  как  лед,  и чиста, как снег, все равно клевета тебя догонит.
Ступай,  ступай  в  монастырь!  А если уж тебе не терпится под венец, иди за
дурака.  Потому  что  умные  знают,  каких  монстров  вы  из  них  лепите. В
монастырь, да живо! И прощай навек.

                                   Офелия

     Силы небесные, вразумите его!

                                   Гамлет

     Как  вы  любите  перекрашиваться!  Бог  дал вам одно лицо, вы ж рисуете
другое.  Ваша походка - то болтанка, то иноходь. Вы сюсюкаете и даете клички
божьим тварям, а свое беспутство выдаете за наивность. С меня довольно, я от
этого  уже  спятил.  И обещаю вам, что больше здесь браков не будет. Те, кто
уже  женаты,  пусть  живут...  Кроме  одного,  конечно. А прочие все умрут в
безбрачии. Уходи в монастырь!
                                  (уходит)

                                   Офелия

                    О, сколь кристальный разум помрачен!..
                    Цвет нации и роза государства
                    Прекраснейшего, и зерцало моды,
                    Меч воина, философа язык,
                    Надежда рыцарства, опора для дворянства
                    И образец изящества... Как низко
                    Он пал в своем безумии... А я,
                    Несчастнейшая женщина земная,
                    Отпившая из царственного кубка
                    Его обетов, я глотаю ныне
                    Помои сумасшествия его...
                    Что этот голос, некогда чистейший?..
                    Надтреснутого колокола звук,
                    Который только рвет и слух, и душу.
                    И этот облик юности цветущей,
                    Подрубленный безумием, - как горько
                    И как невыносимо это видеть,
                    И сравнивать - что было и что стало!..

                         Выходят король и Полоний.

                                   Король

                    Любовь?.. Не думаю. Он говорил
                    Хотя и сбивчиво, но не бессвязно.
                    Безумием тут даже и не пахнет...
                    Нет, тут другое - что-то, что однажды
                    В нем крепко угнездилось и уже
                    Высиживает яйца. Я боюсь,
                    Что птенчики для нас опасны будут...
                    Ну, значит, вот что мы предпримем... Пусть
                    Он в Англию поедет. Англичане
                    Нам задолжали дань, а это случай
                    Ее потребовать. Весьма возможно,
                    Что новые моря его проветрят,
                    И то, что ум гнетет и губит душу,
                    Развеется само собой. Ну, как
                    Мой план?..

                                  Полоний

                              Милорд, ваш план прекрасен!
                    Однако я по-прежнему уверен,
                    Что корень зла в отверженной любви...
                    Ну что ж, Офелия, мы избавляем
                    Тебя от повторения всего,
                    Что слышали и сами... Да, милорд,
                    Ваш план великолепен. Соглашусь,
                    И с тем, что промедление опасно...
                    Однако ж если соблаговолите,
                    Пусть королева-мать наедине
                    Поговорит с ним после представленья
                    И напрямую выспросит причину
                    Его печали. С вашего согласья
                    Я спрячусь там и тут же все услышу.
                    А если уж и это не поможет
                    Узнать всю подноготную, тогда
                    Вы будете вольны его отправить,
                    Хоть в Англию, хоть и поближе.

                                   Король

                                                   Да,
                    Пусть будет так. Безумье первых лиц,
                    По крайней мере, требует участья.
                                 (Уходят.)


                                  Сцена 4

                   Там же. Входят Гамлет и трое актеров.

                                   Гамлет

     И  читайте, как я вас учил. Слова должны подпрыгивать на долее. В вашей
манере  орать во всю глотку, но если б это было нужно, я вручил бы мои стихи
уличному  зазывале. Да, и не надо рубить руками воздух. Мягче, легче... Даже
в  буре,  даже, скажем, в вихре страстей вы должны знать меру. Без этого нет
пластики.  Мне  оскорбительно слышать, как ражий детина в парике рвет душу в
лохмотья.  Видимо,  он хочет оглушить партер, но большинство в партере глухо
ко  всему,  что  не  есть дурацкая пантомима или ослиный ор. О, как я мечтал
когда-то,  чтобы  этого парня высекли! Чего ж еще заслуживает тот, кто может
переиродить самого Ирода?.. Играйте с достоинством, прошу вас.

                                Первый актер

     За это, ваша честь, я ручаюсь.

                                   Гамлет

     Но  и  не  робейте.  Ваш  режиссер  -  ваш  здравый смысл. Не насилуйте
природу:  слово  должно  опираться  на  действие, а действие на слово. Любое
излишество  вредит  театру,  ведь  цель театра - зеркало. Добродетель должна
себя  узнать,  порок  -  ужаснуться  себе,  а  век,  каким  бы  он ни был, -
запечатлеться.  Если  не  дожать, и ли, напротив, пережать, - можно ублажить
толпу  невежд, но огорчить именно того, чье мнение важнее всей этой публики.
Я  видел  актеров, которых носили на руках, а меж тем речи их и Движенья, да
простит меня Господь, не как у христиан, не как у язычников, ни вообще - как
у  людей... Они пыжились, выли и так отвратно подражали всему человеческому,
точно сами созданы отнюдь не Творцом.

                                Первый актер

     Смею надеяться, что до известной степени этот грех мы искупим.

                                   Гамлет

     Нет,  искуплять,  так целиком. И пусть комики говорят то, что написано.
Они хохочут, чтобы заразить парочку самых тупых зрителей, а то, что в данном
месте  надо  плакать,  этих тщеславных дурней абсолютно не волнует. Это все.
Идите, вживайтесь.

                               Актеры уходят.
                 Входят Полоний, Розенкранц и Гильденстерн.

     Что, милорд, желает ли наш король увидеть нашу пьесу?

                                  Полоний

     И королева желает. Причем начать требуют немедленно.

                                   Гамлет

     Тогда ваш долг просить об этом актеров.

                              Полоний уходит.

     Господа, помогите ему.

                         Розенкранц и Гильденстерн

     С удовольствием, милорд!

                     Розенкранц и Гильденстерн уходят.

                                   Гамлет

     Эгей, хо-хо, Горацио!..

                              Входит Горацио.

                                  Горацио

     Я здесь и к вашим услугам.

                                   Гамлет

                    Горацио, ты лучший изо всех,
                    Кого я знал...

                                  Горацио

                                   Помилуйте, милорд!..

                                   Гамлет

                    Ага, вот ты подумал, что я льстец,
                    Но что есть лесть? Желание дохода.
                    Какой же мне доход польстить тому,
                    Кто сам бедняк, и кроме сил духовных
                    Другого капитала не имеет?
                    Приятно, если сладким языком
                    Вылизывают задницу, понятно,
                    Когда легко сгибаются колени,
                    Едва запахнет выгодой... Ведь так?
                    Однако с той поры, когда училась
                    Душа моя свободно выбирать
                    И различать людей, она всех раньше
                    Тебя приметила, поскольку ты
                    Страдал, но не выказывал страданья,
                    И многое терпел, и весел был,
                    И одинаково благодарил
                    И нищету, и наши упованья.
                    Благословенны те, чьи дух и плоть
                    Едины, и подите-ка сумейте
                    Сыграть на этих людях, как на флейте!..
                    Их даже року не перебороть.
                    Игра судьбы - вообще вотще и втуне,
                    Когда храним презрение к Фортуне.
                    Таков и ты. Живешь поверх страстей,
                    Не тяготишься долею своей,
                    И в сердцевину сердца моего
                    Я допустил тебя лишь одного.
                    ...Однако - слушай:
                                        вечером сегодня
                    Здесь будет дан спектакль. Одна из сцен
                    По обстоятельствам напоминает
                    Смерть моего отца. Ты сам увидишь,
                    Ведь я тебе всю правду рассказал.
                    Поэтому хочу уговориться:
                    Когда начнут, внимательно следи,
                    Как будет реагировать мой дядя.
                    И если нет на нем вины, и он
                    Смятением в тот миг себя не выдаст,
                    Мы будем знать, что нам с тобой являлся
                    Не государь покойный мой отец,
                    А некий дух нечистый. Что ж, тогда
                    Признаем, что мое воображенье
                    Смердит не хуже кузницы Вулкана...
                    Смотри, однако, в оба. Ну и я
                    В его лицо вопьюсь глазами. После
                    Мы наши впечатленья сопоставим.

                                  Горацио

                    Добро, милорд. И если он сумеет
                    Нас провести, за проигрыш - плачу.

                                   Гамлет

                    Они идут сюда смотреть спектакль.
                    Я, как и прежде, притворюсь, а вы
                    Себе займите место поудобней.

    Играют трубы. Входят король и королева, Полоний, Офелия, Розенкранц,
                Гильденстерн, придворные, стража с факелами.

                                   Король

                    Как поживает наш племянник Гамлет?

                                   Гамлет

     Ей-богу,  великолепно.  Обедаю,  как  хамелеон  -  воздухом, начиненным
обещаниями.  Жаль,  что  никто  не  догадался  откармливать эдак, к примеру,
каплунов.

                                   Король

     Это не про меня. Я тебе ничего не обещал.

                                   Гамлет

     Я  вам  тоже.  (Полонию.)  Милорд,  вы говорили, что когда-то играли на
университетской сцене?

                                  Полоний

     Да, милорд, играл, и весьма успешно.

                                   Гамлет

     Кого же?

                                  Полоний

     Юлия Цезаря. Меня Брут зарезал в Капитолии.

                                   Гамлет

     Такого капитального барашка? Это слишком брутально... Готовы ли актеры?

                                 Розенкранц

     Готовы и ждут вашего приказанья.

                                  Королева

     Сядь со мной, мой милый Гамлет.

                                   Гамлет

     О нет, здесь есть предмет попритягательней.

                                  Полоний

     Что я говорил!

                                   Гамлет

     Сударыня, я лягу к вам в ноги?

                                   Офелия

     Нет, милорд.

                                   Гамлет

     Я имел в виду - у ваших ног...

                                   Офелия

     Да, милорд.

                                   Гамлет

     Вы думали, я хотел сказать непристойность?

                                   Офелия

     Ничего я не думала, милорд.

                                   Гамлет

     Чудная мысль - лежать между ног у девицы.

                                   Офелия

     Что такое, милорд?

                                   Гамлет

     Да уже ничего.

                                   Офелия

     Вы все шутите...

                                   Гамлет



                                   Офелия

     Вы, милорд.

                                   Гамлет

     Ну,  конечно,  ведь я - лучший шут на свете. Что остается человеку, как
не  смеяться  по  пустякам? Поглядите, как весела моя мать, а ведь со смерти
моего отца не прошло и двух часов.

                                   Офелия

     Прошло уже два раза по два месяца.

                                   Гамлет

     Так  много? Тогда к черту траур, драпируем себя соболями! О Небо! Более
двух  месяцев,  а  еще  не забыт. И есть надежда, что памяти о нем хватит на
целых  полгода.  Впрочем,  надо  посоветовать ему, чтобы начал жертвовать на
церковь. А то кончит, как тот конек-скакунок:

                             Откинуты копыта, -
                             И кличка позабыта.

     Играют    гобои.    Начинается    пантомима.    Входят   актер-король и
актер-королева.  Королева  обнимает  короля, а он ее. Королева становится на
колени  и  пантомимой  выражает свою любовь к королю. Король поднимает ее на
ноги  и  склоняет  голову на ее плечо, а затем опускается на ложе из цветов.
Она,  видя,  что  он  заснул, уходит. Тут же появляется некто, кто снимает с
короля  корону,  целует  ее,  достает  склянку,  вливает ее содержимое в ухо
королю  и  уходит. Возвращается королева. Видит, что король мертв, и жестами
выражает  свое  отчаяние.  Входит  отравитель с двумя или тремя статистами и
делает вид, что скорбит вместе с ней. Мертвого уносят. Отравитель добивается
благосклонности  королевы,  поднося  ей подарки. Она показывает, что не даст
согласия, но, наконец, принимает его любовь. Актеры уходят.

                                   Офелия

     Что они показывали?

                                   Гамлет

     Ползучее злодейство, а по-датски - змею подколодную.

                                   Офелия

     Пьеса об этом?

                               Входит Пролог.

                                   Гамлет

     Сейчас он все нам расскажет. Актеры всегда все выбалтывают.

                                   Офелия

     Он растолкует эту пантомиму?

                                   Гамлет

     Как  и  любую  позу,  в  которую  вы  встанете.  Вы только не стыдитесь
вставать, а уж он не постесняется растолковать.

                                   Офелия

     Вы мерзкий, гадкий!.. Я буду смотреть пьесу.

                                   Пролог

                    В начале представленья
                    Мы просим снисхожденья
                    И вашего терпенья.

                                   Гамлет

     Это пролог или гравировка на перстне?

                                   Офелия

     В любом случае - коротко.

                                   Гамлет

     Как любовь женщины.

                   Входят два актера: король и королева.

                                Актер-король

                    С тех самых пор, как колесница Феба
                    Уж тридцать раз избороздила небо
                    И тридцать дюжин лун заемным светом
                    С небес на землю изошли при этом,
                    Скрепила нам на много-много дней
                    Любовь - сердца, а руки - Гименей.

                               Актер-королева

                    Пусть солнце и луна заставят нас
                    Сочесть их еще много-много раз!
                    Но горе мне, супруг любезный мой,
                    В последнее ты время сам не свой:
                    То болен, то невесел, то в тоске,
                    Как будто жизнь твоя на волоске.
                    Но беспокоиться мы не должны.
                    У женщины страх и любовь равны:
                    Любовь большая, значит, страх большой,
                    А без любви нет страха за душой.
                    И сколь сильна моя к тебе любовь,
                    По страху ты узнаешь вновь и вновь.

                                Актер-король

                    Должна в глаза ты правде посмотреть:
                    Клянусь, я должен скоро умереть,
                    Поскольку в тело бренное мое
                    Уже вонзилось смерти острие!
                    А ты останься жить, моя любовь,
                    Чтоб этим миром наслаждаться вновь,
                    И, может быть, тебе не станет хуже,
                    Когда найдешь себе второго мужа.

                               Актер-королева

                    Не говори так! Это всем известно:
                    Предательство с любовью несовместно.
                    Пусть люди проклянут меня публично,
                    Как только выйду замуж я вторично!
                    Пусть за второго под венец пойдет
                    Та, что супруга первого убьет.

                                   Гамлет

                    Полынь, полынь... Ой, горько...

                               Актер-королева

                    Да, ко второму браку подведет
                    Нас не любовь, но мерзость и расчет.
                    Я мертвого супруга убиваю,
                    Когда в постели со вторым бываю.

                                Актер-король

                    Мой друг, я верю в искренность твою,
                    Но позабудешь клятву ты свою:
                    Поскольку смертный от природы слаб,
                    Своих желаний он послушный раб.
                    Незрелый держится за ветку плод,
                    Но перезреет - наземь упадет,
                    А верность и святое чувство долга
                    Хранятся на земле не слишком долго.
                    Покорствуя фортуне неминучей,
                    Не вечен мир, и миром правит случай.
                    Печаль однажды в радость перейдет,
                    Любовь - в забвенье, и наоборот.
                    Едва проходит трепетная страсть,
                    И мы, как плод, спешим на землю пасть:
                    Чрезмерные восторги и печали
                    Неискренни уже в своем начале.
                    Когда герой в опале, отчего
                    Бегут любимцы прежние его?
                    А ежели возвысится бедняк,
                    С ним подружиться жаждет даже враг.
                    Да, тот, кто не нуждается ни в чем,
                    На обожанье ближних обречен,
                    А тот, кто пресмыкается в беде,
                    Напрасно стонет: "О друзья, вы где?"
                    Мне рок судьбу печальную назначил,
                    А потому закончу тем, чем начал:
                    Увы, мы не хозяева себе,
                    Живем, противясь собственной судьбе...
                    Ты думаешь, что замуж не пойдешь,
                    Но это утешительная ложь.

                               Актер-королева

                    О, да не даст тогда земля мне пищи,
                    И небо - света, а в мое жилище
                    Пускай вовек веселье не войдет,
                    Когда сорву постыдный этот плод!
                    Да обернутся ужасом надежды,
                    Да в клочья разорву свои одежды,
                    И радости непреходящий лик
                    Да помертвеет в тот постылый миг,
                    Когда вдовою на свою беду
                    Вновь за другого замуж я пойду!..

                                   Гамлет

     А если она клятву нарушит?

                                Актер-король

                    О, эта клятва для меня страшна.
                    Оставь меня, любимая жена,
                    Я длинный этот день укорочу,
                    Поскольку слаб и очень спать хочу.
                                 (засыпает)

                               Актер-королева

                    Храни тебя Морфей в сей чуткий час,
                    И да не разлучит несчастье нас!
                                  (уходит)

                                   Гамлет

     Нравится ли вам пьеса, мадам?

                                  Королева

     Эта леди слишком много обещает.

                                   Гамлет

     Но слово свое она, разумеется, сдержит.

                                   Король

     Вы знаете содержание? Оно не предосудительно?

                                   Гамлет

     Да нет, они ведь только шутят. Травят ядом, но тоже понарошку. Нет, это
не предосудительно.

                                   Король

     А как она называется?

                                   Гамлет

     Называется  "Мышеловка". Но в каком смысле, черт возьми! В фигуральном,
поскольку  убийство  совершено  в  Вене.  Короля  зовут  Гонзаго, а его жену
Баптиста.  Эта гнуснейшая история, но нас с вашим величеством она совершенно
не касается. На воре шапка горит, но ведь шапка, а не корона.

                            Входит актер-Луциан.

     Это некто Луциан, королевский племянник.

                                   Офелия

     Милорд, вы чудная замена хору.

                                   Гамлет

     А  еще  -  мог  бы стать твоим сводником, если б захотел досмотреть ваш
кукольный фарс.

                                   Офелия

     Вам не жаль меня жалить?

                                   Гамлет

     О, вам пришлось бы изрядно постонать, чтобы притупить мое жало.

                                   Офелия

     Час от часу не легче!

                                   Гамлет

     Как  и  вашим мужьям... Начинай, убийца! Кончай корчить рожи и начинай.
Ну, давай вместе: "Крик ворона - предвестник лютой мести..."

                                Актер-Луциан

                    Крепка моя рука, надежен яд,
                    Удачно время: враг мой сном объят.
                    И - никого... Букет полночных трав,
                    Смесь гнусная, отрава из отрав,
                    Самой Гекатой проклятое зелье,
                    Прерви сей жизни бренное веселье!
                         (вливает яд в ухо спящему)

                                   Гамлет

     Он  отравил  его  в  саду,  чтобы  завладеть  троном.  В подлиннике, на
итальянском,  все  это  выглядит  весьма  изысканно.  Сейчас вы увидите, как
убийца добивается любви Баптисты.

                                   Офелия

     Король встал!..

                                   Гамлет

     Это искусственный огонь его так поджарил?

                                  Королева

     Вам плохо, милорд?

                                  Полоний

     Прекратить представленье!

                                   Король

     Посветите!.. Мы уйдем...

                                  Полоний

     Огня сюда, огня!..

                    Уходят все, кроме Гамлета и Горацио.

                                   Гамлет

                        Пусть плачет раненый олень,
                        А невредимый скачет,
                        Пусть эти спят, а те не спят, -
                        На этом мир стоит...

     Если  рок  будет смотреть на меня турком, разве эта декламация, сэр, да
шляпа  в  перьях,  да  две  провансальские розы на башмаках не обеспечат мне
цельного пая в актерской банде?

                                  Горацио

     Половину пая, милорд.

                                   Гамлет

     Нет, только целый.

                    Узнай, Дам_о_н, что совершилось.
                    Страна Юпитера лишилась.
                    И нами правит кое-как
                    Ну просто сказочный... м-м... павлин...

                                  Горацио

     Могли бы и в рифму.

                                   Гамлет

     Ставлю тысячу фунтов, что призрак говорил правду. Ты видел?

                                  Горацио

     Отлично видел, милорд.

                                   Гамлет

     И вот именно, когда речь зашла о яде?..

                                  Горацио

     Я смотрел очень внимательно.

                                   Гамлет

     Ха-ха! Эй, музыка!.. Флейтисты!..

                         Если пьеса не по нраву,
                         Значит, пьеса про отраву.

     Музыку!

                              Горацио уходит.
                     Входят Розенкранц и Гильденстерн.

                                Гильденстерн

     Добрейший принц, удостойте вашим вниманием всего на одно слово!

                                   Гамлет

     Хоть на целую повесть.

                                Гильденстерн

     Король, сэр...

                                   Гамлет

     С ним что-то случилось, сэр?

                                Гильденстерн

     Он  удалился,  сэр,  в свои покои, причем в весьма тяжелом расположении
духа.

                                   Гамлет

     От вина, сэр?

                                Гильденстерн

     Нет, милорд, скорее от желчи.

                                   Гамлет

     С вашей стороны, сэр, было бы мудрее сообщить об этом лекарю. Ибо, если
я начну его лечить, боюсь, ему станет только хуже.

                                Гильденстерн

     Мой добрый принц, если вы будете так отвечать, я никогда не сумею дойти
до сути визита.

                                   Гамлет

     Смиряюсь, сэр. Повествуйте!..

                                Гильденстерн

     Ваша матушка-королева крайне огорчена и послала нас к вам.

                                   Гамлет

     Милости просим.

                                Гильденстерн

     Нет,  мой  принц, реверансы здесь неуместны. Если вам будет угодно дать
здравый  ответ,  мы  выполним приказ вашей матери, если же нет, то разрешите
удалиться.

                                   Гамлет

     Сэр, я не могу.

                                Гильденстерн

     Чего не можете, сэр?

                                   Гамлет

     Дать  здравый  ответ. Я болен. Но тот ответ, на который я еще способен,
вы получите. Или не вы, а моя мать. Итак, к делу: вы утверждаете, что она...

                                 Розенкранц

     ...утверждает, что ваше поведение повергло ее в изумление.

                                   Гамлет

     О,  изумительный  сын!  Изумительный,  ибо  способен так изумлять. Но к
своему изумлению хоть что-то она прибавила?

                                 Розенкранц

     Перед сном, милорд, она желает с вами беседовать у себя в комнате.

                                   Гамлет

     Будь  она  десять раз моей матерью, я бы все равно повиновался. У вас к
нам еще какое-то дело?

                                 Розенкранц

     Милорд, вы когда-то любили меня.

                                   Гамлет

     Это  правда.  (Показывает  свои  руки.)  Клянусь  вот этими загребущими
грабителями.

                                 Розенкранц

     Тогда  скажите,  в  чем  причина вашего расстройства? Вы сами стесняете
себя, не делясь с другом.

                                   Гамлет

     Охотно, сэр. Я перестал расти, и карьера моя кончилась.

                                 Розенкранц

     Как вы можете так говорить! Сам король провозгласил вас наследником!..

                                   Гамлет

     О, да. Но есть старая поговорка: "Покуда травка подрастет..."

                         Входят актеры с флейтами.

     Вот  и  флейты.  Дайте мне одну. (Гильденстерну.) Два слова наедине. Вы
зах_о_дите мне в тыл, точно готовите западню.

                                Гильденстерн

     О, милорд, я неловок, но это потому, что любовь моя безыскусна.

                                   Гамлет

     Что-то я не понимаю. Не сыграете ли вы на флейте?

                                Гильденстерн

     Я не умею, милорд.

                                   Гамлет

     Ну, я вас очень прошу!..

                                Гильденстерн

     Да нет, правда, не умею.

                                   Гамлет

     Умоляю вас!

                                Гильденстерн

     Я и притронуться к ней боюсь!

                                   Гамлет

     Это  не труднее, чем лгать. Закрывайте эти отверстия, а вот сюда дуйте,
и из нее польется сладчайшая музыка. Вот, глядите, это - клапаны...

                                Гильденстерн

     Но я не знаю, как ими пользоваться. Я не учился гармонии.

                                   Гамлет

     Не  учились?  Каким  же  ничтожеством  вы считаете меня!.. Вы пытаетесь
играть  на  мне,  уверены,  что знаете мои слабости, хотите разыграть меня и
вместе с сердцем вырвать мою тайну. В этом маленьком инструменте море музыки
и  чистый  голос, однако вам он ничего не расскажет. Черт возьми, неужели вы
думаете, что на мне легче играть, чем на флейте? Считайте меня чем угодно...
Вы только расстроите меня, но играть на мне вам не дано.

                              Входит Полоний.

     Да благословит вас Бог!

                                  Полоний

     Королева желает говорить с вами прямо сейчас.

                                   Гамлет
                              (подходя к окну)

     Видите то облако, похожее на верблюда?

                                  Полоний

     Клянусь обедней, и в самом деле верблюд...

                                   Гамлет

     А мне кажется, что оно напоминает горностая.

                                  Полоний

     Спина, как у горностая.

                                   Гамлет

     Или как у кита?

                                  Полоний

     Вылитый кит.

                                   Гамлет

     Увы,  придется  идти  к матери. (В сторону.) Они думают, что они валяют
дурака. (Вслух.) Уже иду!

                                  Полоний

     Так и передам.
                                  (уходит)

                                   Гамлет

     Легко сказать "уже"! Друзья, оставьте меня.

                         Уходят все, кроме Гамлета.

                    Настало колдовское это время,
                    Разверстый час полуночных могил,
                    Разящий смрадными парами ада.
                    Упиться бы теперь горячей кровью
                    Да в темноте наделать горьких дел,
                    Чтоб день грядущий завтра содрогнулся!..
                    Спокойствие. Я к матери иду.
                    О сердце, сердце, - удержи меня!
                    Пусть не вселится в этот страшный час
                    В меня душа Нерона. Я жесток,
                    Но я не изверг, и взамен кинжала
                    Употреблю кинжалы слов стальных,
                    И пусть язык с душою лицемерят
                    Друг перед другом... Сколько б ни вонзил
                    Кинжалов этих, о моя душа,
                    Не соглашайся с тем, что я замыслил!
                                 (Уходит.)


                                  Сцена 5

         Комната короля. Входят король, Розенкранц и Гильденстерн.

                                   Король

                    Я не люблю его, и было б странно
                    Его безумству потакать. Оно
                    Опасным стало... Так что собирайтесь
                    И - доброго пути... Вы, то есть оба,
                    Назначены его сопровождать
                    В его поездке в Англию, поскольку
                    Задеты интересы государства,
                    И жизни короля грозит опасность.

                                Гильденстерн

                    Милорд, считайте, мы уже в пути.
                    Для нас священны жизнь и пропитанье
                    Всех тех, чья жизнь, а также пропитанье
                    От Вашего Величества зависят.

                                 Розенкранц

                    Отдельно взятый каждый из людей
                    Всей силою ума или оружья
                    Обязан защитить свой интерес,
                    Тем более обязан это сделать
                    И тот, кто держит Датскую державу,
                    Ведь зиждется на жизни государя
                    Благополучье подданных его.
                    Смерть короля - всегда водоворот,
                    Губительный для многих частных судеб.
                    А вот вам аллегория другая:
                    Король - что мельничное колесо,
                    Но не внизу, а на вершине горной,
                    И тысячи колесиков мельчайших,
                    Скрепленных с ним, приводит он в движенье.
                    Покатится с вершины колесо -
                    В падении такого наломает...
                    Вздохнет король - ему ответит эхо
                    Всеобщим стоном!

                                   Король

                                     Я вас попрошу
                    Поторопиться. Только вместе с вами
                    Мы закуем в оковы этот ужас...
                    Он где-то рядом...

                         Розенкранц и Гильденстерн

                                         Мы уже спешим!..

                     Розенкранц и Гильденстерн уходят.
                              Входит Полоний.

                                  Полоний

                    Милорд, сейчас он к матери пойдет.
                    Там есть местечко за ковром аррасским,
                    Еще когда его на всякий случай
                    Я присмотрел... Ну да... Вот там и встану...
                    Мать сына вразумит, не сомневайтесь,
                    Однако очень точно вы сказали -
                    Точней не скажешь! - мать всегда есть мать,
                    И беспристрастность - не ее стихия,
                    Здесь нужен человек без предрассудков -
                    Сказали вы! - и с вами я согласен.
                    Прощайте же, мой добрый повелитель,
                    Я загляну еще раз чуть попозже,
                    Надеюсь, что не будет слишком поздно.

                                   Король

                    Я вам весьма признателен, милорд.

                              Полоний уходит.

                    Мой грех смердит до самых до небес...
                    Древнейшее и главное проклятье -
                    Убийство брата. Не могу молиться.
                    Хочу, но не могу, хотя желанье
                    Столь велико, что впору разрыдаться.
                    Я полон сил. И я еще не гнусь!..
                    Я должен жить двойною этой жизнью,
                    И должен сделать то, что сделать должен.
                    Но как, скажи!.. Когда б моя рука
                    Была еще черней от крови брата,
                    Неужто б не хватило небесам
                    Дождя, чтобы омыть ее?.. Зачем
                    Все эти россказни про милосердье,
                    Когда неискупимо преступленье?..
                    Молиться?.. Это вот и значит жить
                    Двойною жизнью - быть предупрежденным
                    До совершения проступка или
                    Прощенным, если после помолился.
                    Вот я молюсь. И что? Мой грех отпущен?..
                    Допустим, я и правда не могу
                    Сказать "Прости мне подлое убийство!",
                    А почему? А потому, что я
                    Не властен отказаться от короны,
                    От королевы да и от себя...
                    И разве можешь ты простить, когда,
                    Отринув грех, не можем мы отторгнуть
                    Его плодов, которые столь сладки...
                    Ты знаешь сам: в безумном этом мире
                    Чистейшая душа обречена
                    Быть втоптанной в такую грязь, что лучше
                    И не глядеть. Закон?.. А что закон?..
                    С законом мы поделимся, и он
                    Нас возблагодарит. Он осуждает
                    Лишь падшего, того, кто проиграл.
                    Но я ведь победил!.. И что теперь?..
                    Что остается мне?.. Что?.. Покаянье?
                    Но если нет раскаянья, поможет
                    Мне покаянье? Боже, я такой,
                    Каким меня ты сам и сотворил,
                    Так чья вина?.. Ой, худо, ох, как худо
                    Глядеться в сердце черное, как ночь.
                    ...Доволен? Ты поймал меня? Ликуй!
                    Еще одна душа в твоей ловушке.
                    ...Пошли мне ангелов твоих на помощь!
                    Еще раз испытай меня!.. Не хочешь?
                    Тогда я сам... Согнитесь подо мной
                    Мои колени... Сердце размягчу,
                    И, может быть, еще все обойдется...
                             (встает на колени)

                               Входит Гамлет.

                                   Гамлет

                    Он молится?.. И впрямь, какой подарок...
                    Я мог бы все исполнить, хоть сейчас
                    На небеса отправив негодяя,
                    И вот оно, отмщение... Однако
                    Здесь надо разобраться... Значит, так -
                    Он убивает моего отца,
                    А я его за это посылаю
                    На небеса... Нет, что-то не выходит...
                    Ну да, ведь месть не может быть наградой...
                    Отец убит во сне, в цветеньи майском
                    Своих грехов, с набитым животом,
                    Без покаяния и причащенья,
                    И только Небо знает, каково
                    Ему сейчас приходится... А этот -
                    Коленопреклоненный, весь в молитве,
                    А, значит, подготовленный уже
                    Для перехода в мир иной... О, нет,
                    Меч в ножны. Мстить так мстить. Дождемся часа,
                    Когда напьется он и будет спать...
                    О, да - и в гневе, и на ложе страсти
                    Кровосмесительной, и за игрою
                    На деньги, и в иных греховных играх,
                    Он - мой. Он мой, но только не сейчас.
                    Сшибить его - не слишком это сложно,
                    Вся хитрость в том, чтоб пятками своими
                    По воздуху сучил, но чтоб душа
                    Столь тяжела была, что прямо в ад
                    Со всею мерзостью и провалилась!..
                    Мать ждет меня. Лечение отложим,
                    А, значит, и продлим твою болезнь.
                                  (уходит)

                        Король поднимается с копен.

                                   Король

                    Слова возносятся, а помыслы гнетут.
                    До неба те и эти не дойдут.
                                 (Уходит.)


                                  Сцена 6

                Комната королевы. Входят королева и Полоний.

                                  Полоний

                    ...И вот сейчас он явится. Примите
                    Его по-матерински. Намекните,
                    Что эти выходки - игра с огнем.
                    Пока могли, его вы прикрывали,
                    Встав между ним и пламенем... Я встану
                    Здесь, за ковром... И заклинаю вас -
                    Побольше искренности!..

                                   Гамлет
                                (за сценой)

                                              Мама!.. Ма-ма!..

                                  Королева

                    Не беспокойтесь, если что - я крикну.

                 Полоний прячется за ковер. Входит Гамлет.

                                   Гамлет

                    Так что случилось, мама?

                                  Королева

                    Вы оскорбили своего отца.

                                   Гамлет

                    Вы оскорбили моего отца.

                                  Королева

                    Увы, что ни ответ, то невпопад.

                                   Гамлет

                    Ну да, ведь из вопроса каплет яд.

                                  Королева

                    Зачем вы так?

                                   Гамлет

                                   Так что случилось, мама?

                                  Королева

                    Ты узнаешь меня?

                                   Гамлет

                                     Клянусь распятьем,
                    Вы - королева Дании, жена
                    Отцова брата, мне ж, к несчастью, - мать.

                                  Королева

                    Ну, хватит. Ты ответишь, но не мне.
                            (порывается встать)

                                   Гамлет

                    Сядь, где сидишь. Ты не уйдешь отсюда,
                    Покуда я тебе не покажу
                    Твое нутро...

                                  Королева

                    Что ты задумал?.. Ты меня убьешь?..
                    Сюда!.. На помощь!..

                                  Полоний
                       (на миг появляясь из-за ковра)

                                      Эй, сюда!.. На помощь!.

                                   Гамлет

                    Здесь крысы?..
                           (пронзает мечом ковер)
                                  Есть! Ставлю дукат - достал.

                                  Полоний
                               (из-за ковра)

                    Я, кажется, убит...

                                  Королева

                                         Что ты наделал!

                                   Гамлет

                    Сам не могу понять. Там что - король?

                                  Королева

                    Сколь опрометчиво и сколь кроваво...

                                   Гамлет

                    Кроваво?.. Не кровавей, чем убить
                    Супруга-короля и выйти замуж
                    За его брата.

                                  Королева

                                    Что значит - "убить
                    Супруга-короля"?..

                                   Гамлет

                                        А то и значит.
                   (поднимает ковер и видит тело Полония)
                    Так вот кого я в лучший мир спровадил.
                    Прощай, несносный глупый прилипала.
                    Ты за другого получил свое.
                    Я обознался, и сейчас ты понял,
                    Что суета совсем не безопасна.
                                 (королеве)
                    Все. Хватит. Прекратите причитать,
                    И дайте мне теперь отжать всю мерзость,
                    Накопленную вами в вашем сердце,
                    Которое вы медью облекли,
                    Чтобы ничто живое не проникло.

                                  Королева

                    Да что же я такое совершила,
                    Что так ты распускаешь свой язык?

                                   Гамлет

                    Я подскажу: то, что бесчестит честность,
                    Что скромность обращает в лицемерье,
                    То, что венец невинности срывает
                    И оставляет язву на челе,
                    То, что пред алтарем дает обеты,
                    Похожие на клятвы игроков,
                    То, что сквозит в последнем содроганьи,
                    Религиозность сводит к пустословью,
                    То, от чего, как солнце на закате,
                    Лицо небес сгорает со стыда.
                    Что это?.. Это что-то вроде корки
                    Непробиваемой. Ее состав
                    Весьма не прост и держится прекрасно
                    До Страшного Суда.

                                  Королева

                                          О Боже правый,
                    Да в чем я виновата? Объясни!

                                   Гамлет

                    Сюда взгляните. Вот вам два портрета,
                       (видимо, демонстрирует ладони)
                    Два брата... Первый - это образец
                    Изящества, что запечатлено
                    В обличий - Юпитера чело,
                    И Марса взор, и кудри Аполлона,
                    Меркурия летящая осанка -
                    Все дышит в нем небесным поцелуем,
                    Как будто каждый из богов Олимпа
                    Сюда вложил бессмертия частицу,
                    Залог самостоянья человека.
                    Узнала?.. Да?.. Таков твой первый муж.
                    Теперь второй портрет и муж второй,
                    Похожий на заросшее щетиной
                    Свиное ухо. Он - братоубийца.
                    Есть у тебя глаза?.. И ты посмела
                    С горы спуститься, чтобы удобрять
                    Вонючее болото?.. Чем ты смотришь?
                    Ни слова про любовь... В твои-то годы
                    Кипенье крови разуму подвластно,
                    А страстью управляет голова.
                    Хоть что-нибудь скажи!.. Ведь у тебя
                    Достаточно мозгов, чтобы ответить
                    И за себя, и за свои поступки -
                    Апоплексия их не поразила,
                    Безумие не выело, однако
                    Плоть обольстила... Но ведь не настолько,
                    Что ты утратила и здравый смысл?
                    Ведь так?.. Так назови мне имя беса,
                    Казнящего куриной слепотой.
                    Незрячих чувств безглазие глухое,
                    Безрукий слух, лишенный осязанья,
                    Безвкусие душевной пустоты -
                    Ничто в сравнении с твоей болезнью.
                    О стыд, где твой спасительный румянец?..
                    Да, это - ад.
                    Неужто вдовьи кости столь упруги,
                    Что ради молодого исступленья
                    Ты добродетель предпочла расхитить
                    И расточить, и растопить, как воск?..
                    И если слово обжигать способно,
                    Признайся, не стыдясь, что ты сгораешь
                    В объятьях собственного ненасытства,
                    И разум твой - всего лишь ушлый сводник
                    Твоей же похоти.

                                  Королева

                                      Не надо, Гамлет!
                    Ты вывернул мне зренье наизнанку.
                    Я заглянула вглубь моей души
                    И ничего не вижу, кроме пятен,
                    Столь черных, что и цвета не изменят,
                    Как ни смотри...

                                   Гамлет

                                      Нет, слушайте меня!
                    Как можно спать в засаленной постели,
                    Жить в сладострастной мерзости, в гниеньи
                    Любовных исторжений!..

                                  Королева

                                           Замолчи!
                    Твои слова острее, чем кинжалы.
                    Довольно, милый Гамлет!

                                   Гамлет

                                            Он - убийца,
                    Злодей, не стоивший одной двухсотой
                    Того, кто первым вашим мужем был.
                    Среди известных миру государей
                    Он - олицетворение порока,
                    Вор, покусившийся залезть во власть,
                    Стянувший с полки датскую корону
                    И сунувший ее в карман.

                                  Королева

                                            О, Гамлет!..

                                   Гамлет

                    Король заплат, лоскутный самодержец,
                    Фигляр на троне!...

                          Входит Призрак в халате.

                                        Эй, сюда, сюда!
                    Накрой меня, небесный мой хранитель,
                    Своим крылом, ответь мне, что мне делать?

                                  Королева

     Увы, он и впрямь безумен.

                                   Гамлет

                    А, ты пришел, чтобы меня ругать,
                    Пришел казнить медлительность сыновью,
                    Лишь потому пришел, что я позволил
                    Железу раскаленному остыть?
                    Скажи!..

                                  Призрак

                              Не забывайся. Я пришел
                    Затем, чтобы еще раз отточить
                    Твои намеренья. Но погляди на мать -
                    Она в отчаяньи. Воображенье
                    Всего сильней у тех, кто телом слаб.
                    Встань между нею и ее душой.
                    Заговори с ней, Гамлет!

                                   Гамлет

                    Чт_о_ с вами, госпожа?

                                  Королева

                                         Увы, чт_о_ - с вами?
                    Вы устремили очи в пустоту
                    И говорите с воздухом бесплотным,
                    А в широко распахнутых глазах
                    Играют бесы вашего безумья,
                    И ваши волосы, ну точно жизнь
                    В ее же испражненьях, шевельнулись,
                    Как солдатня, уложенная пивом,
                    И повскакали, будто услыхали
                    Сигнал трубы. О, милый сын, скорей
                    Пролей прохладу самообладанья
                    На пламя сумасшествия. Куда
                    Ты смотришь?

                                   Гамлет

                                  Ну, конечно, на него.
                    Смотрите, как он бледен. Если б он
                    Явился проповедовать камням -
                    То и у них заговорила б совесть.
                    ...Отец, не надо так глядеть, не то
                    Разбудишь ты не мужество, а жалость.
                    И с чем же я тогда останусь, папа?
                    Растает ледяная эта глыба,
                    И я не сделаю того, что должен.
                    ...А вместо крови - слезы потекут.

                                  Королева

                    Кому ты это говоришь?

                                   Гамлет

                                           Вы что,
                    Там никого не видите?

                                  Королева

                                           Я вижу
                    Одно ничто.

                                   Гамлет

                    И ничего не слышите?

                                  Королева

                                          Я слышу
                    Лишь наши голоса...

                                   Гамлет

                                        Туда смотрите!
                    Уходит... И одет он, как когда-то...
                    Он только здесь являлся в этом платье...
                    Смотрите, он уже в проеме двери!..

                             Призрак исчезает.

                                  Королева

                    Вот образец болезненных фантазий,
                    Мятежный дух бессонных экзальтаций,
                    Весьма, весьма опасных...

                                   Гамлет

                                             Экзальтаций?
                    Ты хочешь пульс пощупать? Убедись,
                    Что он мою поддерживает жизнь,
                    Отсчитывая музыку здоровья
                    Столь же размеренно, как твой - твою.
                    Нет, это не безумие ведет
                    Меня в пучину испытаний, мама!
                    Ты можешь испытать меня сама:
                    Я изложу тебе любое дело,
                    Не прыгая с предмета на предмет.
                    Безумные такого не умеют.
                    Но, ради Бога, только не пытайся
                    Лечить примочками самообмана
                    Свой грех. Подсохнет чуть - но все равно
                    Дыхание твое заразно будет.
                    ...Вам надо исповедоваться Небу.
                    За прошлое свое покайтесь и
                    Остерегайтесь будущих соблазнов.
                    Выпалывайте сорную траву,
                    И плевелам не разрастись на грядке.
                    ...А мне простите проповедь мою.
                    В наш век, гордящийся своим достатком,
                    Добро должно прислуживать пороку
                    И всякий раз прощения просить.

                                  Королева

                    О, Гамлет, ты мне сердце разрубил...

                                   Гамлет

                    Отбросьте прочь гнилую половину.
                    Для жизни вашей хватит той, другой.
                    Спокойной ночи! Только не ложитесь
                    В постель к моему дяде. Если нет
                    В вас добродетели, - хоть притворитесь.
                    Привычка - вот чудовище. Она
                    Сжирает всякое живое чувство,
                    Но этот дьявол станет ангелочком,
                    Когда мы подчиняемся укладу
                    Естественности да и поступаем
                    По совести. Привычка?.. Что ж, привычка
                    Для добрых человеческих деяний
                    Удобна, как добротная одежда.
                    Когда удержитесь сегодня ночью -
                    Назавтра легче будет удержаться,
                    А послезавтра и совсем легко.
                    Привычка в состоянии сломать
                    Печать природы - или приютить
                    Нечистого, или прогнать его.
                    Еще раз - доброй ночи... А когда
                    Вы станете искать благословенья,
                    Приду, чтоб вы меня благословили.
                        (указывает на тело Полония)
                    Об этом лорде очень сожалею.
                    Раскаиваюсь. Небеса хотели
                    И наказать его через меня,
                    И наказать меня за непокорность.
                    Я за собою это уберу
                    И отыщу хранилище получше.
                    За эту смерть придется мне ответить.
                    И вновь - спокойной ночи... Да, я должен
                    Жестоким быть, чтоб оставаться добрым.
                    Ужасное начало, но еще
                    Ужасней то, что спрятано во мраке.
                    ...Еще два слова, госпожа моя!..

                                  Королева

                    Скажи, что делать мне?

                                   Гамлет

                    Ни в коем случае того не делать,
                    О чем я толковал тебе полночи.
                    Твой долг - пьянчужке-королю позволить
                    Увлечь себя в постель (и пусть поставит
                    Большой засос на розовую щечку!),
                    За пару поцелуйчиков отдаться
                    Ему внаем на парочку минут
                    И за прикосновенье к нежной шейке
                    Открыть, что никакой я не безумный,
                    Но только притворяюсь таковым.
                    Я уверяю - это он оценит.
                    Ну разве можно мудрой королеве,
                    Прекрасной, скромной, нежной королеве,
                    Скрывать столь государственную тайну
                    От жабы, от паршивого кота?
                    О, нет! Идите поперек рассудка,
                    Как знаменитая та обезьяна,
                    С корзиной, полной птиц, топ-топ на крышу,
                    И - пусть летят! А после заползите
                    В корзину и - прыг-скок! - сверните шею.

                                  Королева

                    Не бойся. Если слово создается
                    Дыханием, ну а дыханье - жизнью,
                    То жизни-то как раз во мне и нет.
                    И неоткуда мне набраться духу,
                    Чтобы услышанное повторить.

                                   Гамлет

                    Я должен ехать в Англию. Вам это
                    Известно?

                                  Королева

                               Боже, я совсем забыла!
                    Тут я бессильна...

                                   Гамлет

                                       Письма скреплены
                    Печатями. Товарищи мои,
                    Два бывших одноклассника, которым
                    Я доверяю так же, как гадюкам,
                    Везут рескрипт, указывая путь
                    Кратчайший - в западню.
                    Пускай потрудятся. Всего смешнее -
                    Рвануть сапера на его же мине.
                    Я должен ниже взять на целый ярд
                    И свой подкоп так подвести, чтоб сдуло
                    Их на Луну. О, это наслажденье
                    Испытывать на узенькой дорожке
                    Противника, смотря глаза в глаза!
                      (наклоняется над телом Полония)
                    Похоже, этот господин прикажет
                    Мне поторапливаться. Оттащу
                    Мешок кишок в соседнюю клетушку.
                    А вот теперь и впрямь - спокойной ночи.
                    ...Как тих и скромен этот соглядатай,
                    А ведь при жизни был болтлив и глуп.
                    Сэр, поднимайтесь, нам пора на воздух.
                    Спокойной ночи, мама!
                          (Уходит, унося Полония.)


                                  Сцена 7

    Комната короля. Входят король, королева, Розенкранц и Гильденстерн.

                                   Король

                    Опять все то же... Эти охи, вздохи...
                    Так в чем причина нынешней печали?
                    И, кстати, где ваш сын?

                                  Королева

                    Оставьте ненадолго нас одних.

                     Розенкранц и Гильденстерн выходят.

                    О, что сегодня я пережила!

                                   Король

                    В чем дело? Снова Гамлет?

                                  Королева

                                             Он безумен,
                    Как море с бурею, когда они
                    Доказывают, кто из них главнее.
                    Услышав шевеленье за ковром,
                    Вскричал "Здесь крыса!" и своею шпагой
                    В безудержном припадке заколол
                    Того, кто там скрывался...

                                   Король

                                              А ведь там
                    И мы могли стоять... Да, он опасен
                    Для нас, для вас и вообще для всех.
                    Не знаю, что я должен предпринять...
                    Молва припишет нам его поступок,
                    А мы и в самом деле виноваты,
                    Ведь следовало обуздать безумца
                    И удалить подальше от людей...
                    Но мы его любили той любовью,
                    Которая сильнее, чем рассудок,
                    И не хотели в этом признаваться,
                    Ну, точно те, которые страдают
                    Дурной болезнью, и, боясь огласки,
                    Ее подпитывают свежей кровью.
                    Куда же он направился?

                                  Королева

                                           Понес
                    Убитого, дабы само безумье,
                    Подобно золоту, что выступает
                    Над черной гущей низкого металла,
                    Поплакать над содеянным могло.

                                   Король

                    Пойдем, Гертруда! Солнце не успеет
                    Коснуться гор, как мы его спровадим.
                    Корабль готов. Теперь наш долг - покрыть
                    Чудовищное это преступленье,
                    Используя все то, чем обладаем, -
                    И статус наш монарший, и искусство
                    Повелевать... Отыщем оправданье
                    Убийству этому. Эй, Гильденстерн!

                     Входят Розенкранц и Гильденстерн.

                    Друзья, ступайте и возьмите в помощь
                    Кого-нибудь еще. Безумец Гамлет
                    Убил Полония и уволок
                    Его куда-то... Разыщите принца
                    Да потолкуйте с ним пооткровенней.
                    А тело спрячьте где-нибудь в часовне.
                    Прошу не медлить.

                     Розенкранц и Гильденстерн уходят.

                                       Нам пора, Гертруда.
                    Мы соберем мудрейших из мудрейших,
                    Расскажем, что хотели предпринять,
                    И что сегодня против нашей воли
                    Несвоевременно произошло.
                    И шепоток, который, как из пушки,
                    Из жерла недр прямою бьет наводкой
                    Мучительным и смрадным изверженьем,
                    Взошедшим по диаметру земли, -
                    Просвищет мимо имени монарха
                    И поразит неуязвимый воздух.
                    Пойдем. Душа моя полна смущенья
                    И страха.
                                 (Уходят.)


                                  Сцена 8

                      Комната Гамлета. Входит Гамлет.

                                   Гамлет

                    ...Укрыт в укромном месте.

                         Розенкранц и Гильденстерн

                    Принц Гамлет! Гамлет!..

                                   Гамлет

                    Потише!.. Кто там Гамлета зовет?
                    ...Вот и пожаловали.

                     Входят Розенкранц и Гильденстерн.

                                 Розенкранц

                    Милорд, куда вы спрятали останки?

                                   Гамлет

                    Поближе к испражненьям, ведь они
                    В родстве...

                                 Розенкранц

                    Извольте изъясняться поточнее.
                    Нам надо прах перенести в часовню.

                                   Гамлет

                    Не верьте этому.

                                 Розенкранц

                                      Чему не верить?

                                   Гамлет

     Тому,  что  я свою открою тайну, а вашу не раскрою. Разве может держать
ответ перед какой-то губкой сын короля?

                                 Розенкранц

     Итак, милорд, я, по-вашему, - губка?

                                   Гамлет

     А  как,  милорд,  по-вашему назвать того, кто ловко впитывает милость и
власть, и все, что от нее исходит? Вы дьявольски полезны королю! Король ведь
не  глупее  обезьяны,  а  та  таскает губку за щекой: захочет пить - надавит
языком, ну и напьется собственной слюною.

                                 Розенкранц

     Милорд, я вас не понимаю.

                                   Гамлет

     Искренне рад. Тонкая речь в толстом ухе застрянет.

                                 Розенкранц

     Сообщите, сэр, где находится тело, и мы проводим вас к королю.

                                   Гамлет

     Тело при короле, но король не при теле. Король - это роль.

                                Гильденстерн

     Какая еще роль, милорд?

                                   Гамлет

     Последняя.  Ведите  меня к нему. Лисица, где твоя нора? Охотник едет со
двора.
                                 (Уходят.)


                                  Сцена 9

                   Комната короля. Входят король и свита.

                                   Король

                    Найдут его, ну и отыщут тело.
                    На воле этот господин опасен.
                    Однако нам нельзя его судить,
                    Как требует закон, ведь он любим
                    Толпою безрассудной, для которой
                    Глаза куда важнее, чем мозги.
                    Их не волнует мера преступленья,
                    Но впечатляет тяжесть наказанья.
                    И чтобы все прошло, как мы хотим,
                    Его отправку следует готовить.
                    Так пораженный орган отсекают
                    Или не лечат вовсе.

                             Входят Розенкранц.

                                         Как успехи?

                                 Розенкранц

                    Куда он спрятал труп - не говорит.
                    Молчит, как рыба, сэр.

                                   Король

                                            Молчит? Но где?

                                 Розенкранц

                    За дверью. Он под стражею и ждет
                    Решенья вашего.

                                   Король

                                     Введите принца.

                                 Розенкранц

                    Хо, Гильденстерн, веди его сюда!

                       Входят Гамлет и Гильденстерн.

                                   Король

     Гамлет, где Полоний?

                                   Гамлет

     На ужине.

                                   Король

     На каком ужине?

                                   Гамлет

     Не  на  том, где он ест, а на том, где его едят. За него взялась партия
политических  червей. Червь - единственный в мире император. Мы откармливаем
животных,  чтобы самим прокормиться, а себя откармливаем для червей. С точки
зрения  червя,  и  жирный  король,  и  тощий нищий - всего только два разных
блюда. Но с одного стола. Таков итог.

                                   Король

     Увы, увы.

                                   Гамлет

     Можно  удить  на червя, который ел короля, и в результате поймать рыбу,
которая проглотит червя.

                                   Король

     Что ты хочешь этим сказать?

                                   Гамлет

     Не  сказать,  а  показать,  каким образом король может прошествовать по
кишкам оборванца.

                                   Король

     Где Полоний?

                                   Гамлет

     На  Небе.  Пошлите  кого-нибудь,  когда  не  верите.  Если  его  там не
окажется,  значит,  ему  там  и не место. А не найдете за месяц, он сам себя
выдаст, когда пойдете в переднюю по лестнице.

                                   Король

     Ступайте под лестницу. Да живо!

                                   Гамлет

     Да нет, он наверняка дождется.

                     Несколько человек из свиты уходят.

                                   Король

     Гамлет,  ради твоей же безопасности, которая столь же нам дорога, сколь
и   прискорбен  твой  проступок,  ты  должен  бежать  отсюда  быстрее  огня.
Снаряжайся  - и в путь. Корабль под парусами. Спутники готовы. В Англии тебя
ждут.

                                   Гамлет

     В Англии?

                                   Король

     Да, Гамлет.

                                   Гамлет

     Хорошо.

                                   Король

     Ты мог бы так сказать, если б видел наши намерения.

                                   Гамлет

     Я  вижу  ангела,  который  их видит. Ладно, пусть - в Англию. Прощайте,
матушка.

                                   Король

     Я - твой любящий отец, Гамлет.

                                   Гамлет

     В  конечном  счете,  -  мать.  Отец  и мать, - муж и жена. Муж и жена -
единая плоть. Good bye, мама. Я уехал.

                                   Король

                    Последуйте за ним, пока не поздно.
                    Не позже вечера он отплывет.
                    Приказываю вам поторопиться.
                    Ступайте! Это дело решено.

                     Розенкранц и Гильденстерн уходят.

                    Король Английский, ежели ты ценишь
                    Мое расположение, а это,
                    Признаться, так и есть, и власть моя
                    Достаточна, чтобы тебе напомнить,
                    Сколь свеж рубец от датского меча,
                    К тому же ты выказывал покорность
                    Исполнить все, что мы тебе велим,
                    Так вот, исполни наше предписанье:
                    Убей его. Ты должен это сделать,
                    Король Английский. Сделай - и скорей.
                    Одна лишь мысль о нем - и закипает
                    Во мне горячка. Исцели меня.
                    Пока я не узнаю, что он мертв,
                    Удача мне сопутствовать не будет.
                                 (Уходит.)


                                  Сцена 10

                              Равнина в Дании.
          Входят Фортинбрас и капитан, за ними норвежские войска.

                                 Фортинбрас

                    Ступайте и скажите королю,
                    Что Фортинбрас приветствует его
                    И просит подтверждения на право
                    Свободного прохода. Вам известно,
                    Где вы меня догоните. А если
                    Его Величеству необходимо
                    Со мною говорить, то мы готовы
                    И лично засвидетельствовать наше
                    Почтение. Скажите и об этом.

                                  Капитан

                    Будет исполнено.

                                 Фортинбрас

                    Мы не торопимся, но продолжаем
                    Движение...

                        Фортинбрас и солдаты уходят.
                 Входят Гамлет, Розенкранц и Гильденстерн.

                                   Гамлет

                                   Чье это войско, сэр?

                                  Капитан

     Норвежское, сэр.

                                   Гамлет

     И куда оно следует?

                                  Капитан

     В Польшу, сэр.

                                   Гамлет

     И кто ведет его?

                                  Капитан

                    Ведет плямянник старого Норвега
                    Принц Фортинбрас.

                                   Гамлет

                                      Так это против Польши?
                    Всей Польши?

                                  Капитан

                                   Да пожалуй что не всей.
                    Сказать по правде, тот клочок земли
                    Не стоит даже своего названья,
                    Я, например, не дам пяти дукатов,
                    Да-да - пяти, чтоб взять его внаем.
                    Продать его - и то себе дороже
                    И нам, и королю поляков.

                                   Гамлет

                                               Значит,
                    Король не станет защищать его.

                                  Капитан

                    Вот именно, что станет. Там теперь
                    Его войска.

                                   Гамлет

                                Итак, две тыщи душ
                    И двадцать тыщ дукатов - для того,
                    Чтоб только доказать, что ты сильнее.
                    Таков налог на роскошь мирной жизни,
                    Гнойник, не выходящий через кожу,
                    Но поражающий нас изнутри.
                    Благодарю вас, сэр.

                                  Капитан

                                         Храни вас Бог!
                                  (уходит)

                                 Розенкранц

                    Милорд, вы разрешите путь продолжить?

                                   Гамлет

                    Ступайте. Я сейчас вас догоню.

                        Все, кроме Гамлета, уходят.

                    Унылую пришпоривают месть
                    Все обстоятельства, какие есть.
                    Что - человек, когда лишь ест да пьет?
                    Домашнее животное, не боле.
                    Я загнан в угол, как последний скот,
                    И не гожусь для отведенной роли.
                    Но Тот, который нас и наградил
                    Уменьем мыслить и стремиться к цели,
                    Не для того потратил столько сил,
                    Чтобы дары его заплесневели.
                    Животное беспамятство мое...
                    А, может, трусость - с самого начала
                    Стальное отточила острие
                    И смысл отмщения четвертовала.
                    Я сам не знаю, для чего живу -
                    Такой расчетливый, такой умелый! -
                    Твержу себе во сне и наяву.
                    "Ты должен это сделать!"... Ну так делай.
                    Примеров - тьма. Они вполне грубы
                    И зримы. Вот вослед за юным принцем
                    Под звуки барабана и трубы
                    Пехота тащится к чужим границам.
                    Ее ведет изящный мальчуган.
                    Что впереди? Победа? Пораженье?
                    Божественным тщеславьем обуян,
                    Мятежный дух не ведает сомненья.
                    Ну и пойдет до самого конца
                    За-ради выеденного яйца.
                    Достоинство, должно быть, в том и есть,
                    Чтоб попусту не ввязываться в ссору,
                    Но если уж задета наша честь -
                    Достойно из соринки сделать гору.
                    Отец убит. Живет в постыдстве мать.
                    А я все продолжаю рассуждать.
                    Что смерть? Всего лишь смерть. В конце концов
                    Каким стыдом за этот стыд заплатим?
                    Идут за славой двадцать тыщ самцов
                    К своим могилам, как к чужим кроватям.
                    На тот клочок земли идут войной,
                    Где негде разлететься двум картечам.
                    Прильнут могилы их одна к одной,
                    Однако и засыпать будет нечем.
                    Не для пустой потехи, не для славы -
                    Да будут мои помыслы кровавы,
                    Или вообще не будет никаких.
                                 (Уходит.)

                               Конец II акта




                                  Сцена 1

                 Комната короля. Входят королева и Горацио

                                  Королева

                    Беседовать я с нею не хочу.

                                  Горацио

                    Она несносна. Пристает ко всем,
                    Боюсь, что это требует участья.

                                  Королева

                    Так что ей нужно?..

                                  Горацио

                    Все ее речи - только об отце.
                    Твердит, что миром управляет подлость,
                    В сердцах фырчит, невесть чего бормочет,
                    В ревнивом забытьи солому топчет.
                    Невнятица ее наполовину
                    Бессмысленна... Однако пустоту
                    Всяк заполняет мыслями своими.
                    Пока ей внемлют и запоминают,
                    И к собственным пристегивают мыслям
                    Ее гримасы, жесты и прыжки...

                                  Королева

                    В озлобленных умах ее посев
                    Весьма опасен. Пусть она войдет.

                              Горацио выходит.

                                       Больной моей душе,
                    Греховной по самой своей природе,
                    Любая мелочь кажется прологом
                    К несчастью. Ощущение вины
                    Приводит к подозрительности глупой.
                    Когда боишься душу расплескать,
                    Тогда уж непременно и расплещешь.

                         Входят Горацио и Офелиия.

                                   Офелия

                    Светлейшее величество, ау!

                                  Королева

                    Офелия, ты как?

                                   Офелия
                                   (поет)

                    Ах, как мне милого узнать,
                    Когда пройдет он мимо?
                    А по клюке в его руке
                    И шляпе пилигрима...

                                  Королева

     Что означает твоя песенка?

                                   Офелия

     Сказать вам? Нет, послушайте еще:
                                   (поет)
                    Он умер, леди, он ушел,
                    Ушел - увы и ах! -
                    В ногах его зеленый куст
                    И камень в головах.

                                  Королева

     Не надо, Офелия, прошу вас!

                                   Офелия

     Тогда другую...
                                   (поет)
                    Бел его покров, как снег в горах...

                               Входит король.

                                  Королева
                                  (королю)

     О Господи! Увы, милорд, взгляните!

                                   Офелия
                                   (поет)

                    Он лежит, притихший, весь в цветах.
                    В тех цветах, что в гроб не положили
                    И дождями слез не оросили...

                                  Королева

     Как вы себя чувствуете, прекрасная леди?

                                   Офелия

     Хорошо, благослови вас Бог! Вы знаете, что сова была дочерью булочника?
Боже  мой,  мы  знаем,  кто  мы  есть, но не знаем, кем можем стать. Господь
благословит вашу трапезу.

                                   Король

     Это она об отце.

                                   Офелия

     Прошу вас, не надо этого касаться. А если спросят, скажите вот что:
                                   (поет)

                        Встречала Валентинов день
                        Я под твоим окном.
                        Хотела валентинку взять
                        И убежать потом.

                        Но ты у двери подстерег,
                        И девушкой войдя,
                        Уже не девушкой, дружок,
                        Ушла я от тебя...

                                   Король

     Прекрасная Офелия!..

                                   Офелия

     Взял первую ноту - и конец. Я покончу с этим.
                                   (поет)

                        Как стыдно людям молодым
                        Так с нами поступать!
                        Когда ты девушкой любим,
                        При чем же тут кровать?

                        Не зная, что такое стыд,
                        Хотят лишь одного!..
                        Пускай Иисус его простит.
                        А мне не жаль его.

                        Вчера ты замуж звал меня,
                        Но говоришь теперь,
                        Что я сама, да-да, сама
                        И постучала в дверь.

                                   Король

     Давно она эдак?

                                   Офелия

     Надеюсь,  все  будет  хорошо. Надо только потерпеть. Но как не плакать,
когда  его  положат  в холодную землю? Мой брат Должен об этом узнать. Он об
этом  узнает. Спасибо вам за премудрость. Пойдем, моя карета. Покойной ночи,
леди. Покойной ночи, милые леди. Покойной ночи, покойной ночи.
                                  (уходит)

                                   Король

                    Последуйте за нею по пятам.
                    Прошу вас!..

                              Горацио выходит.

                                  Без сомненья, это яд
                    Ее печали. Смерть ее отца
                    Тому виной. Гертруда, о Гертруда,
                    Несчастья не приходят в одиночку,
                    Подобно нашим бдительным шпионам,
                    Но валят батальонами. Сначала
                    Убит ее отец. Потом твой сын
                    Покинул нас... Один свирепый автор
                    Тасует эту грязную колоду
                    Из помыслов и умыслов опасных.
                    Мы дали маху, тайно закопав
                    Добрейшего Полония. Теперь
                    Его бедняжка-дочь разлучена
                    Сама с собою и со здравым смыслом,
                    Без коего мы лишь изображенья
                    Живых людей, ну а по сути - звери.
                    И, наконец, - еще одна беда,
                    Она покруче прочих. Из Парижа
                    Лаэрт вернулся и не кажет носа,
                    Но бродит где-то рядом. Говорят,
                    Что он мрачнее тучи. Вкруг него
                    Зловредные роятся шептуны.
                    Боюсь, что мозг его уже отравлен
                    Рассказами о гибели отца.
                    Кто ничего и ни о чем не знает,
                    Сильнее прочих власти обличает.
                    Молва, как ядовитая змея,
                    Ползет из уст в уста, из уха в ухо.
                    Гертруда, о Гертруда, это все
                    Весьма похоже на разрыв картечи...
                    Десятки ран, и каждая смертельна.
                              (шум за сценой)

                                  Королева

                    Что там за шум?

                                   Король

                                     Куда швейцарцы делись?
                    Держите двери!..

                              Вбегает Горацио.

                                  Горацио

                    Милорд, спасайтесь! Даже океан,
                    Когда из берегов своих выходит,
                    С такою скоростью не пожирает
                    Равнину, как Лаэрт с его толпой
                    Сминает вашу стражу. Эта чернь
                    Его провозгласила государем,
                    Как будто мир едва лишь народился,
                    И нет устоев, и забыт обычай,
                    И не для них написаны законы.
                    Они кричат "Лаэрта - в короли!",
                    "Лаэрт - король!" и прочее. Их шапки,
                    Их языки и руки - даже выше,
                    Чем облака... "Мы изберем Лаэрта!",
                    "Наш государь - Лаэрт!"

                                  Королева

                                             Какое рвенье!
                    Унюхали втихую ложный след
                    Псы датские и начали брехать.
                    Ату! Вы взяли сторону не ту!
                              (шум за сценой)

                                   Король

                    Они взломали дверь.

                       Входит Лаэрт, за ним датчане.

                                   Лаэрт

                    Ну, где этот король? Вы, господа,
                    Останьтесь там.

                                  Датчане

                                    Нет! Нет! Идти, так вместе.

                                   Лаэрт

                    Я умоляю вас: позвольте мне!

                                  Датчане

                    Как знаете...

                                   Лаэрт

                    Благодарю вас. Охраняйте дверь.
                    Ты, гнусь и негодяй, отца отдай!

                                  Королева

                    Спокойнее, Лаэрт!

                                   Лаэрт

                                       Когда в себе
                    Я отыщу всего одну лишь каплю
                    Спокойствия, пусть кровь моя объявит
                    Лаэрта выблядком, его отца -
                    Первейшим рогоносцем, и пускай
                    На незапятнанном челе моей
                    Усопшей матери - между бровей,
                    Вот прямо здесь! - клеймо проступит
                    Дешевой шлюхи...

                                   Король

                                     Ну и в чем причина,
                    Лаэрт, что этот твой мятеж похож
                    На обреченный заговор титанов?
                    Молчишь?.. Гертруда, дай ему пройти.
                    За нас не бойся. Благодать короны
                    Столь безгранична, что измена может
                    Лишь только мельком цель свою узреть,
                    На большее ее уже не хватит.
                    Так чем же ты взволнован? Отпусти
                    Его, Гертруда. Говори, Лаэрт.

                                   Лаэрт

                    Где мой отец?

                                   Король

                                  Он умер.

                                  Королева

                                             Но его
                    Убил не он!

                                   Король

                                 Пусть задает вопросы.

                                   Лаэрт

                    Он умер?.. Да?.. А как?.. Я не позволю
                    Меня морочить! К черту долг и верность
                    Монарху, к черным дьяволам - присягу,
                    А совесть вместе с вашей благодатью -
                    В геенну огненную! И плевать
                    На душу! Я открыто заявляю,
                    Что ни во что не ставлю этот мир,
                    А равно и загробный. Будь что будет,
                    Но за отца я отомщу достойно.

                                   Король

                    И что ж тебя остановить способно?

                                   Лаэрт

                    Одна лишь только воля. Но моя,
                    А не вселенская. И чтоб вы знали, -
                    Я собираюсь действовать столь ловко,
                    Что даже при моих стесненных средствах
                    Дела пойдут. И очень далеко.

                                   Король

                    Мой дорогой Лаэрт! Когда и впрямь
                    Ты хочешь знать всю правду, неужели
                    Я должен буду убедить себя,
                    Что мщение твое повелевает
                    Крушить и друга, и врага?

                                   Лаэрт

                                                 Чего?
                    Я должен отомстить врагам, и только.

                                   Король

                    И вы хотите знать их имена?

                                   Лаэрт

                    Его друзьям я распахну объятья
                    И напою, подобно пеликану,
                    Своею кровью.

                                   Король

                                    Вот теперь, Лаэрт,
                    Ты с нами говоришь как добрый сын
                    И добрый дворянин. Поверь, что я
                    Нисколько не виновен в этой смерти
                    И возмущен не менее тебя.
                    Со временем ты это осознаешь,
                    Поскольку это слишком очевидно.

                                  Датчане
                                (за сценой)

                    Пускай она войдет.

                                   Лаэрт

                    Чего там расшумелись?

                               Входит Офелия.

                    О жар отмщенья! Иссуши мой мозг
                    И семикратно слезы посоли,
                    И выжги опостылевшее зренье!
                    Сестренка, за безумие твое
                    Я брошу на весы такую цену,
                    Что стрелка отшатнется и зашкалит.
                    Бутон волшебный, добрая моя
                    Офелия, сестра моя невеста!..
                    О Небеса! Ну как вы допустили,
                    Чтоб этот юный и прекрасный разум
                    Был столь же смертен, как последний старец?
                    Венец природы - женская любовь,
                    И если женщина и впрямь прекрасна, -
                    Природа дарит ей свои плоды,
                    Одаривая самое себя.

                                   Офелия
                                   (поет)

                    Несли его с лицом открытым,
                    Хэй, нон-нонни, хэй, нон-нони...
                    И слезы капали при этом,
                    Хэй, нон-нонни, хэй, нон-нони...

     Прощай, мой голубь!

                                   Лаэрт

     Когда  б  ты  была в своем уме и взывала к отмщению, ты не сделала бы и
половины сделанного тобой.

                                   Офелия
                               (поет Лаэрту)

                    Ты должен петь все ниже, ниже...
                    И звать его все ниже, ниже...
                    Веретено жужжит, жужжит,
                    А дочь с привратником сбежит.

                                   Лаэрт

     Это больше, чем смысл.

                                   Офелия

     Вот розмарин. Это на память. Прошу тебя, любимый, - не забывай. А это -
анютины глазки, чтобы ты смотрел и думал.

                                   Лаэрт

     Мудрость - в безумии. Безумие - это жизнь в собственной памяти.

                                   Офелия
                                  (королю)

     Для вас укроп и водосбор...
                                 (королеве)
     Для  вас  рута. И для меня. Ее зовут воскресной благодатной травкой. О,
вы  должны  знать,  как ее носить. Это маргаритка. Я бы еще дала вам фиалок,
но, когда умер мой отец, они увяли. Говорят, у него была легкая смерть.
                                   (поет)

                    Славный Робин, мой малыш, -
                    Вся радость моя.

                                   Лаэрт

                    И даже из пучины преисподней
                    Она способна красоту творить!

                                   Офелия
                                   (поет)

                    Неужели не вернется он?
                    Неужели не вернется он?
                    Нет, он умер, умирай и ты,
                    Потому что не вернется он.

                    Борода его, как снег бела.
                    Волосы его, что чистый лен.
                    Умер он и не вернется он,
                    Плачем мы о том, что умер он.

     Да  помилует  Господь  душу  его и души всех христиан. Только об этом и
молю. Господь с вами!
                         (Уходит, за ней Горацио.)

                                   Лаэрт

                    Господь, ты это видел?

                                   Король

                    Лаэрт, я должен с вами разделить
                    Большое ваше горе. Или вы
                    Хотите отказать мне в этом праве?
                    Ступайте и поговорите с каждым,
                    С кем вы сочтете нужным говорить.
                    Из самых мудрых и достойных самых
                    Вы сами изберете судей, пусть
                    Они рассудят между мной и вами.
                    И ежели вину мою докажут,
                    Я вам, Лаэрт, вручу мою корону,
                    Мою державу, жизнь мою и честь,
                    И все, что я своим назвать способен.
                    Но если нет, - терпеньем одолжите,
                    И мы тогда потрудимся совместно,
                    Чтоб вам вернуть покой.

                                   Лаэрт

                                          Пусть даже так.
                    Но как вы объясните мне причину
                    Отцовской смерти? Похороны эти
                    Столь тайные, отсутствие доспехов,
                    Меча, а также нашего герба
                    И почестей, и пышных церемоний?
                    Все вопиет о том, что я обязан
                    Расследовать содеянное.

                                   Король

                                             Вот!
                    Вы так и поступите. И отныне
                    Там, где открыто будет преступленье,
                    Падет топор могучий палача.
                    Теперь прошу последовать за мной.
                                 (Уходят.)

                   Видимо, на этом месте была интермедия:
 Офелия шла к старой иве, а сзади шел тот, кого король послал "следовать за
                    ней по пятам" {Ремарка моя - А.Ч.}.


                                  Сцена 2

                  Комната Горацио. Входят Горацио и слуга.

                                  Горацио

                    И кто же говорить со мною хочет?

                                   Слуга

                    Матросы, сэр. Они мне рассказали,
                    Что привезли вам почту.

                                  Горацио

                                             Пусть войдут.

                               Слуга выходит.

                    Не знаю, кто еще во всей Вселенной
                    Пришлет мне, кроме Гамлета, привет?..

                              Входят матросы.

                               Первый матрос

     Благослови вас Господь, сэр!

                                  Горацио

     Равно как и вас.

                               Первый матрос

     Он  так  и сделает сэр. Конечно, если того захочет. Тут письмо для вас,
сэр,  от  посла,  уехавшего в Англию. Когда вы и правда тот самый Горацио, о
котором он мне столько рассказывал.

                                  Горацио
                                  (читает)

     "Горацио,  как  прочтешь, проводи этих ребят к королю. У них письма для
него.  На второй день за нами погнался хорошо вооруженный пират. Мы уступали
в  скорости,  и  поневоле  пришлось  стать  храбрецами.  Когда  сцепились, я
перескочил  на  их  борт. В тот миг они отвалили, и я оказался их пленником.
Для  душегубов они даже слишком великодушны. Теперь я их должник. Организуй,
чтобы  король  получил  мои  письма.  И  поспеши ко мне так, точно бежишь от
смерти.  Я  шепну  тебе  на  ухо такое, от чего ты онемеешь. Дело это такого
калибра,  что  любые  слова легковесны. Розенкранц и Гильденстерн продолжают
путь  в  Англию.  О  них я должен тебе многое рассказать. Твой, как это тебе
известно, Гамлет".

                    Пойдемте, сэр, и я устрою так,
                    Что почта попадет по назначенью.
                    От вас же требуется проводить
                    Меня к тому, кто это написал.
                                 (Уходят.)


                                  Сцена 3

                   Комната короля. Входят король и Лаэрт.

                                   Король

                    Теперь, я полагаю, ваша совесть
                    Удостоверит искренность мою.
                    Как друг войду я прямо в сердце ваше,
                    Ведь услыхали вы разумным слухом,
                    Что тот, кто вашего убил отца,
                    Уже ко мне подкрадывается...

                                   Лаэрт

                    Я думаю, вы говорите правду.
                    Но если так, ответьте, отчего
                    Его под стражу вы не заключили?
                    Ареста требовали здравый смысл
                    И безопасность, ну и вообще...

                                   Король

                    Тут сразу две особые причины,
                    И обе для меня весьма весомы.
                    Во-первых, королева - это мать,
                    И тем жива... Я ж, к моему несчастью,
                    А, может, к счастью, - так привязан к ней,
                    Как звезды в небесах к небесным сферам,
                    И каждое движение мое
                    Зависит от ее расположенья.
                    Но есть еще причина, почему
                    Мне невозможно действовать открыто,
                    А именно - любовь простого люда
                    К племяннику. Все подлое сословье
                    В восторге от него. В его пороках
                    Они достоинства подозревают.
                    Так, побывав на дне, дубовый ствол
                    Окаменеет даже крепче камня.
                    Простыми стрелами его не взять...
                    Отскочат - и вернутся!..

                                   Лаэрт

                                            В результате
                    Я потерял отца, да и сестру,
                    Которая умом и совершенством
                    Была вершиной нашего столетья.
                    Я отомщу за это...

                                   Король

                                         Успокойтесь.
                    Живите так, как вы себе привыкли.
                    Не думайте, что мы подобны тряпке.
                    Трясти от страха потной бородой -
                    Сомнительное времяпровожденье.
                    Я все уже устроил. Очень скоро
                    Все все узнают... Я всегда любил
                    И вашего отца, и самого
                    Себя. И потому надеюсь,
                    Что вы оставите свои сомненья.

                             Входит придворный.

                    В чем дело!.. Что случилось?..

                                 Придворный

                                              Два письма
                    От Гамлета. Вот - вам. Вот - королеве.

                                   Король

                    От Гамлета?.. Да кто же их доставил?..

                                 Придворный

                    Матросы, сэр. Я, впрочем, их не видел,
                    Но Клавдио мне доложил о них,
                    Он с ними и общался.

                                   Король

                                            Вот, Лаэрт,
                    Послушайте и вы...
                               (придворному)
                                        Оставьте нас!

                     Придворный уходит. Король читает:

     "Благородный  и  могущественный!  Узнайте, что меня высадили нагишом на
берег Вашего королевства. Завтра я буду просить милости предстать пред Вами.
Тогда,  предварительно  испросив  на  то  Вашего  согласия,  я  поведаю  Вам
обстоятельства моего возвращения, столь странного и внезапного. Гамлет".

                    Как это понимать?.. А где другие?..
                    Здесь есть обман...

                                   Лаэрт

                                         Вы узнаете руку?

                                   Король

                    Он, точно он... Что значит "нагишом"?..
                    А, тут еще приписка... "Я один
                    На диком берегу"... Ну как, поверим?...
                    Что вы мне посоветуете?

                                   Лаэрт


                    Не знаю, что и думать. Но пускай
                    Приедет. Мое сердце согревает
                    Возможность заглянуть ему в глаза,
                    Сказав: "Я делаю, что сделал ты!"
                    (делает выпад воображаемой рапирой)

                                   Король

                    Я сам не понимаю, что случилось.
                    И все-таки оно произошло.
                    А если так, могу ли я на вас
                    Рассчитывать?

                                   Лаэрт

                                   О да, милорд, всецело.
                    Но ежели не станете мирить.

                                   Король

                    Я примирю тебя с самим собой.
                    Пускай, из путешествия вернувшись,
                    Не пожелает он обратно ехать,
                    Ну что ж, я предложу ему такое,
                    Что, может быть, и оставляет выбор,
                    Но выбери - и все равно погибнешь.
                    Я все уже обдумал. Даже мать
                    Одобрит нас... Ну да, несчастный случай...
                    Увы, со всяким может приключиться...
                    За что же нас с тобою проклинать?
                    Не так ли?

                                   Лаэрт

                                Вот теперь, милорд, я с вами.
                    Тем более, что вы меня избрали
                    Своим орудием.

                                   Король

                                    Ну и прекрасно!
                    С тех пор, как вы изволили уехать,
                    Все разговоры в Дании - о вас.
                    И Гамлет принимает в них участье.
                    Вся совокупность личных ваших качеств
                    Не возбуждает в нем такую зависть,
                    Как лишь одно уменье ваше... Впрочем,
                    Оно не кажется мне самым главным...

                                   Лаэрт

                    Милорд, о чем вы?

                                   Король

                                       Это вроде ленты
                    На шляпе молодого человека.
                    Пустяк, но не без пользы, ибо юность
                    На легкомыслие имеет право,
                    Как зрелость, облекаясь в соболя,
                    Имеет право думать о болячках
                    И о своем достоинстве, конечно.
                    Два месяца тому назад у нас
                    Гостил один нормандский дворянин.
                    Я знал французов, даже дрался с ними,
                    И не на поединках - на войне.
                    Скажу вам, что в седле они неплохи,
                    Но этот щеголь, он в коня врастал
                    И с ним выделывал такие штуки,
                    Что здесь, как пить дать, пахло чародейством.
                    Я был в восторге!.. Он превосходил
                    Все, что вообразить возможно, даже
                    Мое умение менять обличья
                    И расставлять ловушки...

                                   Лаэрт

                                             Он нормандец?

                                   Король

                    Нормандец.

                                   Лаэрт

                                И зовут его Ламор.

                                   Король

                    Вот именно.

                                   Лаэрт

                                  Я с ним накоротке.
                    Он - гордость Франции.

                                   Король

                                           Он говорил
                    О вас и ваше восхвалял искусство.
                    Особенно - владение рапирой.
                    Он даже предложил мне подыскать
                    Достойного соперника, устроив
                    Вам испытание. Еще он клялся,
                    Что фехтовальщики его народа
                    В стремительности правильных атак
                    И в технике защиты уступают
                    Опять же только вам. Сэр, я приметил,
                    Как Гамлет, этот слушая рассказ,
                    Так иззавидовался, ну, как будто
                    Его змея какая укусила.
                    Он все свои занятия забросил,
                    И умолял меня, чтоб я послал
                    За вами...

                                   Лаэрт

                                 Ну и что с того?

                                   Король

                    Лаэрт, ответьте, только откровенно:
                    Вам дорог ваш отец? А то, быть может,
                    Как на портрете, вы намалевали
                    Печаль, но облик есть, а сердца нет?

                                   Лаэрт

                    Да как посмели вы спросить об этом?

                                   Король

                    Нет, вы меня не поняли. Я знаю,
                    Что вы любили вашего отца.
                    Но время наши чувства охлаждает.
                    Есть множество примеров, говорящих
                    О том, что жар любви не бесконечен:
                    Нагар на фитильке уменьшит пламя -
                    Огонь погаснет, искры улетят.
                    Нет ничего, что пребывает вечно
                    В своей же силе, ибо даже благо
                    Однажды пресыщается собою
                    И от избытка веса погибает.
                    Что делаешь, то делай - и пока
                    Ты сам не расхотел. Иначе - поздно.
                    Захватанный случайными руками,
                    Глагол "хочу" становится насмешкой
                    Долженствования, и так похож
                    На вопли расточителя!.. Ну ладно...
                    Вернемся к нашим бедам. Если завтра
                    Он явится, что вы готовы сделать,
                    Чтоб все увидели: о да, Лаэрт -
                    Сын своего отца?

                                   Лаэрт

                                      Пред алтарем
                    Ему готов я перерезать глотку.

                                   Король

                    Ну да, я понимаю вас, нельзя
                    Предоставлять убежище убийству,
                    Тем более - отца. Да и у мести
                    Не может быть обыденных границ...
                    Но, добрый мой Лаэрт, когда и вправду
                    Такие мысли вас обуревают,
                    Прошу вас: лучше уж сидите дома.
                    Приехав, он узнает, что вы здесь,
                    Тут мы своих людей и подошлем...
                    Расхваливая ваши совершенства,
                    Они вдвойне умножат вашу славу,
                    Которую и создал тот француз.
                    Потом мы вас сведем и уж тогда
                    Побьемся об заклад. Я знаю: он
                    По молодости и великодушью
                    Не станет сравнивать рапиры ваши...
                    А дальше - небольшая ловкость рук,
                    И вы возьмете ту, что с острым жалом.
                    Вот, собственно, и все.

                                   Лаэрт

                                          Отменный план.
                    Но чтобы он наверняка сработал,
                    Мы трепетное жало смажем ядом.
                    Его у знахарки я приобрел
                    По случаю. Старуха поклялась,
                    Что даже зелье из целебных трав,
                    Какие собирают в полнолунье,
                    Бессильно против этого состава:
                    Достаточно царапины - и только.
                    Я острие рапиры опущу
                    В заветный пузырек. Одним укусом
                    Покончим с этим...

                                   Король

                                       Да, но мы еще
                    Семь раз обдумаем, обсудим, взвесим.
                    Мы не имеем права на ошибку,
                    Поскольку если это станет явным,
                    Тогда не стоит даже и пытаться.
                    Наш замысел должны мы укрепить
                    Другим, ему подобным. Если первый
                    Провалится, пусть выручит второй.
                    Постойте. Дайте же и мне подумать.
                    Нашел!.. Когда во время поединка
                    Вам станет жарко, действуйте смелее,
                    Чтоб стало еще жарче. И как только
                    Он пожелает горло промочить,
                    Прикажем поднести ему вина.
                    И ежели железная гадюка
                    Промажет, - бестелесную подпустим...
                    Едва пригубит кубок - и готов.
                    Что там за шум?

                              Входит королева.

                                    Ах, это ты, Гертруда...

                                  Королева

                    Одна беда другую привела.
                    Увы, Лаэрт, была у вас сестра,
                    Однако утонула.

                                   Лаэрт

                                     Утонула?..

                                  Королева

                    Вы помните поваленную иву,
                    Которая полощет над ручьем
                    Свою листву?.. Офелия туда
                    Пришла в венке - в нем были маргаритки,
                    Яснотка да кукушкин горицвет,
                    И длинные мясистые цветы -
                    Да вы их знаете! - простолюдины
                    Зовут их коротко и непристойно,
                    А девушки - "перстами мертвецов"
                    И дремликом... Едва взошла на ствол,
                    Желая и его венком украсить,
                    Завистливый сучок и подломился.
                    В цветах она упала в тот поток,
                    Плескалась, будто в нем и рождена
                    Русалкою, беды не сознавала,
                    И все-то пела песенки свои...
                    Но долго это длиться не могло:
                    Намокло платьице, отяжелело,
                    И захлебнулся тот напев прозрачный
                    В объятьях мутной смерти.

                                   Лаэрт

                                               Утонула?..

                                  Королева

                    Вот то-то и оно, что утонула.

                                   Лаэрт

                    И без того тебе воды хватило.
                    Офелия, сестра, я не заплачу...
                    И все же... как же трудно... удержаться...
                    Природа соблюдает свой обычай,
                    Чтобы стыдились мы своих деяний...
                    Ну, значит, надо отрыдать свое
                    И перестать быть бабою. Милорд,
                    Я вынужден уйти. На языке
                    Готово вспыхнуть пламя обличений,
                    Но слезы эти глупые способны
                    Все загасить...

                                   Король

                                     Пойдем за ним, Гертруда.
                    Какого это стоило труда
                    Унять его мятежную натуру!..
                    Однако я боюсь, что смерть сестры
                    Опять разбудит гнев его и буйство.
                    Поэтому последуем за ним.
                                 (Уходят.)


                                  Сцена 4

                      Кладбище. Входят два могильщика.

                                   Первый

     Стоит ли хоронить по-христиански ту, что добровольно искала спасения?

                                   Второй

     Копай-копай. Следователь за тебя решил.

                                   Первый

     Это незаконно. Нужно, чтобы она утопилась при самозащите.

                                   Второй

     Да уж следователь-то лучше знает.

                                   Первый

     Самонападение  - вот как это называется. Если я топлюсь намеренно - это
деяние.  А  у  деяния  три  составляющих  - действовать, делать и совершать.
Следовательно, утопилась она злонамеренно... Ты заступом-то - полегче...

                                   Второй

     Эх, господин заступник закона...

                                   Первый

     Нет,  дай  сказать.  Вот  вода.  А  вот  стоит человек. Ну, ладно. Если
человек  идет к воде и топится, значит, он сам идет. Но если Не он к воде, а
вода  к нему, значит, он не утопился, но вовсе даже утоплен. Поэтому, кто не
виноват в своей смерти, тот не сокращал и своей жизни.

                                   Второй

     Это где же такой закон записан?

                                   Первый

     А вот там и записан, где следствие ведется по закону.

                                   Второй

     Хочешь правду? Не будь она дворянкой, не хоронили бы ее как христианку.

                                   Первый

     Что  верно,  то верно. Знатным все можно. Даже топиться и вешаться. А у
нас,  хоть  мы  тоже  христиане,  такого  права нет. Дай-ка твой заступ. Нет
дворян  древнее, чем копатели да могильщики. Только они продолжают профессию
Адама.

                                   Второй

     Ты чего, Адам не дворянин.

                                   Первый

     Он был первым, кто завел себе герб.

                                   Второй

     Да кто тебе сказал эту глупость?

                                   Первый

     Ну  ты  прямо язычник. В Писании сказано, что Адам землю обрабатывал. А
чем?  Руками.  А  какими?  А  какие  у дворян - за_герб_ущие. Куда ж ему без
герба?.. Я вот тебя про другое спрошу...

                                   Второй

     Валяй...

                                   Первый

     Кто строит крепче каменщика, корабельщика и плотника?

                                   Второй

     Тот, кто виселицы строит. Она всех своих жильцов переживет.

                                   Первый

     А  ты шутник. Виселица тут хорошо подходит. А почему? А потому, что она
подходит  каждому,  кто  дурно  поступает. И тебе тоже, раз ты считаешь, что
виселица крепче церкви. Ну, давай, еще попытайся...

                                   Второй

     Кто, значит, строит крепче плотника, каменщика и корабельщика?

                                   Первый

     Ну да, ответь и малость передохни с непривычки.

                                   Второй

     А вот возьму и отвечу!

                                   Первый

     Ну?

                                   Второй

     Вот привязался... Ну, не знаю.

                          Входят Гамлет и Горацио.

                                   Первый

     Дурень,  мозги свернешь. А когда другой раз спросят, отвечай могильщик.
Дома,  которые он строит, достоят до Страшного Суда. Ладно, сгоняй к Иогену,
принеси от него кувшинчик.

                          Второй могильщик уходит.

                           Первый копает и поет.

                          На юных днях любви моей
                          Считал я, что всего милей
                          Огонь в крови - ей-ей!
                          Огонь в крови - ей-ей!

                                   Гамлет

     Какое бесчувствие. Копает могилу - и поет.

                                  Горацио

     Привычка закалила его сердце.

                                   Гамлет

     Ты прав. Пока рука от работы не загрубеет, и сердце чувствительно.

                                   Первый
                                   (поет)

                          Но старость воровской
                          Клюкою подсечет,
                          И то, что нажито тобой,
                          Считай, уже не в счет.
                            (выбрасывает череп)

                                   Гамлет

     У  этого  черепа был язык. И он тоже мог петь. А этот плут швырнул его,
как ту самую челюсть, которой Каин совершил первое убийство. Подумай, может,
это была башка политика, и он самого Творца водил за нос...

                                  Горацио

     Весьма вероятно.

                                   Гамлет

     Или  придворного,  что каждое утро причитал: "Доброго вам утра, милорд,
как   ваше   здоровье,   милорд!.."   А  всего-то  и  хотел,  что  выпросить
приглянувшегося скакуна... Что, может такое быть?

                                  Горацио

     Может, милорд.

                                   Гамлет

     Разумеется,  может.  А теперь он совокупляется с миледи Червоточиной, и
заступ  могильщика  бьет  его по лбу. Какая метаморфоза!.. Жаль, мы не умеем
смотреть  сквозь  землю.  Неужели  стоило  отращивать кости, чтобы потом ими
играли в кегли? Лично мои - ломит от одной мысли об этом.

                                   Первый
                                   (поет)

                          И кирка, и заступ,
                          Заступ и кирка,
                          Ждут на новоселье
                          Бедняка и принца...
                         (выбрасывает второй череп)

                                   Гамлет

     Вот  еще  череп.  Сдается,  что  -  юриста. Где теперь его казуистика и
крючкотворство?  Или  толкования владельческих прав? Почему он терпит, когда
деревенщина разделывает его грязным заступом? Почему не укажет тому, что это
называется  Преступление  действием?  М-да... А ведь этот малый в свое время
мог   быть  земельным  скупщиком,  знатоком  закладов  и  найма,  векселей и
неустоек,  двойных  поручительств  и  возмещения убытков. Ну какие еще нужны
возмещения,    чтобы   исключительно   землей   возместить   пустоту   этого
исключительного  черепа?  А  где  былые  поручители?  Ах,  они  уже не могут
поручиться за землю, приобретенную в двойных сделках. Кроме вот этой, что не
больше  самой  купчей.  Да  одни даже акты о его собственности не влезли б в
этот ящик. Зачем это все, если и наследнику достанется такой же?

                                  Горацио

     Точно такой, милорд.

                                   Гамлет

     Пергамент выделывают из бараньих шкур?

                                  Горацио

     Из телячьих тоже.

                                   Гамлет

     Значит,  каждый  собственник  -  теленок  или  баран. Я расспрошу этого
малого. Эй, чья это могила?

                                   Первый

     Моя, сэр.
                                   (поет)
                          И кирка, и заступ,
                          Заступ и кирка...

                                   Гамлет

     Разумеется, твоя, раз ты в нее залез.

                                   Первый

     Вы не залезли, и, значит, она не ваша. А я полез, и все равно она моя.

                                   Гамлет

     Хватит врать. Ты сам полез, потому что ты в ней. И врешь, что она твоя.
Могила - для мертвых. Значит, ты врешь.

                                   Первый

     Вру. Но это живая ложь. Вот она опять на вас перескочила.

                                   Гамлет

     Для кого ты роешь?

                                   Первый

     Ну уж не для мужчины.

                                   Гамлет

     Так для какой женщины ты роешь?

                                   Первый

     И не для женщины.

                                   Гамлет

     Так для кого?

                                   Первый

     Не  кого,  а  чего. Оно было женщиной, милорд. Той, что - слава Богу! -
уже умерла.

                                   Гамлет

     Этот  малый  знает  свое  дело.  Его  перевертыши  обоюдоостры,  а иная
двусмыслица  способна проводить прямехонько на тот свет. Ей-богу, Горацио, в
последние  три  года  я  стал  замечать,  что  времена  обострились, и носок
крестьянина начинает натирать пятку дворянина... Давно ты могильщиком?

                                   Первый

     С того дня, как покойный король Гамлет убил старого Фортинбраса.

                                   Гамлет

     И когда это было?

                                   Первый

     А  то не знаете... Да каждый дурак знает. В тот день у него родился сын
Гамлет. Тот, которого теперь отправили в Англию.

                                   Гамлет

     Зачем же его отправили?

                                   Первый

     Не  зачем,  а  за  что.  За  то,  что  свихнулся. Ну, там-то ему мозги,
конечно, вправят. А нет - и так сойдет.

                                   Гамлет

     Почему же сойдет?


                                   Первый

     А там все сумасшедшие.

                                   Гамлет

     Как же он сошел с ума?

                                   Первый

     Да в том-то и дело, что очень необычно.

                                   Гамлет

     Необычно - это как?

                                   Первый

     А так, что обезумел.

                                   Гамлет

     На почве чего?

                                   Первый

     Известно  - чего... На почве Дании. Тридцать лет на нее работаю: был на
побегушках, а теперь вот и сам - мастер.

                                   Гамлет

     Сколько же в нашей почве надо пролежать, чтобы совсем сгнить?

                                   Первый

     Ну,  если  еще до смерти не сгнил... А то теперь многие и до погребения
не дотягивают... Лет восемь - это хорошо. А кожевник и девять осилит.

                                   Гамлет

     Это почему же кожевнику привилегия?

                                   Первый

     А чему тут удивляться? Он сам так задубел, что кожа воды не пропускает.
А  без воды даже самый паршивый труп гнить не хочет. Вот, глядите, череп. Он
в земле двадцать три года.

                                   Гамлет

     И чей он?

                                   Первый

     А... одного паршивого сумасшедшего. Может быть, желаете сами угадать?

                                   Гамлет

     Не желаю.

                                   Первый

     Сумасшедшего,  да  еще  и  плута, чума его забери. Однажды вылил мне на
макушку бутылку рейнского. Да, это череп Йорика, королевского шута.

                                   Гамлет

     Вот этот?

                                   Первый

     Именно, сэр.

                                   Гамлет

     А  ну-ка  дай!..  (Берет череп.) Бедняга Йорик! Я знал его, Горацио. Он
был  сочинитель,  фантазер  и  большой  шутник. Тысячу раз гарцевал я на его
плечах.  А  теперь меня мутит от одного только взгляда. Он целовал меня. Вот
тут  были  губы...  Где твои шутки, твои песенки и выходки? Где твой смех, в
один  миг  заражавший всех, кто собрался за трапезой? Ты что же, ни одной не
припас,  чтобы  самому посмеяться над собственным оскалом? Чего-то ты совсем
приуныл.  Так  ступай  в  будуар  знатной дамы и скажи, что ей не поможет ее
краска, пусть и толщиною в дюйм. Все равно станет такой, как ты. Ступай, эта
шутка ей понравится... Горацио, скажи мне одну вещь...

                                  Горацио

     Что вам сказать, милорд?

                                   Гамлет

     Великий Александр в земле стал таким же?

                                  Горацио

     Один в один.

                                   Гамлет

     И от него так же пахло? Брр!..
                               (кладет череп)

                                  Горацио

     Именно так, милорд.

                                   Гамлет

     Сколь  низкая  участь нам уготована! А ведь очень даже можно проследить
за всеми превращениями Александра, и окажется, что он - в бочке затычка.

                                  Горацио

     Да  нет  же,  сэр...  Рассматривать  дело  с этой точки зрения - значит
перегружать его вымыслом и ненужными подробностями.

                                   Гамлет

     Ничуть! Следуй вероятности: великий полководец умер, его похоронили, он
стал  прахом,  прах  - это земля да глина, из глины сделали обмазку, а часть
пошла на затычку пивной бочки.

                    Судьба не пощадила исполина:
                    При жизни - Цезарь, а по смерти - глина.
                    И чтоб спастись от сквозняка и стужи,
                    Жилище им обмазали снаружи.

            Входит священник, за ним несут гроб с телом Офелии.
                  Входят король, королева, Лаэрт и свита.

                    Но - тсс!.. Сюда пожаловал король...
                    Ого!.. И двор, и даже королева...
                    Кого это они хотят зарыть
                    По усеченному обряду?.. А?..
                    Никак сановного самоубийцу?
                    Давай-ка спрячемся да поглядим!

                                   Лаэрт

                    Еще обряды будут?

                                   Гамлет

                    Его зовут Лаэрт. Весьма учтивый
                    И благородный юноша...

                                   Лаэрт

                                            Еще
                    Обряды будут?

                                 Священник

                                    Все, что позволяет
                    Устав церковный, мы произвели.
                    Но эта смерть сомнительна. И если б
                    Не указанье свыше - то, что строже,
                    Чем даже и церковные каноны! -
                    Лежать бы ей в земле не освященной
                    До Страшного Суда. Взамен молитв
                    Покойную - ну точно б! - забросали
                    Каменьями да битою посудой...
                    А так - чего ж еще? - нам разрешили,
                    Ну как при отпевании девицы,
                    Гирляндами украсить Божий храм,
                    Позволили цветы бросать в могилу
                    И колокольный звон - не отменили!

                                   Лаэрт

                    Еще обряды будут?

                                 Священник

                                       Сожалею.
                    Мы только б осквернили панихиду,
                    Пропев заупокойные молитвы
                    И реквием, поскольку здесь нельзя
                    Просить упокоенья со святыми,
                    Как просим мы за всех, почивших с миром.
                    Таков порядок.

                                   Лаэрт

                                    Опустите гроб.
                    Не далее, чем будущей весною,
                    Вот здесь, где мы стоим, взойдут фиалки -
                    Земной залог невинности ее.
                    И помни, подлый поп, моя сестра
                    На небе станет ангелом, а ты,
                    Ты будешь выть в пучине ада!..

                                   Гамлет

                                                  Как...
                    Офелия!..

                                  Королева

                               Сладчайшее - сладчайшей.
                          (бросает цветы в могилу)
                    Прощай, я так тебя хотела видеть
                    Женою Гамлета... Я так мечтала
                    Их ложе брачное убрать цветами!
                    Ну что же... Уберу хотя б могилку...

                                   Лаэрт

                    Тройное горе... Тридцать бед треклятых
                    Пускай падут на голову того,
                    Чье злодеянье разум твой украло!
                    Нет, стойте!.. Я еще не приказал
                    Заваливать ее землей. Сестра,
                    Обнимемся еще раз!..
                             (прыгает в могилу)
                                          Вот теперь
                    Землей засыпьте и живых, и мертвых,
                    Чтоб вся эта низина вознеслась
                    До неба, да и превзошла собою
                    И Пелион, и синюю вершину
                    Олимпа!

                                   Гамлет
                             (выступает вперед)

                             Ну и чье же это горе
                    Столь громогласно?.. Дайте посмотреть,
                    Чья несравненная печаль способна
                    Не только зачаровывать зевак,
                    Но даже и блуждающие звезды?
                    Поджав хвосты, они застыли в небе...
                    Я здесь. Я - Гамлет Датский.
                             (прыгает в могилу)

                                   Лаэрт

                                              Пусть
                    Тобой займется дьявол!

                                   Гамлет

                                           Ты других
                    Молитв не знаешь? Отпусти мне горло...
                    Добром прошу... Я не гневлив, хотя
                    Советую меня остерегаться...
                    Прочь руки!

                                   Король

                                 Разнимите их!

                                  Королева

                                             Мой Гамлет!

                                    Все

                    Хо, господа!

                                  Горацио

                                  Милорд, остановитесь!

                    Дерущихся вытаскивают из могилы и разнимают.

                                   Гамлет

                    За это я готов сражаться с ним,
                    Пока мои глаза еще моргают.

                                  Королева

                    За что "за это"?

                                   Гамлет
                                  (Лаэрту)

                                      Я ее любил,
                    Так сильно, что и сорок тысяч братьев,
                    Таких, как ты, в одно соединив
                    Свою любовь, с моею не сравнятся.
                    Так ты готов?

                                   Король

                                    Лаэрт, он - сумасшедший.

                                  Королева

                    О, пощадите сына моего!

                                   Гамлет

                    Ну, покажи нам, что еще умеешь?
                    Рыдать? Сражаться? Может быть, поститься?
                    Терзать физиономию? Пить уксус,
                    Сушеным заедая крокодилом?
                    Я это все проделаю не хуже.
                    Ты для чего явился? Чтобы выть?
                    Чтоб вызов бросить или чтоб запрыгнуть
                    В ее могилу? Я могу и это.
                    Пусть нас с тобою заживо зароют,
                    И если надо горы городить,
                    Мильоны акров я поставлю дыбом,
                    Покуда наш курган свою макушку
                    Не опалит о пламенную сферу,
                    И рядом с ним заоблачная Осса
                    Не будет выглядеть обыкновенным
                    Прыщом... А если ты пришел болтать,
                    Так ведь и у меня язык подвешен.

                                  Королева

                    Такой же бред, как в комнате моей.
                    Припадок, но, по счастью, краткосрочный.
                    ...Вот-вот затихнет, аки голубица,
                    Смотрящая на птенчиков своих,
                    Едва проклюнувшихся...

                                   Гамлет

                                           Сэр, скажите,
                    За что вы так обходитесь со мной?
                    Я вас любил... Нет, это ни к чему...
                    Чего там Геркулес ни наворотит,
                    Собака будет лаять по-собачьи,
                    А кошка не разучится мяукать.
                                  (уходит)

                                   Король

                    Я должен вас, Горацио, просить
                    Хотя б немного присмотреть за принцем.

                    Горацио уходит. Король тихо Лаэрту:

                    Найдите мужество перетерпеть.
                    Да вспомните, о чем мы толковали
                    Вчерашней ночью. Ждать совсем недолго.
                                 (королеве)
                    И вы, моя дражайшая Гертруда,
                    Кого-нибудь пошлите присмотреть
                    За вашим сыном. Я вам обещаю,
                    Воздвигнуть памятник - и небывалый! -
                    Над этою могилой. Вот тогда
                    Мы с вами заживем, как прежде жили.
                    Ну а теперь - терпенье и терпенье.
                               (Все уходят.)


                                  Сцена 5

                   Зал в замке. Входят Гамлет и Горацио.

                                   Гамлет

                    На этом - все. Теперь о нашем деле.
                    Надеюсь, вы о нем не позабыли?

                                  Горацио

                    Тут позабудешь...

                                   Гамлет

                                       Я сидел в каюте
                    Безвылазно. Заснуть - и то не в силах.
                    А на душе тоска, ну точно я -
                    Бунтарь, уже закованный в железа.
                    И вдруг - решился... Ох уж это "вдруг"!..
                    Оно оказывает нам услугу,
                    Когда ко всем чертям летят расчеты
                    И рушатся намерения наши.
                    Из этого и следует, Горацио,
                    Что Провиденье действует само,
                    Когда мы не додумали чего-то.

                                  Горацио

                    Кто б сомневался...

                                   Гамлет

                    Сижу... И вдруг смотрю - матросский плащ!
                    Надел его и вышел из каюты,
                    И в темноте, практически на ощупь,
                    Прокрался в их каюту. Там стащил
                    Пакет с посланием - и наутек.
                    Страх поборол приличия. Я вскрыл
                    Пакет, достал послание, и что же
                    Читаю в нем?.. О, царственная низость!..
                    Аргументированно и подробно
                    Во имя благоденствия и дружбы
                    Короны этой и короны той,
                    Я выставлен - ты даже не поверишь! -
                    Таким чудовищем, что по прочтеньи
                    Предписывалось - сможешь угадать,
                    Что именно? - цитирую: "...не тратя
                    Минуты, чтобы наточить топор,
                    Снять голову с него"... Ну да, вот эту.

                                  Горацио

                    Да бросьте!

                                   Гамлет
                    (вынимает из кармана приказ короля)

                    Возьми и ознакомься на досуге.
                    А знаешь, что я дальше сделал?

                                  Горацио

                                                     Что?

                                   Гамлет

                    Я не успел подумать, как мой мозг
                    Стал сочинять другой приказ. И сразу
                    Я сел работать под его диктовку.
                    Как большинство сановников, когда-то
                    Я по ошибке полагал, что почерк
                    Не должен быть красивым - это низко.
                    Я даже попытался разучиться
                    Писать красиво... Ничего не вышло.
                    Вот в бурном море мне и пригодилось
                    Высокое искусство каллиграфа.
                    ...Сказать тебе, что я насочинял?

                                  Горацио

                    О, да, милорд!

                                   Гамлет

                    "Датчанин - Англичанину. Прошу
                    Ваше Величество, поскольку Вы -
                    Наш верный данник, и поскольку наша
                    Взаимная любовь должна процвесть,
                    Подобно ветви пальмовой, а также
                    Поскольку мир, который мы имели
                    Честь утвердить, и должен быть увенчан
                    Венком, сплетенным из пшеничных злаков,
                    А на письме равняться запятой
                    Меж дружескими чувствами обоих..."
                    И в том же духе, - столь же тошнотворно,
                    Сколь и торжественно... А под конец -
                    Ну, вроде как невинная приписка:
                    "Подателей сего без промедленья
                    И права исповеди - умертвить".

                                  Горацио

                    Как было запечатано посланье?

                                   Гамлет

                    И с этим тоже повезло: при мне
                    Был перстень моего отца. На нем -
                    Печатка. Но печатка не простая,
                    А слепок с государственной печати.
                    Не долго думая, подделал подпись,
                    Сложил письмо, как было до меня,
                    Печать оттиснул и благополучно
                    Вернул пакет, ну и к себе вернулся.
                    Никто не заподозрил ничего.
                    А поутру Господь послал пиратов...
                    Дальнейшее ты знаешь.

                                  Горацио

                                           Это значит,
                    Что Розенкранц и Гильденстерн спешат
                    К своей же гибели?

                                   Гамлет

                                        И что с того?
                    Они нашли занятие по вкусу
                    И этим сами смерть себе избрали.
                    Их кровь - она на них, а не на мне.
                    Ничтожество должно блюсти приличья,
                    А не соваться меж двумя клинками,
                    Когда противники дерутся насмерть.

                                  Горацио

                    Однако ничего себе король!..

                                   Гамлет

                    А как ты думаешь, я что, не должен
                    Воздать тому, кто Данию лишил
                    Законного властителя, тому,
                    Кто мать мою растлил и встал меж мною
                    И троном, кто раскинул паутину,
                    Чтобы поймать меня и умертвить?
                    И что ж, его коварство не достойно
                    Единого рывка моей руки?
                    И разве я не буду проклят, если
                    Позволю этой язве расползаться?
                    Что ты на это скажешь?

                                  Горацио

                                            Очень скоро
                    Он кое-что из Англии получит...

                                   Гамлет

                    Да, скоро. Но оставшееся время -
                    Мое. Подчас достаточно и мига,
                    Чтобы отнять у человека жизнь.
                    А вот о чем действительно жалею...
                    И ты, Горацио, меня поймешь...
                    Не должен был я обижать Лаэрта.
                    Забылся... А ведь горе у меня
                    И у него - одно и то же горе.
                    Не знаю как, а постараться надо
                    Его расположить... Но ты же видел,
                    Как он кичился собственной бедой...
                    Я в бешенство пришел...

                                  Горацио

                    Тсс! (Громко.) Это кто же к нам идет?

                               Входит Озрик.

                                   Озрик

     Позвольте поздравить вашу милость с возвращением в Данию.

                                   Гамлет

     Покорно вас благодарю, сэр. (К Горацио.) Знаком ты с этой букашкой?

                                  Горацио

     Бог миловал.

                                   Гамлет

     Твое  счастье.  Знакомство  с  ним - уже род недуга. Он землевладелец и
животное.  А когда животное правит животными, кормушку ставят на королевский
стол.  Букашка - птица глупая, но земли, ей принадлежащие, и впрямь велики и
обильны.

                                   Озрик

     Мой  сладкий  принц, если ваша милость располагает временем, я осмелюсь
нечто сообщить вам по поручению Его Величества.

                                   Гамлет

     Я  вас  внимательно слушаю, только наденьте ваш колпак на то место, для
которого его скроили.

                                   Озрик

     Покорнейше благодарю, но очень жарко.

                                   Гамлет

     Да нет же, очень холодно, ветер с севера.

                                   Озрик

     Вы правы, милорд. По большому счету - холодно.

                                   Гамлет

     И при этом мне при моей комплекции - душно.

                                   Озрик

     В  широком  смысле - исключительно душно. И слов нет, как жарко. Тем не
менее  Его  Величество  хочет  вам  сообщить,  что  поставили на вашу победу
большой заклад. Видите ли, милорд, дело в том...

                                   Гамлет

     Я же вас датским языком просил...
                      (напяливает на Озрика его шляпу)

                                   Озрик

     Еще  раз  благодарю,  но,  честное  слово, мне без нее удобнее. Сэр, ко
двору  прибыл  Лаэрт.  Поверьте,  он  совершенный джентльмен. Внутренние его
качества  превосходны,  внешность  великолепна,  манеры  исключительны.  Это
образец  изящества, и для любого джентльмена - настоящая коллекция достойных
достоинств.

                                   Гамлет

     Сэр,  его качества не меркнут даже в вашем переводе. Составление полной
инвентарной   описи   не   под   силу   арифметике   человеческой  души.  Мы
переваливаемся  с  борта  на  борт,  а  он  летит  на всех парусах. Воздавая
достойному  достойную хвалу, не могу не отметить, что у него большая душа, и
что  качества  ее  столь  же  драгоценны,  сколь и редки. Равный ему - будет
только его зеркалом, а подражатель - не более, чем осколком оного.

                                   Озрик

     Слог вашей милости безупречен.

                                   Гамлет

     Но  совершенно бессмыслен. Зачем с нечистыми зубами дышать в лицо этому
джентльмену?

                                   Озрик

     Сэр...

                                  Горацио

     Вы можете изъясняться по-человечески?

                                   Гамлет

     Что вы хотели сказать, вспомнив этого джентльмена?

                                   Озрик

     Лаэрта?

                                  Горацио

     Его кошелек пуст: золото слов он уже спустил.

                                   Гамлет

     Именно Лаэрта.

                                   Озрик

     Я знаю, что вы знаете...

                                   Гамлет

     Я-то  знаю.  И хотел бы хотеть, чтобы знали вы. Но если б вы знали, это
не пошло бы мне на пользу. Так что же?..

                                   Озрик

     Вам небезызвестно совершенство Лаэрта.

                                   Гамлет

     Ничего  не  могу  сказать  об  этом. Я не мерялся с ним носами. А чтобы
оценить другого, надо сначала изучить себя.

                                   Озрик

     Я  говорю,  сэр,  о  его владении оружием. Все знают, что в этом деле у
него соперников нет.

                                   Гамлет

     Чем же он предпочитает владеть?

                                   Озрик

     Рапирой и кинжалом.

                                   Гамлет

     Это очень разные виды оружия. Но допустим.

                                   Озрик

     Король,  сэр, поставил шесть берберийских коней, а Лаэрт, как я слышал,
шесть  французских  рапир  и  шесть кинжалов со всеми их принадлежностями, а
именно  поясами,  портупеями  и прочими аксессуарами. Если мерить парами, то
это  три набора. И все три потрясающие: и клинки, и рукояти, и накинжальники
с нарапирниками - все гармонично.

                                   Гамлет

     Что такое нарапирники и накинжальники?

                                  Горацио

     Я ждал, что вы станете придираться и комментировать каждое слово.

                                   Озрик

     Нарапирники  и накинжальники - это, сэр, вложилище, сиречь держало. Оно
для клинка - то же, что лафет для мортиры.

                                   Гамлет

     Но  мы  не  носим  мортир  у чресел. Так что сие вложилище впредь будем
звать ножнами. Одного не понимаю: целая шестерка африканских скакунов против
шести  французских  рапиришек  и  горстки  побрякушек?  Это что, равноценный
заклад? И на что все это, как вы изъясняетесь, "заложено"?

                                   Озрик

     Король, сэр, бился об заклад, что в двенадцати атаках Лаэрт не опередит
вас  даже  на  три  удара.  Лаэрт  с  ним  не  согласился. Если ваша милость
соизволит, то удостовериться, кто прав, можно прямо сейчас.

                                   Гамлет

     А если не соизволит?

                                   Озрик

     Я  имел  в  виду,  милорд, что вы соизволите дать согласие на участие в
поединке.

                                   Гамлет

     Сэр,  я  продолжаю здесь свою прогулку. Это мой досуг. Если у короля не
будет  желания  приказать  мне что-либо другое, пусть несут рапиры. И если у
этого  джентльмена не пропала охота драться, король получит и свои рапиры, и
свои кинжалы. Если сумею, - одолею. Или сполна сам получу.

                                   Озрик

     Так и передать?

                                   Гамлет

     Рад вам служить.

                               Озрик уходит.

     Большая  удача,  что  он  сам способен за себя поручиться. Другие бы не
рискнули.

                                  Горацио

     Летит, как чибисенок, со скорлупкой на темечке.

                                   Гамлет

     Каково  гнездо,  таков  и  птенчик.  Он  сюсюкал с соском своей матери,
прежде  чем  в  него  впиться.  В наш ничтожный век он и ему подобные весьма
успешны.  У  них абсолютный слух на все внешнее и популярное. Они - пена, на
пене и всплывают. Но стоит дунуть - полетят пузырями.

                             Входит придворный.

                                 Придворный

     Милорд,  Его Величество присылал к вам молодого Озрика, который сообщил
Его  Величеству,  что  вы ожидаете здесь, в зале. Его Величество послал меня
узнать,  не изменились ли ваши намерения выйти на состязание, или вам угодно
отложить поединок?

                                   Гамлет

     Я  не меняю своих намерений. И в данном случае они совпадают с желанием
короля.  Если  король  готов  - я тем более. Здесь и сейчас, или когда и где
угодно.

                                 Придворный

     Король, королева и прочие вот-вот сюда спустятся.

                                   Гамлет

     Да на здоровье.

                                 Придворный

     Королева желает, чтобы до поединка вы сделали Лаэрту комплимент.

                                   Гамлет

     Это хороший совет.

                             Придворный уходит.

                                  Горацио

     Милорд, вы проиграете заклад.

                                   Гамлет

     Я  так не думаю. С тех пор, как Лаэрт уехал во Францию, я практиковался
ежедневно.  Если у меня будет фора, поединок за мной. Но ты и представить не
можешь, как тяжело у меня на душе. Впрочем, это пустяки.

                                  Горацио

     Никакие это не пустяки, милорд.

                                   Гамлет

     Да глупость это. Предчувствие должно пугать женщин.

                                  Горацио

     Если ваша душа против, прислушайтесь к ее голосу. Я скажу им, чтобы они
поворачивали восвояси. Сегодня фехтовать вы не будете.

                                   Гамлет

     Буду.   Ведь  мы  с  тобой  презираем  суеверия.  Даже  гибель  воробья
предопределена  Промыслом.  Если  это  случится  сейчас, это не грозит мне в
будущем.  Если  этого  в  будущем  не  случится, значит, оно может произойти
сейчас.  Или  сейчас,  или  когда-нибудь.  Главное  - готовность. Если никто
ничего  не  заберет  с собой из этого мира, почему бы раньше не расстаться с
этим самым ничего? Будь что будет.

  Барабаны и трубы. Слуги вносят стол, а также рапиры и латные рукавицы на
          подушках. Входят король, королева, Лаэрт, Озрик, свита.

                                   Король

                    Теперь соедините ваши руки.
                     (соединяет руки Лаэрта и Гамлета)

                                   Гамлет
                                  (Лаэрту)

                    Я сожалею сэр, что стал причиной
                    Страданий ваших и обиды вашей.
                    Простите мне как джентльмен, ведь я
                    В себе не властен, это вам известно.
                    То, что так сильно оскорбило вас
                    И запятнало вашу честь - всего лишь
                    Проклятое безумие мое,
                    Ваш враг не Гамлет, но его болезнь.
                    Я не могу отречься от болезни,
                    Но отрекаюсь от ее деяний
                    И заверяю всех, кто здесь собрался,
                    Что никакого зла не умышлял.
                    Простите мне вину мою, как если б
                    Я выпустил стрелу над крышей дома
                    И ею ранил собственного брата.

                                   Лаэрт

                    По-человечески я вам прощаю,
                    Хотя душа и требует возмездья,
                    Но дело чести выше всех других,
                    И примирение здесь невозможно.
                    По крайней мере знающие люди
                    В истории еще не отыскали
                    Другой пример такого примиренья.
                    Все оскорбления смывались кровью.
                    Но ваше братское расположенье
                    Я принимаю и не заподозрю
                    Его ни в чем.

                                   Гамлет

                                   Приветствую ваш выбор
                    И выхожу на братский поединок
                    С открытым сердцем. Дайте нам рапиры,
                    И мы начнем.

                                   Лаэрт

                                  Одну рапиру мне.

                                   Гамлет

                    Нужна и мне всего одна рапира
                    Во имя пира вашего искусства.
                    Блистательное мастерство Лаэрта
                    Немеркнущей звездой взойдет на фоне
                    Стараний ученических моих.

                                   Лаэрт

                    Сэр, надо мною вы смеетесь?

                                   Гамлет

                                                Нет,
                    Клянусь клинком.

                                   Король

                                     Подай рапиры, Озрик.
                    Племянник, вам известно о закладе?

                                   Гамлет

                    Известно, дядя, только то, что вы
                    Поставили на слабого.

                                   Король

                                          Пустое.
                    Я видел, как фехтуете вы оба,
                    Хотя, конечно, не в пример тебе,
                    Лаэрт не прекращал своих занятий...
                    Но фора в твою пользу.

                                   Лаэрт

                                           Что-то слишком
                    Тяжелая... Попробуем другую.

                                   Гамлет

                    А мне так по руке. Они, надеюсь,
                    Одной длины?

                                   Озрик

                                  Проверено, милорд.

                                   Король

                    Вино поставьте вот на этот стол.
                    И если первым атакует Гамлет,
                    Или вторым, или сквитаться сможет
                    Хотя бы после третьей схватки, пусть
                    Дадут из всех орудий замка залп -
                    Мы будем пить твое здоровье, Гамлет,
                    А в кубок мы жемчужину бросаем,
                    Что больше, чем жемчужина короны
                    Всех четырех последних королей.
                    Прошу распорядиться, чтоб цимбалы
                    Сказали трубам, трубы - пушкарям,
                    А пушки - небесам, и те шепнули
                    Земле, мол, это - сам король
                    Пьет за здоровье Гамлета! Пора.
                    А справедливость - это дело судий.

                                   Гамлет

                    Так начинаем, сэр?

                                   Лаэрт

                                       Начнем, милорд.
                                (сражаются)

                                   Гамлет

                    Есть!

                                   Лаэрт

                           Нет!

                                   Гамлет

                                Судья!..

                                   Озрик

                                           Один удар прошел.

                                   Лаэрт

                    Ну, ничего, начнем по новой.

                                   Король

                                                 Стойте!
                    Вино несите. Гамлет, за тебя!
                    Жемчужина уже твоя.

                      Литавры, трубы, пушечная пальба.

                                        Ты выпей!
                    Подайте кубок принцу!

                                   Гамлет

                                          Не сейчас.
                    Закончим схватку, вот тогда и выпьем.
                                (сражаются)
                    Еще удар. Ведь правда?

                                   Лаэрт

                                            Да, коснулись,
                    Я признаю.

                                   Король
                                 (королеве)

                                Наш сын его побьет.

                                  Королева

                    Он взмок и дышит очень тяжело...
                                 (Гамлету)
                    Возьми платок и вытри пот со лба...
                    Пью за твою удачу, милый Гамлет!..

                                   Гамлет

                    Благодарю.

                                   Король

                                Не тронь вина, Гертруда!

                                  Королева

                    А я хочу, уж вы меня простите!..
                                   (пьет)

                                   Король
                                (в сторону)

                    Тот самый кубок. Поздно. Слишком поздно.

                                   Гамлет

                    Нет, госпожа моя, я воздержусь.

                                  Королева

                    Иди сюда, я оботру тебя.

                                   Лаэрт
                                  (королю)

                    Теперь удар за мною.

                                   Король

                                          Сомневаюсь.

                                   Лаэрт
                                (в сторону)

                    Похоже, совесть мне сковала руку.

                                   Гамлет

                    Продолжим поединок наш. Однако
                    Боюсь, что вы морочите меня,
                    А драться почему-то не хотите...

                                   Лаэрт

                    Ах, вот как? Ну, держитесь!..
                                (сражаются)

                                   Озрик

                    Удары не прошли.

                                   Лаэрт

                                       На, получи!

                            Лаэрт ранит Гамлета.
        Меняются рапирами, вырвав их другу друга латными рукавицами.

                                   Король

                    Довольно. Разнимите их.

                                   Гамлет

                                             Ну, нет!
                             (королева падает)

                                   Озрик

                    Я занят, помогите королеве.

                            Гамлет ранит Лаэрта.

                                  Горацио

                    Тот и другой в крови. Милорд, что с вами?

                               Лаэрт падает.

                                   Озрик

                    Лаэрт, как вы?

                                   Лаэрт

                    Как глупый вальдшнеп в собственных силках...
                    И собственным коварством окровавлен...

                                   Гамлет

                    Что с королевой?

                                   Король

                                      Пустяки, она
                    От вида крови чувств лишилась...

                                  Королева

                                                      Нет,
                    Вино... оно... Мой Гамлет, мальчик мой,
                    Вино отравлено...
                                 (умирает)

                                   Гамлет

                                       Да здесь измена!
                    Заприте двери. Мы ее найдем.

                                   Лаэрт

                    Зачем искать? Она в твоей руке.
                    Нет, ты не ранен. Оба мы убиты.
                    И получаса, Гамлет, не пройдет...
                    Клинок отравлен. Я сражен своим же
                    Оружием. И в кубке - тот же яд.
                    Взгляни на мать. Она мертва. И мне
                    Пора на выход. Это все - вот этот...
                           (указывает на короля)

                                   Гамлет

                    Вино отравлено. Рапира тоже.
                    Ну что ж, еще раз поработай, яд!
                       (бьет рапирой в грудь короля)

                                    Все

                    Измена!

                                   Король

                    Друзья, на помощь! Я ведь только ранен...

                                   Гамлет

                    Я помогу тебе. Допей свое,
                    Братоубийца и кровосмеситель,
                    Проклятой Дании король проклятый.
                    Твоя жемчужина в моем клинке.
                    Ступай за матерью моей - и ты
                    Ее еще догонишь...
                            (закалывает короля)

                                   Лаэрт

                    Он получил лишь то, что сам отправил.
                    Простим друг другу, благородный Гамлет.
                    Да не падет отныне на тебя
                    Кровь моего отца и кровь моя,
                    А кровь твоя да на меня не ляжет.
                                 (умирает)

                                   Гамлет

                    Лаэрт, тебе отпустят смерть мою.
                    Мне за тобой идти. Я умираю.
                    Прости мне, мать. Прощай и ты, Горацио,
                    И вы, которые теперь дрожите
                    Безмолвным приложеньем ко всему,
                    Что было здесь. Будь у меня хотя бы
                    Те полчаса, я рассказал бы все.
                    Но этот пристав не дает отсрочки...
                    Берет под стражу... И без лишних слов...
                    И пусть его... Горацио, - твой долг
                    Им рассказать, из-за чего все это.

                                  Горацио

                    И не просите, благородный принц!
                    Я сердцем римлянин, а не датчанин.
                    Тут есть еще на донце...

                                   Гамлет

                                              Если ты -
                    Мужчина, ты отдашь мне этот кубок...
                    Кому сказал, - отдай!.. Не то я сам
                    Возьму его... Горацио, подумай,
                    Что будет с именем моим, когда
                    Мы молча уберемся друг за другом,
                    И только темнота накроет нас?..
                    И если ты и впрямь любил меня,
                    То удержись от поисков блаженства
                    И в неустройстве мира продолжай
                    Всю боль его вдыхать, и эту повесть
                    Поведай...
                        (вдали военный марш и крики)
                                Это что еще за звуки?

                                   Озрик

                    С победой возвратившийся из Польши
                    Племянник Фортинбраса - Фортинбрас
                    Приветствует послов английских.

                                   Гамлет


                    Уже не здесь, Горацио. Тот яд
                    Сильней меня. Послов примите сами.
                    Но знайте - Англия за Фортинбраса.
                    Я также отдаю ему свой голос.
                    Скажи ему об этом. И еще
                    О том, что здесь случилось перед ним.
                    Передо мной - молчание...
                                 (умирает)

                                  Горацио

                                              Разбилось
                    Такое сердце... Доброй ночи, принц.
                    Да упокоит сладкой колыбельной
                    Хор ангелов твою больную душу.
                    ...При чем тут барабаны?

                Входят Фортинбрас, английские послы, свита.

                                 Фортинбрас

                                               Ну и где же
                    Обещанное зрелище?

                                  Горацио

                                       Милорд,
                    Что вы хотите видеть? Если то,
                    Что может поразить и опечалить,
                    То вы уже пришли.

                                 Фортинбрас

                                      О Боже правый!..
                    Такая груда трупов говорит
                    Лишь о взаимном самоистребленьи...
                    Гордячка-смерть, какой роскошный пир
                    Себе ты приготовила, сразив
                    Одним ударом столько августейших
                    Особ...

                                Первый посол

                             Согласен - зрелище для сильных.
                    Не ко двору пришлось посольство наше,
                    И тот, кто жаждал получить известье
                    О казни Розенкранца с Гильденстерном,
                    Навряд ли станет нас благодарить.

                                  Горацио

                    Навряд ли бы он вас благодарил,
                    И если б смог принять посольство ваше:
                    Он никогда не отдавал приказа
                    О казни Гильденстерна с Розенкранцем.
                    Вы прибыли из Англии, а вы
                    Из Польши - в ту минуту, как я начал
                    Расследовать случившееся здесь.
                    Так прикажите же перенести
                    Убитых на помост для обозренья,
                    И вы тогда услышите всю правду
                    О злодеяньях, страшных и кровавых,
                    И о чреде нечаянных убийств,
                    И о смертях насильственных, и прочих,
                    О замыслах и умыслах ужасных,
                    Сгубивших даже тех, кто их замыслил,
                    Об этом обо всем лишь мне известно.

                                 Фортинбрас

                    Мы выслушаем вас, как соберем
                    Своих сановников. Я принимаю
                    Со всею скорбью данную удачу,
                    Но делать нечего. Я полагаю,
                    Что должен предъявить свои права,
                    О коих здесь еще, должно быть, помнят,
                    На Данию. Пусть это назовут
                    Стечением счастливых обстоятельств.

                                  Горацио

                    Об этом я особо расскажу
                    От имени того, чей славный голос
                    Поможет вам сторонников привлечь.
                    Но вы должны, мой принц, поторопиться,
                    Пока умы находятся в смятеньи,
                    Чтоб в результате новых заблуждений
                    И новых заговоров - не случились
                    И новые кровавые дела.

                                 Фортинбрас

                    Пусть Гамлета четыре капитана
                    Как воина возложат на помост.
                    Когда бы он взошел на свой престол,
                    Он стал бы королем, каких немного.
                    И в ознаменование его
                    Кончины - я приказываю: пусть
                    Его оплачут боевые трубы.
                    Тела убрать. Что в поле хорошо,
                    Здесь неуместно. Кто-нибудь спуститесь
                    И прикажите дать прощальный залп.

                     Все уходят. Гремит пушечный залп.

                           Конец III акта и пьесы




     "Трагическая история  Гамлета,  принца  Датского,  сочиненная  Уильямом
Шекспиром, как она была множество раз сыграна труппой слуг Его Величества  в
Лондоне в двух университетах Оксфорда и Кэмбриджа и в других местах" вышла в
1603 г. Издание это, получившее из-за своего формата название Первого кварто
(кварто -  книжная  страница  в  четвертушку  листа),  шекспироведы  не  без
основания считают пиратским. Иногда его называют "плохим кварто".
     На следующий  год  появилось  Второе  кварто,  которое  обычно  именуют
"хорошим". На титульном листе было написано: "Трагическая  история  Гамлета,
принца Датского. Сочинение Уильяма Шекспира. Напечатано заново  и  увеличено
почти до размеров  подлинной  полной  рукописи".  Эта  книга  переиздавалась
трижды: в 1611, 1622 (без сообщения даты) и в 1637 г.
     Вряд  ли  Шекспир  имел  какое-либо  отношение  и  к   этому   изданию.
Предполагают, что оно  напечатано  или  со  сделанной  во  время  постановки
стенографической записи, или с украденной в театре суфлерской копии.
     После смерти Шекспира в 1616 г. его друзья-актеры Джон Хеминг  и  Генри
Кондел собрали однотомник его пьес, и так называемое Первое  фолио  (издание
"в лист"), в котором помещен и "Гамлет", увидело свет в Лондоне в 1823 г.
     Итак,  в  распоряжении  человечества  три  неидентичных  текста,  среди
которых нет ни одного авторизованного.
     По косвенным указаниям шекспироведы установили,  что  "Гамлет"  впервые
был поставлен в знаменитом шекспировском "Глобусе" в сезон 1600/1601 гг.
     Переработанный Шекспиром сюжет известен по  латинской  "Истории  Дании"
датского хрониста XII века Саксона  Грамматика,  опубликованной  в  1514  г.
События, о которых в ней повествуется, относятся к  языческим  временам,  то
есть произошли до середины IX века.
     Прототип Гамлета - ютландский юноша Амлет,  желающий  отомстить  своему
дяде Фенгону, брату и  соправителю  Горвендила,  отца  Амлета.  Фенгон  убил
Горвендила, чтобы стать единоличным правителем Ютландии (при этом он женился
на Геруте, дочери короля Дании Рорика и матери Амлета).  После  гибели  отца
принц притворяется  сумасшедшим.  Фенгон  в  его  сумасшествие  не  верит  и
подсылает к Амлету красавицу-деву, которая, впрочем,  переходит  на  сторону
принца. Тогда Фенгон отправляет своего человека в  покои  Геруты  подслушать
беседу матери с сыном. Амлет убивает соглядатая, а после упреками пробуждает
совесть  матери.  Фенгон  высылает  Амлета  в  Англию.   В   поездке   юношу
сопровождают двое придворных, везущих приказ его  убить.  Амлет  выкрадывает
послание Фенгона, заменяет свое имя  именами  своих  спутников  и  вписывает
прошение женить его на дочери английского короля. Вернувшись, Амлет попадает
на годовщину собственной мнимой смерти и расправляется с дядей.
     Источником шекспировской пьесы послужил  так  называемый  "Пра-Гамлет",
шедший в Лондоне в конце 1580-х  -  начале  1590-х.  Автором  его  был,  как
предполагают, Томас Кид (1558-1594 гг.). Впрочем, еще в 1576 г.  французский
писатель Франсуа Бельфоре пересказал хронику Саксона Грамматика об Амлете  в
пятом томе своих "Трагических историй".
     Предлагаемый  читателю  перевод  (двадцать   первый   русский   перевод
"Гамлета", считая с выполненного А.П.Сумароковым в 1748 г.) сделан  мною  по
тексту Второго кварто и Первого фолио. Выбор варианта каждый раз определялся
логикой развития сюжета.
     Эта логика в деталях отличается от той, которой  традиционно  следовали
переводчики и шекспироведы. Главным образом это касается  Горацио,  "лучшего
друга" Гамлета. Скажем, по Первому фолио взят эпизод, в котором уже пошедший
на службу к королю Горацио приходят к королеве с доносом на Офелию. Сцена, в
которой  Горацио  (а  не  анонимный  Придворный)  предупреждает   короля   о
начавшемся восстании Лаэрта (и тем  дает  Клавдию  шанс  сохранить  жизнь  и
корону), взята мной также по Первому фолио.  При  такой  редакции,  как  мне
представляется, становится более очевидна пропасть,  разделяющая  Гамлета  и
его "лучшего друга". (См. статью ""Гамлет". Поэтика загадок".)
     В комментарии, как правило, дается сокращенный в сравнении  со  статьей
вариант толкования текста.
     Ремарки в нашем тексте,  за  исключением  двух-трех,  восходят  к  ныне
принятым в английской или русской традиции. Исключения - ремарка на с.  158,
в которой я попытался реконструировать недошедшую интермедию, и  ремарка  на
с. 157 "Офелия уходит. За ней Горацио".
     Первая публикация "Гамлета" со списком действующих лиц появилась только
в издании 1709 г. (под редакцией Роу). Этот  список,  начинающийся  с  имени
Клавдия, сегодня  выглядит  довольно  странно,  поэтому  он  составлен  мною
заново. В списке тридцать говорящих  персонажей  (плюс  восставшие  датчане,
которые подают свои голоса из-за кулис).
     Во времена Шекспира не считалось  зазорным  сравнивать  нечто  живое  и
правильное с работой хорошо отлаженного механизма. Вопреки распространенному
мнению об "условности" шекспировского театра, смею заверить, что в "Гамлете"
каждая строка пригнана к другой, как шестерни в башенных  часах.  И,  как  в
часовом механизме, одна шестеренка  поворачивает  другую.  Этот  же  принцип
органического    единства    относится    к    паутине    реминисценций    и
самореминисценций, а  также  к  тончайшей  системе  всякого  рода  смысловых
мостиков, помогающих читателю разобраться в том, что происходит на  сцене  и
что этому предшествовало.
     Шекспировский текст устроен  так,  что  одна  ничем  не  примечательная
деталь в столкновении с другой, казалось бы, столь  же  ничтожной,  высекает
молнию смысла, на  миг  освещающую  скрытые  от  зрительских  глаз  истинные
обстоятельства и мотивировки. Не берусь судить, сколь глубоко мог воспринять
такой способ сценического повествования зритель "Глобуса", но поэты пишут не
для толпы, а прежде всего  для  себя  (если  же  поэт  гениален,  то  и  для
вечности). В этом и заключен секрет мнимых шекспировских  "противоречий",  о
которых так любят рассуждать и дидактическое шекспироведение, и оппонирующие
ему скептики.



     Еще  раз  оговорюсь:  меня  менее  всего  интересуют  те  трактовки   и
интерпретации, которые не следуют из текста, но  привносятся,  чтобы  как-то
связать концы с концами. Я исхожу  из  того,  что  в  контексте  европейской
культуры шекспировский текст самодостаточен, и  дело  исследователя  состоит
только в том, чтобы выявить этот контекст. (При таком подходе, скажем, миф о
болезненной рефлексии и странной нерешительности Датского принца можно сдать
в архив читательских заблуждений.)
     Шекспировское понимание единства времени, места и  действия  отличается
от позднейшего классицистического. Очевидно, когда в последней четверти XVII
века  "Гамлет"  был  разделен   на   акты,   редакторы   текста   попытались
последовательно выдержать принцип "один акт - один день".  И  это  им  почти
удалось. Лишь в IV акте оказалось сразу  два  дня.  (Что,  впрочем,  сломало
кажущуюся стройность концепции.)
     Предлагая новое деление пьесы на акты (см. статью "Формула  Шекспира"),
я не ставил задачи найти то, чего отыскать невозможно,  а  просто  попытался
посчитать число дней, за которое происходит все действие.
     Сам того не подозревая, я проделал работу, уже сделанную до меня  более
трех веков назад, и только после обнаружил, что из  указаний  внутри  текста
возникает последовательная  и  стройная  система  шестидневного  -  то  есть
библейского! -  временного  единства.  Та  система,  которую  вычленили  мои
предшественники и которая оказалась ими не понята и не востребована.
     Указания внутри текста вполне определенны. Шекспир, словно  для  самого
себя (или для грядущего исследователя), заботится  указать  на  время  суток
(чаще всего это касается  полночи),  или  на  то,  когда  должно  состояться
событие. К примеру, Гамлет сообщает Горацио, что пираты напали на их корабль
на второй день  путешествия.  Поскольку  из  слов  короля,  сказанных  перед
высылкой Гамлета, мы знаем,  что  корабль  с  опальным  принцем  должен  был
отплыть до вечера, значит, для Гамлета плавание продолжалось лишь одну  ночь
и часть следующего дня. Далеко он не  уплыл.  Вечером  того  же  дня  пираты
доставляют королю письмо, в котором Гамлет сообщает, что  завтра  предстанет
перед королем. В день, когда Гамлета нет в Эльсиноре,  происходит  восстание
Лаэрта и смерть Офелии.
     Все это столь очевидно, что вряд  ли  имеет  смысл  останавливаться  на
каждом упоминании о времени события. Если  действие  начинается  в  ночь  на
воскресенье (первый день недели в западноевропейской традиции; см.  об  этом
примечание к с. 82 на с. 222), то суммарный результат говорит сам за себя.

                                   I акт

                            ночь на воскресенье

     1 - эспланада перед замком. На часах Франциско, его сменяют  Горацио  с
двумя приятелями-швейцарцами; явление призрака, которого Горацио приказывает
ударить алебардой. Описание утренней зари.

     1 день. Воскресенье. (Сотворение света.)

     2 - зал в замке. Прием у короля, посольство  отправляется  в  Норвегию,
Гамлет иронично сравнивает короля с солнцем; к Гамлету  приходит  Горацио  и
рассказывает о появлении Призрака.
     3 - комната Полония. Лаэрт, уезжая во Францию, прощается  с  сестрой  и
отцом; Полоний запрещает Офелии общаться с Гамлетом.

                            ночь на понедельник

     4 - эспланада, куда приходит Гамлет с Горацио и  одним  из  стражников.
Второе появление Призрака. Призрак манит Гамлета за собой внутрь замка.
     5 - двор замка. Гамлет от призрака узнает тайну  смерти  отца.  Призрак
требует отмщения. Описание  утра  и  "бледного  огня"  болотного  светлячка.
Клятва Гамлета. Клятва Горацио и стражника молчать об увиденном.

                                   II акт

     2 день. Понедельник. (Первое утро, сотворение "тверди", отделяющей воду
небесную /облака/ от воды наземной /океана/.)

     1  -  комната  Полония.  Полоний  дает  наставления  Рейнальдо,  Офелия
сообщает о сумасшествии Гамлета.
     2 - зал в замке. Гильденстерн и Розенкранц получают задание шпионить за
Гамлетом; возвращается посольство  из  Норвегии;  Полоний  читает  королю  и
королеве письмо Гамлета к Офелии, а после беседует с Гамлетом; Розенкранц  и
Гильденстерн пытаются выведать тайну Гамлета и сообщают о прибытии  актеров;
Гамлет беседует с Полонием (звучат слова об утре,  которое  было  "именно  в
понедельник") и репетирует с Первым актером, сообщая, что премьера "завтра".

     3 день. Вторник. (Сотворение суши и растений.)

     3 - зал в замке. Король выслушивает  отчет  своих  шпионов;  Полоний  и
король прячутся за ковром, "подпуская" к Гамлету Офелию; звучит монолог "Так
быть или не быть...", смысл которого Офелия не  понимает,  Гамлет  разрывает
отношения  с  Офелией,  а  после  его  ухода  король  с  Полонием  обсуждают
услышанное.
     4 - зал в замке. Гамлет дает последние наставления актерам,  предлагает
Горацио следить за реакцией короля  во  время  пьесы;  Гамлет  пикируется  с
Полонием, королем и Офелией; актеры начинают играть "Убийство  Гонзаго",  но
король прерывает представление;  Гамлет  говорит  с  Горацио;  Розенкранц  и
Гильденстерн передают Гамлету требование королевы явиться к ней,  о  том  же
сообщает и Полоний.

                               ночь на среду

     5 - комната короля.  Король  сообщает  Розенкранцу  и  Гильденстерну  о
решении выслать Гамлета в Англию и просит их  сопровождать  принца.  Полоний
сообщает королю, что Гамлет идет к матери, а  сам  он  хочет  подслушать  их
разговор, спрятавшись за ковром. Король молится, и Гамлет  откладывает  свою
месть.
     6 - комната королевы. Гамлет убивает Полония и объясняется  с  матерью.
Третье появление Призрака.

     4 день. Среда. (Сотворение светил.)

     7 - комната короля. Королева рассказывает королю об  убийстве  Полония;
король отдает приказ Розенкранцу и Гильденстерну привести Гамлета.
     8 - комната Гамлета. Розенкранц и Гильденстерн не  могут  понять,  куда
Гамлет дел тело Полония, и ведут принца к королю.
     9 - комната короля.  Объяснение  Гамлета  с  королем.  Король  сообщает
Гамлету, что тот высылается  в  Англию,  а  после  ухода  Гамлета  открывает
зрителю свою цель: английский король должен убить Гамлета.
     10 - равнина, по которой проходит в Польшу Фортинбрас с войском; Гамлет
разговаривает с капитаном  норвежского  войска  и  еще  раз  обязывает  себя
отомстить королю.

                                  III акт

     5 день. Четверг. (Сотворение рыб, пресмыкающихся и птиц.)

     1 - комната короля. Горацио доносит  на  Офелию;  Офелия  поет  песенки
королю и королеве, а король просит Горацио позаботиться об  Офелии.  Горацио
выходит  вслед  за  Офелией.  Начинается  народное  восстание,   о   котором
предупреждал Горацио, но Горацио в  последний  момент  успевает  сообщить  о
случившемся королю. Датчане во главе с Лаэртом выламывают  двери,  Лаэрт  не
пускает народ в покои короля, а король заговаривает зубы  вождю  восставших;
Офелия вновь поет пророческие песни и прощается со всеми; король уговаривает
Лаэрта действовать вместе.
     2 - комната Горацио. Пираты приносят  Горацио  письма  от  Гамлета  для
него, короля и королевы.

                              ночь на пятницу

     3 - комната короля. Король убеждает Лаэрта действовать на  его  стороне
против Гамлета. Лаэрт предлагает королю убить Гамлета  отравленным  клинком.
Королева сообщает о гибели Офелии.

     6 день. Пятница. (Сотворение животных и человека из земного праха.)

     4 - кладбище. Гамлет и Горацио  слушают  разговоры  могильщиков,  когда
появляется похоронная процессия. Гамлет не знает, кто в гробу, и  только  из
разговора Лаэрта со священником понимает, что хоронят Офелию. Лаэрт  прыгает
в могилу Офелии и оскорбляет  Гамлета;  Гамлет  и  Лаэрт  дерутся  в  могиле
Офелии, но их растаскивают.
     5 - зал в замке. Гамлет рассказывает Горацио, как  он  подменил  приказ
короля убить его; появляется Озрик, а после и Придворный, которые предлагают
Гамлету выйти на поединок с Лаэртом; во  время  поединка  королева  выпивает
кубок с ядом, Лаэрт отравленным клинком ранит Гамлета, а  Гамлет  -  Лаэрта,
вырвав у него его рапиру; Гамлет  убивает  короля  и  перед  смертью  просит
Горацио передать Фортинбрасу его голос за избрание Фортинбраса новым королем
Дании.  Королева,  король,  Лаэрт  и  Гамлет   мертвы.   Горацио   принимает
Фортинбраса и  английских  послов,  но  Фортинбрас  игнорирует  его  просьбу
перенести всех убитых на помост и на этом фоне выслушать рассказ Горацио. На
помост четыре капитана переносят лишь Гамлета.
     Оставим  читателю  возможность   самостоятельного   чтения   библейских
реминисценций "Гамлета". Заметим лишь, что уже в  евангельской  традиции  на
пятницу приходятся два события - распятие и положение во гроб.
     Свое  "изнаночное"  время  Шекспир  пишет  на  фоне  времени  Библии  и
Евангелия.



                      Сцена 1. Эспланада перед замком

     С. 13. "Вот так я и сказал!.. Пароль скажи!"
     "Nay, answer me: stand, and unfold yourself".

     Бернардо разбудил пьяного Франциско  своим  вопросом.  Стражник  узнает
сменщика лишь после того, как тот произносит фразу, напоминающую тост, а  не
пароль: "Многие лета королю!" (Long live the king!). См. с. 245.

     С. 15. "Горацио, ты с нами?" - "Лишь отчасти".

     BERNARDO: Say, What, is Horatio there?
     HORATIO: A piece of him.

     Горацио (Horatio) - человек рацио,  прагматик.  На  русский  имя  этого
персонажа можно перевести как "Прагматичная блядь". Подробней см. с. 266.

     С. 18. "...размазал по льду залива польские обозы..."
     "...he smote the sledded Polacks on the ice".

     См. с 297.

     С. 18. "Я перескажу лишь то, что знаю..."
     "That can I; at least, the whisper goes so..."

     Весь этот его  монолог  произнесен  на  канцелярите.  Удивительно,  что
слушатели Горацио без труда сумеют его "перевести" на  человеческий  язык  и
поймут, что именно Старый Гамлет -  виновник  надвигающейся  войны.  Заметим
еще, что мнение Горацио о молодом Фортинбрасе  разко  расходится  с  мнением
Гамлета. (См. с. 145.)

     Вот как звучит монолог Горацио:

                                                  That can I;
               At least, the whisper goes so. Our last king,
               Whose image even but now appear'd to us,
               Was, as you know, by Fortinbras of Norway,
               Thereto prick'd on by a most emulate pride,
               Dared to the combat; in which our valiant Hamlet -
               For so this side of our known world esteem'd him -
               Did slay this Fortinbras; who by a seal'd compact,
               Well ratified by law and heraldry,
               Did forfeit, with his life, all those his lands
               Which he stood seized of, to the conqueror:
               Against the which, a moiety competent
               Was gaged by our king; which had return'd
               To the inheritance of Fortinbras,
               Had he been vanquisher; as, by the same covenant,
               And carriage of the article design'd,
               His fell to Hamlet. Now, sir, young Fortinbras,
               Of unimproved mettle hot and full,
               Hath in the skirts of Norway here and there
               Shark'd up a list of lawless resolutes,
               For food and diet, to some enterprise
               That hath a stomach in't; which is no other -
               As it doth well appear unto our state -
               But to recover of us, by strong hand
               And terms compulsatory, those foresaid lands
               So by his father lost: and this, I take it,
               Is the main motive of our preparations,
               The source of this our watch and the chief head
               Of this post-haste and romage in the land.

     С. 19. "В духовном оке даже и соринка..."
     "A mote it is to trouble the mind's eye..."

     Горацио  явно   напуган   тем,   как   его   соотечественник   Бернардо
интерпретировал его рассказ, и старается сгладить ситуацию патетикой.

     С. 21. "Бей! Оно не подчинилось!.."
     "Do, if it will not stand".

     Горацио хочет, чтобы Марцелл остановил призрака, а когда видит, что это
не удается, приказывает ударить  того  алебардой.  Гамлету  он  об  этом  не
расскажет, только обмолвится, что призрак прошел "на расстоянии  его  жезла"
(а не древка алебарды Марцелла, который нанес удар мертвому королю).
     Подробнее см. на с. 271-272.

     С. 22. "Взгляните: утро в пепельном и алом..."
     "But, look, the morn, in russet mantle clad, walks o'er the dew of  yon
high eastward hill..."

     По прозаическому переводу М. Морозова: "Но посмотрите, утро,  одетое  в
багряный плащ, шагает по росе той высокой горы на востоке".
     Эти строки можно понять как намек на  неузнанного  Люцифера,  уносящего
после крика петуха душу Старого Гамлета. Люцифер  -  средневековый  эвфемизм
имени дьявола. По-русски это  можно  перевести  как  "Светозарный"  (антоним
выражения - "Бегущий от света").  Объяснимо  и  то,  почему  речь  именно  о
восточной горе: склоны гор, находящихся к западу,  уже  освещены  восходящим
солнцем, поэтому нечистая сила должна бежать от света именно  на  восток,  в
тень горы, еще сохраняющей остатки ночи.  И  Горацио  путает  багряный  плащ
Люцифера с зарей.

                            Сцена 2. Зал в замке

     С. 25. "Мой милый Гамлет! Скинь ночной  покров.  Взгляни  как  друг  на
Данию..."
     "Good Hamlet, cast thy nighted colour off, and let thine eye look  like
a friend on Denmark..."

     Королева играет короля не хуже, чем  свита.  Вспомним,  что  Горацио  в
первой же своей реплике в пьесе аттестовал себя и своих приятелей-стражников
"друзьями этой страны" (friends to this  ground).  Очевидно,  что  в  словах
королевы содержится намек на доносы, в  которых  Гамлет  объявлялся  "врагом
Дании".

                          Сцена 3. Комната Полония

     С. 36. "Так, набухая, вызревает плод..."
     "For nature, crescent, does not grow alone..."

     Мы сочли возможным так перевести следующие строки:

                 For nature, crescent, does not grow alone
                 In thews and bulk, but, as this temple waxes,
                 The inward service of the mind and soul...

     В переводе М. Морозова: "Ибо природа, развиваясь, растет  не  только  в
отношении крепости мышц и размеров тела..." Но Лаэрт предупреждает сестру не
о том, что в результате романа с Гамлетом она может потолстеть,  скажем,  от
еды.

     С. 37. "Второй отъезд - двойная благодать".

     В оригинале:

                    A double blessing is a double grace,
                    Occasion smiles upon a second leave.

     В переводе М.Морозова:  "Двойное  благословение  -  двойная  благодать.
Случай улыбнулся двойному прощанию".
     Лаэрт из Дании однажды  уже  уехал,  однако  должен  был  вернуться  на
коронацию Клавдия.

     С. 40. "Ага, ты называешь это способ любви.... Ну-ну..."
     "Ay, fashion you may call it; go to, go to".

     Полоний в силу своей натуры не может отважиться  на  прямой  вопрос,  а
потому вынужден лишь гадать, сколь далеко зашли отношения Офелии и  Гамлета.
Неглупая Офелия знает отца и знает, как надо отвечать,  чтобы  сберечь  свою
тайну.

                             Сцена 4. Эспланада

     С. 42. "Взамен его и в честь его фанфары..."
     "The kettle-drum and trumpet thus bray out the triumph of his pledge".

     "To bray" - издавать резкий неприятный звук, кричать  ослом.  Но  образ
труб, орущих  всякий  раз,  как  король  осушает  кубок,  не  оставляет  нам
возможности иного перевода, чем тот, какой мы дали. См. с. 298.

                            Сцена 5. Двор замка

     С. 47. "Одно лишь слово, и встанут дыбом волосы..."
     "...lightest word... and each particular hair to stand on end..."

     Призрак сообщает, что не может нарушить  заклятия  своего  заточения  и
раскрыть  главную  тайну,  "принадлежащую  вечности"  и  потому  недоступную
смертному уху. Страшная тайна ада - его обреченность и конечная победа Света
над Тьмой.
     Смертному уху ее раскрыл Христос.
     Старый Гамлет находится в аду. Это следует из  упоминания  о  моргающем
ему светлячке и тающем бледном огне последнего. Что это за светлячок  станет
понятно, если мы рядом с шекспировским текстом положим  текст  "Божественной
комедии": это в двадцать шестой песне у Данте  Восьмой  круг  ада  расцвечен
"пляшущими светлячками", которые при этом "тают, как поднимающееся облачко".
Процитирую в подстрочном  переводе  Осипа  Мандельштама:  "...Так  языкастое
пламя наполняло щели гробниц, утаивая добро гробов - их поживу, и в оболочке
каждого огня притаился грешник" (О.Э. Мандельштам. Об искусстве. М, 1995, с.
300).
     Это не просто реминисценция: в Восьмом круге  ада  томятся  разрушившие
Трою гневливые и коварные Улисс (Одиссей) и его друг аргосский царь  Диомед.
Это они хитростью увезли на Троянскую войну Ахилла.
     Но начинается рассказ о Восьмом круге с упоминания о сцепившихся  из-за
власти в Фивах и убивших друг друга  Этеокле  и  Полинике,  сыновьях  Эдипа.
После чего город попал в рабство, доставшись их дяде жестокому Креонту.
     Напомним, что Старый Гамлет убил Старого Фортинбраса, а Клавдий Старого
Гамлета. Так что дух Старого Гамлета  вполне  закономерно  должен  оказаться
именно в Восьмом круге.



                          Сцена 1. Комната Полония

     С. 58. "Милорд, но это же и есть бесчестье..."
     "My lord, that would dishonour him".

     Шекспир показывает всю чудовищность и бесполезность того, что в XX веке
назовут "работой спецслужб". Оказывается, чтобы уберечь Лаэрта от  соблазнов
парижской жизни, Рейнальдо должен его оклеветать и тем  войти  в  доверие  к
недругам Лаэрта. По сути Полоний предлагает уничтожить сына морально,  чтобы
спасти его физически.

     С. 62. "А у порога тихо засмеялся и бросил нежный взгляд..."
     "Не seem'd to find his way without his eyes; for out  o'doors  he  went
without their helps..."

     Гамлет демонстрирует Офелии, что он не сумасшедший, но лишь разыгрывает
эту роль. Офелия его не понимает, как сам  Гамлет  не  понял  предупреждения
отца не следовать его словам о мести, а обратиться к Христу.

                            Сцена 2. Зал в замке

     С. 67. "Что ж, это мы возьмем и почитаем..."
     "It likes us well; and at our more consider'd time well  read,  answer,
and think upon this business".

     Замечательна последовательность, с которой Клавдий собирается  работать
с  важнейшим  дипломатическим  документом.  Старый  Норвежец  просит   права
свободного прохода через Данию войскам Фортинбраса, а реакция короля такова:
возьмем, почитаем на досуге, ответим, а после и обдумаем. Только много позже
от самого Фортинбраса мы узнаем, что никакого ответа норвежцы  не  получили.
Более того, выясняется, что послы Клавдия превысили свои полномочия, посулив
норвежцам право свободно следовать через Данию в  Польшу.  (Фортинбрас,  уже
высадившись в Дании, просит лишь обещанного подтверждения.) Королю его послы
о такой своей самодеятельности не сообщили, хотя он повелел  им  действовать
"в установленных пределах". Вместо того чтобы решать вопросы войны  и  мира,
король зовет вернувшихся из Норвегии послов на очередную ночную пьянку.

     С. 73 "Держите ее в тени. Земные плоды благословенны, если они не зреют
во чреве вашей дочери".
     "Let her not walk i' the sun: conception is a blessing: but not as your
daughter may conceive".

     В переводе Сергея Николаева: "Не давайте ей  гулять  под  солнцем  [это
идиома -  имеется  в  виду  просто  "светиться  перед  мужчинами"];  зачатие
благословенно, но не в том случае, если забеременеет ваша дочь"
     Гамлет, как ранее Лаэрт, попадает в точку. Оба они  так  никогда  и  не
узнают, что Офелия беременна.

     С. 75. "На талии или в самой причине всех ее милостей?"
     "Then you live about her waist, or in the middle of her favours?"

     Скабрезность тона и выражений объясняется тем, что разговаривают  люди,
расставшиеся подростками. Другого общего языка у них просто нет.  Позже  эту
манеру общения Гамлет использует в разговоре с Офелией.

     С. 82. "Вы правы, сэр, утро было именно в понедельник".
     "You say right, sir: o'Monday morning; 'twas so indeed".

     Перевод М. Морозова: "Вы правы, сэр. В понедельник  утром.  Так  это  в
действительности и было".
     Эти слова Гамлет говорит  Розенкранцу  и  Гильденстерну  громко,  чтобы
слышал Полоний. Но в таком виде они почти бессмысленны. Кроме  того,  сказав
так, Гамлет рискует  быть  разоблаченным  Полонием:  как  шпион  короля  тот
обязательно  поинтересуется  позже  у  коллег-шпионов   (уже   разоблаченных
Гамлетом) Розенкранца и Гильденстерна, о чем шла речь,  и  обнаружится,  что
Гамлет перед Полонием просто валял дурака. Полоний поймет, что Гамлет с  ним
лишь играет, а значит, он не сошел с ума и  т.  д.  На  деле  Гамлет  должен
сказать что-то, что вообще не вызовет интереса у Полония. И это при том, что
тот видит принца, что-то нашептывающего своим школьным друзьям. (А шепчет он
как раз по поводу Полония, заставляя тем  приятелей-стукачей  поверить,  что
им-то он доверяет.)
     Представляется, что есть  лишь  одно  решение  данной  текстологической
проблемы. Видимо, Гамлет демонстрирует Полонию, что со школьными друзьями он
ведет  рутинную  схоластическую  беседу  о   Шестодневе.   (Это   наблюдение
принадлежит московскому филологу Макару Александренко.)
     Господь  в  Первый  день,  то  есть  в  воскресенье,   сотворил   свет,
непосредственно отделив его от тьмы: "И был вечер, и было утро: день  один".
Значит, первое утро приходится  именно  на  понедельник.  Но  если  так,  то
шекспировская фраза в ее начальном виде,  скорее  всего,  была  такой:  "The
morning  was  on  Monday;  'twas  so   indeed".   (Это   напоминает   богато
аллитерированный схоластический афоризм или стиховую строку. Мы не  добавили
ни одной новой буквы, а лишь "скроили"  новую  фразу  из  созвучий  старой.)
Может  статься,  что  ошибка,  приведшая  к  "исправлению"  текста,  была  в
одной-единственной букве, неправильно понятой переписчиком  или  наборщиком:
вместо "You say right, sir..." могло быть "You say night, sir..."

     C. 84. "Свирепый Пирр глядит гирканским тигром..."
     "The rugged Pyrrhus, like the Hyrcanian beast..."

     Белым стихом в Англии стали писать  лишь  за  полвека  до  Шекспира.  В
рассказе Энея о гибели Приама  пародируется  современная  Шекспиру  лубочная
драматургия: рифм нет, но  они  угадываются.  Так  что  само  их  отсутствие
приводит к комическому эффекту. А в "Убийстве  Гонзаго"  Шекспир  пародирует
английский вариант рифмованной виршевой поэзии, недалеко  ушедшей  от  того,
что в русской культуре зовется раешником.

                            Сцена 3. Зал в замке

     С. 93. "Так быть или не быть?.. Ну и вопрос!.."
     "То be, or not to be: that is the question..."

     Гамлет не знает, что Офелия подослана к нему королем и  Полонием.  (Они
хотят выведать причину сумасшествия Гамлета, а у  Офелии  своя  корысть:  ей
надо выяснить, действительно ли безумен отец ее будущего ребенка.)
     Этот монолог Гамлет произносит не в пустоту, а обращаясь к Офелии.  Его
вторая попытка  показать  невесте,  что  он  не  сумасшедший,  заканчивается
провалом. Офелия ничего не поймет из сказанного, примет философию Гамлета за
бред и участливо осведомится, как он себя чувствует?
     Ответ Гамлета показывает,  что  иллюзии  его  развеяны,  и  дальше  ему
придется в своей игре опираться только на Горацио.

     С. 98. "Безумье первых лиц, по крайней мере, требует участья".
     "Madness in great ones must not unwatch'd go".

     В переводе М. Морозова: "Безумие знатных людей не должно оставаться без
присмотра". Король убедился, что Гамлет лишь  притворяется  безумным,  когда
из-за аррасского ковра выслушал обращенный  к  Офелии  монолог  Гамлета.  На
языке Клавдия "присмотр" - слежка и принятие мер, то есть убийство.

                            Сцена 4. Зал в замке

     С. 100. "Эгей, хо-хо, Горацио!.."
     "What ho! Horatio!"

     Шекспир проявляет латинское слово "ratio" (рацио,  разум),  звучащее  в
имени Горацио. Поскольку в пьесе  до  этого  дважды  звучит  и  обыгрывается
Гамлетом междометие "ho-ho!", реплика  принца  на  слух  воспринимается  как
"What ho-ho! Ratio!".

     С. 101. "Ага, вот ты подумал, что я льстец..."
     "Nay, do not think I flatter..."

     Весь  этот  обращенный  к   Горацио   панегирик   Гамлета   традиционно
принимается исследователями, читателями, режиссерами и зрителями  за  чистую
монету. Но Гамлет любит Горацио, и ему простительно ошибаться в том, кого он
населяет своими мыслями и своим благородством. Ничем  из  этого  Горацио  не
обладает.

     С. 103. "Сударыня, я лягу к вам в ноги?"
     "Lady, shall I lie in your lap?"

     С этого места Гамлет мстит Офелии, ибо считает  ее  поведение  изменой.
Отсюда и начинается чреда  его  скабрезностей,  не  оставляющих  сомнений  в
характере их былых отношений.
     Цель оскорблений, которыми Гамлет осыпает Офелию, - разрыв с  предавшей
возлюбленной. Видимо, в спектакле, шедшем в "Глобусе",  Гамлет  слышал,  как
Полоний читает королю и королеве его письмо Офелии,  а  потому  уверен,  что
Офелия его предала. Но Офелия, как она сама о том говорит,  вернула  Гамлету
его письма. Если так, то Полоний украл одно из них, а все его уверения, мол,
дочь сама их отдала, - ложь и лицемерие.

     С. 113. "Если пьеса не по праву, // Значит, пьеса про отраву".
     "For if the king like not the comedy, // Why then, belike, he likes  it
not, perdy".
     В переводе М. Морозова: "Ибо  если  королю  не  нравится  комедия,  ну,
значит, по-видимому, она ему, черт возьми, не нравится".
     А.Н. Горбунов в своем комментарии (Уильям  Шекспир.  Гамлет.  Избранные
переводы. М., 1985, с. 617) указывает,  что  здесь  пародируются  строки  из
"Испанской трагедии" Томаса  Кида  (IV,  I),  написанной  около  1585  г.  и
опубликованной в 1594 г.: "And if the world like not this tragedy // Hard is
the hap of old Hieronimo".

                          Сцена 5. Комната короля

     С. 120. "Мой грех смердит до самых до небес..."
     "О, my offence is rank it smells to heaven..."

     Самое поразительное  в  молитве  короля,  что  Господь  ему,  злодею  и
душегубу, и впрямь отвечает. Чего король, впрочем, не понимает,  думая,  что
это он сам излагает аргументы и  за  себя,  и  за  Всевышнего.  Увы,  Гамлет
взывает к Небу лишь риторически, а за советом обращается или к Горацио,  или
к своему собственному рацио. Поэтому шанса победить у него нет.

                         Сцена 6. Комната королевы

     С. 125. "Что значит - убить супруга-короля"?.." - "А то и значит".
     HAMLET: A bloody deed! almost as bad, good mother, as kill a king,  and
marry with his brother.
     QUEEN GERTRUDE: As kill a king!
     HAMLET: Ay, lady, 'twas my word.

     Слова Гамлета -  не  оговорка.  Клавдий  не  стал  бы  убивать  Старого
Гамлета, если б не был уверен, что вдова короля немедленно  пойдет  за  него
замуж. (Иначе корона перешла бы  к  принцу  Гамлету.)  Следовательно,  роман
Гертруды и Клавдия начался еще при жизни Гамлета-старшего. Пойдя на любовную
связь с братом супруга, королева обрекла мужа  на  смерть.  В  Древнем  Риме
похожий сюжет имел место при императоре Клавдии. См. с. 295.

     С. 125. "Все. Хватит. Прекратите причитать..."

                Leave wringing of your hands: peace! sit you down,
                And let me wring your heart; for so I shall,
                If it be made of penetrable stuff,
                If damned custom have not brass'd it so
                That it is proof and bulwark against sense.

     После этого королева взрывается: "Да что же я такое совершила,  что  ты
так распускаешь свой язык?" (What have I done,  that  thou  darest  wag  thy
tongue in noise so rude against me?) Речь  идет  не  о  медных  латах,  а  о
разновидности наперстка - медном  противозачаточном  колпачке.  Вместо  этой
малоучтивой по отношению  к  матери  метафоры  Гамлет  вскоре  найдет  образ
"непробиваемой корки", чей состав держится до Страшного Суда:

                   Yea, this solidity and compound mass,
                   With tristful visage, as against the doom,
                   Is thought-sick at the act.

     C. 130. "...Отец, не надо так глядеть..."

     В оригинале эти слова Гамлета звучат так:

                 Do not look upon me;
                 Lest with this piteous action you convert
                 My stern effects: then what I have to do
                 Will want true colour; tears perchance for blood...

     Видимо, Старый Гамлет, находящийся во власти ада и лишенный собственной
воли, вынужден произносить то, что  должно  погубить  душу  сына,  и  потому
прибегает к приему, во все века используемому  обвиняемыми  во  время  очных
ставок: он глазами показывает Гамлету, что тот не должен верить  его  речам.
Гамлет его не понимает.

     С. 132. "...Небеса хотели и наказать его через меня, и наказать меня за
непокорность..."
     "...but heaven hath pleased it so, to punish me with this and this with
me..."

     Гамлет оправдывает свой поступок тем, что Небо  действует  через  него.
Принц не понимает, что на самом деле, играя его страстями, с ним играет бес.

     С. 133. "Не бойся. Если слово создается..."
     "Be thou assured, if words be made of breath, and  breath  of  life,  I
have no life to breathe what thou hast said to me".

     С первого своего появления в пьесе  Гертруда  вела  себя  как  записная
дура, и только  здесь  становится  ясно,  что  ее  глупость  -  лишь  маска,
необходимая, чтобы выжить рядом с Клавдием.

                          Сцена 7. Комната короля

     С. 135. "Он безумен, как море с бурею, когда они доказывают, кто из них
главнее".
     "Mad as the sea and wind, when both contend which is the  mightier:  in
his lawless fit..."

     Этой фразой  королева  себя  выдает,  но  король  не  обращает  на  это
внимания.  Меж  тем  здесь  "море  с  бурей"  -  это  именно  поединок  двух
противоборствующих начал, которые представлены Гамлетом и Клавдием.

     С. 136. "И шепоток, который, как из пушки..."

     В оригинале образ восходящего по диаметру земли извержения, потрясающий
по силе образ народного возмущения:

                And what's untimely done; so haply slander,
                Whose whisper o'er the world's diameter,
                As level as the cannon to his blank,
                Transports his poison'd shot, may miss our name,
                And hit the woundless air...

     В позднем Средневековье на западноевропейских  пушках  иногда  отливали
надпись "ultima ratio regis" (последний довод короля). Дважды в пьесе король
приказывает, чтобы пушки "сказали Небесам" (2 сцена I акта  и  5  сцена  III
акта  по  нашему  делению  текста).  Но  на  такие  "доводы  королей"   есть
тектонический ответ пушки, стреляющей "по диаметру земли".

                          Сцена 8. Комната Гамлета

     С. 137. "...Укрыт в укромном месте".
     "Safely stowed".

     В оригинале: "Надежно спрятан". Но где? Эту загадку не  разгадывают  ни
Розенкранц с Гильденстерном, ни шекспироведы.
     Под лестницей в замках устраивали туалеты. См. с. 258-259.

                          Сцена 9. Комната короля

     С. 139. "Так пораженный орган отсекают или не лечат вовсе".
     "...diseases desperate grown by desperate appliance  are  relieved,  or
not at all".

     В дословном переводе Михаила Лозинского:

                      ...Отчаянный недуг
                      Врачуют лишь отчаянные средства
                      Иль никакие.

     Из этого следует, что Клавдий - радикал. К конструктивной и планомерной
работе он не способен.

     С. 141. "Последуйте за ним, пока не поздно".
     "Follow him at foot..."

     Буквально: "Следуйте за ним по  пятам..."  Это  первая  фраза  монолога
короля, в котором он называет вещи своими именами и приказывает  английскому
королю убить Гамлета. См. с. 275-277.

                             Сцена 10. Равнина

     С. 142. "Ступайте и скажите королю..."

     См. примечание к с. 67 на с. 221.

     С. 145. "...изящный мальчуган..."
     "...delicate and tender prince..."

     Принц Гамлет никогда не видел принца Фортинбраса, но  представляет  его
по себе - нежным и изящным. Более странных характеристик подобрать для того,
чье  имя  в  переводе  с  французского  означает  "Сильная  рука",   видимо,
невозможно.
     В этом последнем из философских монологов Гамлета (дальше ему будет  не
до высоких материй!) Шекспир показывает ту иррациональную логику, по которой
его герой пытается самого себя уговорить на действие. Гамлет чувствует,  что
все в нем противится мести, поэтому логика его самоуговоров такова: вот ради
выеденного яйца двадцать тысяч мужчин идут на бессмысленную бойню. (Гамлет в
десять раз увеличивает цифру, только что им самим и названную.) Значит, и я,
мол, должен сделать то бессмысленное, против чего восстает все мое существо.



                          Сцена 1. Комната короля

     С. 146. "Беседовать я с нею не хочу".
     "I will not speak with her".

     По Второму кварто сцена начинается с того, что  к  королеве  с  доносом
приходят два шпиона: Некий Придворный  (Gentleman)  и  Горацио.  По  Первому
фолио Горацио приходит один. Подробнее см. с. 272-273.

     С. 149. "Надеюсь, все будет хорошо. Надо только потерпеть".
     "I hope all will be well. We must be patient: but I cannot  choose  but
weep, to think they should lay him i' the cold ground. My brother shall know
of it: and so I thank you for your good counsel. Come, my coach! Good night,
ladies; good night, sweet ladies; good night, good night".

     Речь Офелии станет понятна, если допустить,  что  соблазненная  девушка
ждет ребенка. См. с. 249-255.

     С. 150. "Последуйте за нею по пятам. Прошу вас!.."
     "Follow her close; give her good watch, I pray you".

     Мы уже знаем, что  такие  высказывания  Клавдия  заканчиваются  смертью
того, за кем идут "по пятам" или "совсем близко". (См. прим. к с. 141 на  с.
228.) Сразу после этой  королевской  просьбы  и  следует  ремарка:  "Горацио
выходит", а король-отравитель говорит о "яде печали", которым  после  смерти
отца отравлен ум Офелии. Подробнее об этом на

     с. 275-277.

     С. 755. "Ты должен петь  все  ниже,  ниже...  И  звать  его  все  ниже,
ниже..."
     "You must sing a-down a-down, An you call him a-down-a".

     Офелия поет это двустишие Лаэрту, предсказывая, что он  спрыгнет  в  ее
могилу и зазовет туда Гамлета. Второй смысл пророчества в  том,  что  именно
Лаэрт предложит королю намазать свою рапиру ядом и убьет жениха Офелии.

     С. 156. "Славный Робин, мой малыш, - Вся радость моя".
     "For bonny sweet Robin is all my joy".

     В оригинале Робин назван милашкой (славным милым). Офелия потеряла отца
и жениха. Понятно, что поет она вновь о пассажире той кареты, где лошадкой -
сама Офелия.

                          Сцена 2. Комната Горацио

     Мы предполагаем, что перед этой сценой следовала интермедия,  возможное
описание которой мы включили в наш перевод (с. 158), а обоснование  помещаем
в приложении к переводу (см. статью ""Гамлет".  Поэтика  загадок"  и  статью
"Формула Шекспира"). Впрочем, интермедия  могла  быть  и  более  лаконичной:
скажем, развесив венки, Офелия уходила за сцену, а через мгновение появлялся
Горацио и выливал воду из своей обуви.

     С. 158. "И кто же говорить со мною хочет?.."
     "What are they that would speak with me?"

     Из этой сцены мы узнаем, что  Горацио  уже  живет  во  дворце.  Еще  мы
узнаем, что, оказывается, Горацио  никто  во  всем  мире  не  любит.  Кроме,
разумеется, Гамлета.

                          Сцена 3. Комната короля

     С. 160. "...Была вершиной нашего столетья".
     "Stood challenger on mount of all the age..."

     Разница  с  мировосприятием  Гамлета,  для  которого  "время  вывихнуло
сустав", слишком очевидна, чтобы ее комментировать.

     С. 167. "Вы знаете поваленную иву..."

     Приведем по оригиналу этот фантастический монолог Гертруды:

              There is a willow grows aslant a brook,
              That shows his hoar leaves in the glassy stream;
              There with fantastic garlands did she come
              Of crow-flowers, nettles, daisies, and long purples
              That liberal shepherds give a grosser name,
              But our cold maids do dead men's fingers call them:
              There, on the pendent boughs her coronet weeds
              Clambering to hang, an envious sliver broke;
              When down her weedy trophies and herself
              Fell in the weeping brook. Her clothes spread wide;
              And, mermaid-like, awhile they bore her up:
              Which time she chanted snatches of old tunes;
              As one incapable of her own distress,
              Or like a creature native and indued
              Unto that element: but long it could not be
              Till that her garments, heavy with their drink,
              Pull'd the poor wretch from her melodious lay
              To muddy death.

     См. с. 277.

                             Сцена 4. Кладбище

     С. 169. "Если человек идет к воде и топится, значит, он  сам  идет.  Но
если не он к воде, а вода к нему, значит, он  не  утопился,  но  вовсе  даже
утоплен. Поэтому, кто не виноват в своей смерти, тот  не  сокращал  и  своей
жизни".
     "...if the man go to this water, and drown himself,  it  is,  will  he,
nill he, he goes, mark you that; but if the water come to him and drown him,
he drowns not himself: argal, he  that  is  not  guilty  of  his  own  death
shortens not his own life".

     Могильщик попадает в точку. Офелия  не  утонула,  ей  помогли  утонуть.
Прием случайного попадания Шекспир еще дважды использует в "Гамлете". И  все
три раза связаны с Офелией. Так и Лаэрт начинает ей  читать  свою  мораль  с
образа набухающего плода ("For nature, crescent, does not grow alone..."), а
Гамлет, тоже не зная, что Офелия беременна, выговаривает  ее  отцу:  "Земные
плоды благословенны, но не когда они зреют в чреве вашей дочери".

     С. 179. "Кого это они хотят зарыть по усеченному обряду?.."
     "...who is this they follow? And with such maimed rites?"

     Горацио не сказал Гамлету, что Офелия мертва, ведь этим он  мог  выдать
себя. Естественно, он сделал вид, что его в Эльсиноре в тот  момент  уже  не
было. Любопытно, что Горацио вообще никак не обнаруживает своего отношения к
этой смерти. А ведь он так заботился об Офелии...

     С. 183. "Такой же бред, как в комнате моей".
     "This is mere madness: and thus awhile the fit will work on him..."

     Королева боится Клавдия и вновь прикидывается дурочкой.  Эту  роль  она
играет очень умно.

     С. 183. "Я должен вас, Горацио, просить хотя бы малость присмотреть  за
принцем".
     "I pray you, good Horatio, wait upon him".

     Горацио на службе. При этом заметим, что король не  сказал  "Следуй  за
ним по пятам". Он понимает, что Горацио  с  Гамлетом  справиться  не  может,
кроме того, план с отравленным клинком и бокалом уже  близок  к  реализации.
Присмотреть же за Гамлетом надо, чтобы он ничего не учудил до поединка.

                            Сцена 5. Зал в замке

     С. 187. "Однако ничего себе король!.."
     "Why, what a king is this!"

     Гамлету приходится оправдываться перед Горацио за то, что  он  отправил
на смерть Розенкранца и Гильденстерна. Горацио сам наведет его на эту  тему.
Аргументацией  Гамлета  он,  видимо,  будет  удовлетворен,   поскольку   она
оправдывает, в частности, и убийство Офелии:
     "Они нашли занятие по вкусу и этим сами смерть себе избрали. Их кровь -
она на них, а не на мне. Ничтожество должно блюсти приличья, а  не  соваться
меж двумя клинками, когда противники дерутся насмерть..."

     С. 188. "Знакомство с ним - уже род недуга. Он... животное".
     "Thy state is the more gracious; for 'tis a vice to know him.  He  hath
much land, and fertile: let a beast be lord of beasts, and  his  crib  shall
stand at the king's mess: 'tis a chough; but, as  I  say,  spacious  in  the
possession of dirt".

     Озрик  (по  догадке  петербургского  режиссера   и   сценографа   Марка
Борнштейна) придерживается нетрадиционной сексуальнаой ориентации.  То,  что
мы перевели выражением "род недуга", в оригинале звучит  как  "порок".  Весь
дальнейший текст самого Озрика и гамлетовская пародия на него дают основания
полагать, что тот род "надутого пустословия", которое демонстрирует Озрик, и
впрямь может быть окрашен  в  голубые  тона.  Однако  доказать  это  мне  не
представляется возможным.
     При этом в "Гамлете"  есть  гомосексуальная  парочка.  Таковы  школьные
приятели Гамлета - Розенкранц (немецкая его фамилия переводится как Венок из
Роз) и Гильденстерн (по-немецки это  можно  понять  как  искаженное  Золотая
Звезда, но по-английски stern - зад). И потому  фамилию  Гильденстерн  можно
перевести как Златозад или Златогуз. Внимательный читатель сам  обнаружит  в
тексте "Гамлета" как минимум три подтверждения этой нашей трактовки.

     С. 196. ГАМЛЕТ: Известно, дядя, только то, что вы поставили на слабого.
     КОРОЛЬ: Пустое. Я видел, как фехтуете  вы  оба,  хотя,  конечно,  не  в
пример тебе, Лаэрт не прекращал своих занятий...
     HAMLET: Very well, my lord your grace hath laid the odds o' the  weaker
side.
     KING CLAUDIUS: I do not fear it; I have seen you both: but since he  is
better'd, we have therefore odds.

     На примере этого фрагмента можно показать, насколько  опасно  брать  на
веру самые невинные слова шекспировских персонажей: именно Гамлет  ежедневно
занимался фехтованием после отъезда Лаэрта в Париж (с. 194).
     Король во всей пьесе не скажет другим ни слова правды. Он лишь  "меняет
личины". Да несколько раз случайно проговаривается.
     В  планы  Горацио  гибель  Гамлета  не  входит,  поэтому  он   пытается
расстроить поединок. И  все  же  Клавдий  оказался  прав:  "по  молодости  и
благородству" Гамлет так и не понял, что бой с Лаэртом - западня.

     С. 198. "КОРОЛЕВА: Он взмок и дышит очень тяжело..."
     "QUEEN GERTRUDE: He's fat, and scant of breath..."

     М. Морозов переводит это "Он тучен и задыхается" и в примечании (Э 264)
пишет: "Он тучен". - Довер Вильсон толкует "He's fat" - "Он вспотел".  Такое
толкование  представляется  нам  крайне  искусственным.  Тем  более,  что  у
Шекспира в других местах нигде и ни разу слово fat не встречается в значении
"потный".
     Это ошибка, из-за которой  в  русской  переводческой  традиции  принято
считать, что Гамлет толст, коротконог и т.  д.  Тем  более  что  в  сцене  с
Озриком Гамлет говорит о себе: "И, однако, здесь очень  душно  и  жарко  для
моей комплекции". Но Гамлет открыто издевается над Озриком, и из этих  слов,
скорее всего, следует, что, толст именно  Озрик,  а  не  Гамлет.  Кстати,  в
"Генрихе IV" есть выражение "fat room"  -  душная,  запотевшая  комната.  До
московского режиссера Дмитрия Крымова никто  не  обращал  внимания  на  один
весьма простой факт: королева,  умирая,  сама  сообщает  Гамлету,  что  вино
отравлено. Значит, она поняла, что за "жемчужину" бросил в вино  Клавдий,  и
выпила кубок,  спасая  сына  (и  одновременно  кончая  счеты  с  собственной
жизнью).

     С. 202. "И не просите, благородный принц!  Я  сердцем  римлянин,  а  не
датчанин. Тут есть еще на донце..."
     "Never believe it: I am more an antique Roman than a Dane:  here's  yet
some liquor left".

     В этой сцене Шекспир делает  отсылку  к  последней  сцене  собственного
"Юлия Цезаря": это там "идейный предатель" Брут кончает с  собой,  кинувшись
на меч, который держит его слуга. После этого у Шекспира слуга  переходит  к
победителям.

                                                                А. Ю. Чернов




                               Андрей Чернов



                                 Words. Words. Words. - Слова. Слова. Слова.
                                 Word. Sword. Swords.  - Слово. Меч. Мечи.

     Комментируя "Повесть временных лет", Д.С. Лихачев заметил, что  княгиня
Ольга в своей мести древлянскому князю Малу действует по фольклорному канону
свадебных испытаний. Она предлагает послам-сватам  загадки,  которые  те  не
умеют разгадать. И потому гибнут. Признаться, я менее всего полагал, что это
поразившее своей очевидностью лихачевское наблюдение может  пригодиться  при
сочинении комментария к стихотворному переводу "Гамлета".
     Мировую поэзию (и, может статься, культуру вообще) можно  рассматривать
как борьбу "ясного" и "темного" стилей. Скажем, для XII в. _темный стиль_  -
черта  всей  ойкумены  (это  "магическая  темнота"   скальдов,   то   же   у
миннезингеров и трубадуров, то же самое у автора "Слова о  полку"  и  т.  д.
вплоть до "трудного языка" Низами). Это в начале XIII в.  Руставели  скажет,
что будет писать ясным языком, и дело пойдет  к  Возрождению  с  его  прямой
перспективой в живописи и прочими радостями пока еще  юного  и  обаятельного
рационализма. Но Шекспир - реакция на Возрождение, и "Гамлет" написан тем же
_темным стилем_.
     Наверное, если б у меня не было тридцатилетнего опыта работы с _темным_
"Словом о полку...", я б никогда не увидел  в  "Гамлете"  того,  что  назвал
поэтикой загадок.
     _Темный_ - вовсе не значит бессмысленный. В XIII в.  Снорри  Стурлусон,
автор "Младшей  Эдды",  так  заканчивает  свою  книгу:  "Созвучны  и  слова,
означающие гнев и корабль. К  подобным  выражениям  часто  прибегают,  чтобы
затемнить стих, и это называется двусмыслицей... Подобные  слова  можно  так
ставить в поэзии, чтобы возникала  двусмыслица  и  нельзя  было  понять,  не
подразумевается ли что-то другое, нежели то,  на  что  указывает  предыдущий
стих". {С. Стурлусон. Младшая Эдда. Л.,  1970,  с.  179.  О  _темном  стиле_
поэтов Европы и Азии, живших в XII в., см. мою работу "Поэтическая полисемия
и сфрагида автора в "Слове о полку Игореве" (в  сб.  Исследования  "Слова  о
полку Игореве". Отв. редактор Д.С. Лихачев. Ленинград, 1986).}
     Традиционное  литературоведение  было  столь  далеко  от  сих  "темных"
предметов, что просто не обращало на них внимания. Не случайно в  "Разговоре
о Данте" Мандельштам советует поэзии грызть ногти, ибо ей отказывают в праве
на "четвертое  измерение",  отказывают  в  "элементарном  уважении,  которым
пользуется любой кусок горного хрусталя".
     В русской поэзии XX в. я знаю два аналога шекспировской  поэзии  ("Ода"
Мандельштама 1937 г. и  "Поэма  без  героя"  Анны  Ахматовой).  В  советском
кинематографе едва ли не  единственным  аналогом  шекспировской  драматургии
стал "Мой друг Иван Лапшин" Алексея Германа.
     Заметим,  что  во  всех  трех  случаях  обращение  к  "темному   стилю"
спровоцировано самим предметом повествования - жизнью  под  властью  тирана.
Как и у Шекспира, у Германа каждая самая незначительная деталь  поляризована
смыслом. Скажем, герой не может поднять гирю в тридцать  пятый  раз,  и  это
знак,  что  он  не  доживет  даже  до  тридцать  шестого:  его  отзовут   на
"переподготовку". И потому, расходясь с дня рождения Лапшина,  чекисты  поют
не что-нибудь, а такое: "В последний раз на смертный бой //  Летит  стальная
эскадрилья..."
     Для героев Германа эпизод с гирей и марш, который они хором запевают, -
ординарный  фон  их  быта,  но  для  самого  Германа  -  темный  и  строгий,
математически расчисленный инфернальный порядок.
     Надежда  Яковлевна  Мандельштам  вспоминала,  что  в  1937   г.   Осипу
Эмильевичу впервые  в  жизни  потребовался  стол,  за  которым  он  сидел  с
карандашом "прямо как Федин какой-то!".
     Через шестьдесят шесть лет, 5 марта 2003 г.,  в  дружеском  застолье  в
Петербургском  Интерьерном  театре,  где  мы  с  друзьями  поминали  Сталина
негромким  и  недобрым  словом,  Николай  Беляк  захотел   прочитать   "Оду"
Мандельштама. А перед чтением сказал, что в ней есть какой-то  шифр.  Потому
что стихи настоящие, со звуком, и, казалось  бы,  бессмысленная  строка  "На
шестиклятвенном просторе" словно на что-то намекает...

                      ...На шестиклятвенном просторе.
                      И каждое гумно и каждая копна
                      Сильна, убориста, умна - добро живое -
                      Чудо народное! Да будет жизнь крупна.
                      Ворочается счастье стержневое.
                      И шестикратно я в сознаньи берегу...

     Итак, в крайних строчках две шестерки. Если это отсылка к Числу  Зверя,
то между двумя шестерками должна быть еще одна... А она и есть,  ведь  перед
нами шестая строфа "Оды".  Да  и  само  число  строк  в  заповедном  отрывке
(включая, разумеется, крайние строки-сигналы) - тоже шесть.
     Про что же "Ода"? Читаем дальше:

                      ...Уходят вдаль людских голов бугры:
                      Я уменьшаюсь там, меня уж не заметят,
                      Но в книгах ласковых и в играх детворы
                      Воскресну я сказать, что солнце светит...

     Переведем на прозаический:  меня  убьют  вмести  с  ушедшими  в  лагеря
(Большой Террор начался не с 1937-го и не с убийства Кирова в  1934-м,  а  с
раскрестьянивания России в 1929 г.), но  я  воскресну,  чтобы  сказать,  что
добро есть добро, а зло - зло.
     Писательское  начальство  в  30-х  было  чутким  к  стиху,  оно  что-то
заподозрило и решило "Оду" не публиковать.
     Ставский сказал, что стихи "слишком сложные". Однако он  и  представить
не мог, сколь был близок к истине:

                      когда б я уголь взял для высшей похвалы
                      для радости рисунка непреложной
                      я б воздух расЧЕРТил на хитрые углы
                      И ОСторожно, И тревожно
                      чтоб настоящее в ЧЕРТах отозвалОСЬ
                      в Искусстве с дерзОСтью гранИча,
                      я б рассказал о том, кто сдвинул мИра ОСЬ
                      СТА сорока народов чтя обычай
                      я б поднял брови малый уголок
                      и поднял вновь и разрешил ИНаче...

     Перед нами поэтический  шифр.  Уже  четвертая  строка  "Оды"  заключает
анаграмму имени ИОС-И-/Ф/.
     А строкой выше и строкой ниже читается слово, в  общем-то  малоуместное
по отношению к  вождю  первого  в  мире  социалистического  государства,  но
впервые употребленное Мандельштамом по  поводу  Сталина  еще  в  1929  г.  в
"Четвертой прозе".
     В пятой, шестой, седьмой, восьмой и десятой строках вновь: ОСЬ - И-ОС-И
- И-ОСЬ - СТА...Л ИН.
     Слово "черт" в "Оде" зашифровано шестикратно (и, значит,  сознательно):
расЧЕРТил - ЧЕРТах - оТца РеЧЕй упрямых - завТра из вЧЕРа -  ЧЕРез  Тайгу  -
ЧЕм искРенносТь.
     Вот зачем Мандельштаму нужен был стол и карандаш.
     "Шестиклятвенный простор" -  реминисценция  из  любимого  Мандельштамом
"Слова о полку Игореве", это там "шестикрыличи"-соколы парят на  ветрах.  На
том же "Слове" Мандельштам шифровал и раньше. Вот стихотворение  "10  января
1934":

                   Меня преследуют две-три случайных фразы.
                   Весь день твержу: печаль моя жирна...
                   О Боже, как жирны и синеглазы
                   Стрекозы смерти, как лазурь черна...

     Не верьте поэтам на слово. Ничего себе "две-три случайных  фразы..."  -
пушкинское "Печаль моя светла..." и из "Слова": "Печаль  жирна  течет  среди
земли Русской".
     В "Стансах" (1935 г.)  он  позволил  себе  прямо  назвать  источник  (а
литературоведы все равно не заметили!):

                    И не ограблен я, и не надломлен,
                    Но только что всего переогромлен...
                    Как Слово о полку, струна моя ТУГА,
                    И в голосе моем после удушья
                    Звучит ЗЕМЛЯ - последнее оружье -
                    Сухая влажность ЧЕРНОЗЕМНЫХ ГА!

     "Слово": "...А восстонал, братья, Киев  ТУГОЮ,  а  ЧЕРНИГОВ  напастьми,
тоска разлилась ПО РУССКОЙ ЗЕМЛЕ, печаль жирна течет среди земли Русской.  А
князья сами на себя крамолу куют..."
     Сталин ждал покаяния поэта  за  стихи  "Мы  живем,  под  собою  не  чуя
страны..."
     Он даже звонил Борису Пастернаку и спрашивал, мастер ли Мандельштам?
     Пастернак  рассказал  Мандельштаму  о  том  звонке,  и  Осип  Эмильевич
прокомментировал: "Боится, что мы нашаманим..."
     Выходит, Сталин своим страхом перед поэтом сам и  подсказал  тому,  что
надо сделать. Сковав собственную  крамолу,  Осип  Мандельштам  поступил  как
древний скальд, сочиняющий  "выкуп  головы"  (был  такой  жанр,  когда  поэт
выкупал свою голову у правителя сочинением хвалы  тому),  но  вписывающий  в
стихи магическое проклятье.
     В начале 1937 г. Мандельштам написал не панегирик, а страшные  стихи  о
тиране, "жнеце рукопожатий", о его жертвах и о  себе,  "медленном  свидетеле
труда, борьбы и жатвы".
     Последний образ тоже из "Слова  о  полку  Игореве":  "На  Немиге  снопы
стелят головами, молотят цепами харалужными, на току жизнь кладут,  отвевают
душу от тела, Немиги кровавые берега не добром были засеяны, засеяны костьми
русских сынов..."
     Так что не прав современный комментатор, утверждающий, что  Мандельштам
начал эти стихи "из страха и  желания  спастись,  но  постепенно  увлекся...
Человек тридцатых годов не был убежден в своей человеческой правоте, чувство
правоты у него сочеталось с чувством вины, а кроме  того  -  гипноз  власти,
особенно - сталинский гипноз. Эти  стихи  -  лишь  наиболее  полное,  но  не
единственное свидетельство колебаний и сомнений Мандельштама".
     Не было ни колебаний, ни сомнений.
     Был поединок поэта и "рябого черта".



     Можно выделить семь основных свойств темного стиля:
     1. Смысл сквозь смысл - это игра словом,  в  своем  простейшем  виде  -
каламбур или двусмыслица (см. выше  мнение  Снорри  Стурлусона).  Скажем,  в
"Слове о полку Игореве" читаем: "Ту пиръ  докончаша  храбрый  русичи,  сваты
попоиша..." В глаголе "доКОНЧАша" звучит и слово "чаша", и имя хана Кончака,
который и впрямь был сватом Игоря Святославича. А во время побега  из  плена
Игорь сначала оборачивается горностаем. Почему? Да  потому,  что  обернуться
другим существом можно только по некоторому с ним сходству (в данном  случае
по  созвучию):  "Тогда  Игорь  князь  поскочИ  ГОРЬностаемъ  къ  тростию..."
(Подобные примеры и в "Гамлете" многочисленны.)
     2. Чужая цитата - отсылка цитатой или реминисценцией к контексту чужого
текста. Это позволяет включить в  свой  смысл  описанную  у  другого  автора
ситуацию. В "Гамлете" таковы библейские  реминисценции  (см.,  например,  то
место, где Гамлет цитирует Полонию "О Иеффай, судья израильский...").
     3. Своя цитата - включение в текст речевой самохарактеристики героя или
отсылка к чему-либо ранее произошедшему.
     4. Очная ставка высказываний - параллельность двух  фрагментов  текста,
выявляющая неявный их смысл, а иногда и просто ложь персонажа.
     5. Расчлененная информация - такой способ  повествования,  при  котором
читатель должен сам собрать цепочку информационного кода, вычленив ее звенья
из разных частей текста.
     6.   Парадоксализация   обыденного   -   выворачивание   наизнанку    и
переосмысление устоявшегося в культуре клише или знака.
     7. Анаграммирование - концентрация смыслов на уровне сгущения  звуковых
ассоциаций, шифровка сакрального имени в несакральном тексте.
     Анализ текста, который  предлагает  нам  классическое  шекспироведение,
этой системы смыслообразования не  учитывает.  Из-за  этого  и  складывается
впечатление, что "Гамлет" изобилует условностями и противоречиями. Но это те
противоречия, которые мы сами и приписали тексту.
     Резонный вопрос: а почему англичане не замечают, что  "Гамлет"  написан
темным стилем!
     Да потому же, почему русский читатель, слыша из уст Клавдия слова "...я
еще не гнусь!", считает, что "гнусь"  -  глагол,  а  не  существительное.  И
только дойдя до фразы Лаэрта "Ты, гнусь и негодяй, отца отдай!", может быть,
один из ста читатели замечает игру.
     Впрочем,  как  утверждал  молодой  режиссер  Гамлет,  пьесы  пишутся  и
ставятся для одного-единственного (на весь зал) настоящего зрителя.



     В каждой шекспировской трагедии  есть  как  минимум  одна  загадка,  не
разгадав которую, герой терпит поражение. Так Ромео выпивает яд после мнимой
смерти юной своей возлюбленной. Так Отелло,  считающий  Яго  "честнейшим  из
людей", губит Дездемону и самого себя. Так Лир не понимает своих дочерей.
     "Король Лир" написан Шекспиром сразу после "Отелло", а  "Отелло"  вслед
за "Гамлетом". Однако в "Гамлете" загадки буквально на  каждой  странице.  И
только здесь их фон составляет то, что можно назвать "поэтикой загадок".
     На поэтике загадок строится мифологическое мышление человека,  особенно
древнего и средневекового. Думаю, что Шекспир, обращаясь к  повествующему  о
принце Амлете сюжету Саксона Грамматика,  сознательно  сгустил  концентрацию
загадочного. Амлет жил и действовал во времена викингов, и хотя Шекспир, как
справедливо  указывают  его  комментаторы,  по  сути  переносит  действие  в
современную ему Англию, именно "поэтика загадок" создает тот аромат архаики,
который столь ощутим  в  "Гамлете".  Вспомним,  что  сама  поэтика  скальдов
основана не на метафорах и "образах", а на загадках-кеннингах. Шекспир мог и
не знать этого, но, избрав  материалом  архаическое  предание,  он,  видимо,
ориентировался  на  фольклорную  стихию   (главным   образом   деревенскую),
сохраняющую многие Древние традиции и поверья.
     По большей части загадки "Гамлета" остаются не  только  неразгаданными,
но, увы, даже и незамеченными.  И  хотя  многие  исследователи  и  режиссеры
говорят о "загадочности" именно этой пьесы  Шекспира,  самих  загадок  в  ее
тексте, как правило, просто не видят.
     О "Гамлете" известно, что это:
     - самая знаменитая пьеса Шекспира и мировой драматургии вообще;
     - самая длинная и самая сложная трагедия Шекспира;
     - и, разумеется,  -  самая  загадочная  ("самая  слабая",  если  верить
Элиоту).
     Авторский ключ к "Гамлету" был потерян, поскольку:
     - До нас не дошло авторской рукописи.
     - Нет подготовленного автором издания. А те, что  есть  (обе  кварты  -
Первая  1603   г.   и   Вторая   1604   г.)   сделаны   пиратским   способом
(стенографическая запись  из  зала  либо  издание  по  списку  с  украденной
суфлерской копии). Посмертное издание (Первое фолио, 1623 г.) -  также,  как
полагают некоторые шекспироведы, напечатано с суфлерской копии.
     - Нет ни прижизненных рецензий, ни мемуаров современников о  постановке
"Гамлета" в "Глобусе". Неизвестна  даже  дата  премьеры.  А  первый  биограф
Шекспира (Роу) появился только в начале XVIII века.
     - Шекспир-драматург писал для Шекспира-режиссера. Ремарки  в  "Гамлете"
скупы и неполны. В тексте нет  интермедий  (у  Марло  есть!).  Отсутствие  в
опубликованных  текстах  ремарок  и  интермедий  можно  объяснить   желанием
Шекспира сохранить пьесу от тиражирования конкурентами.
     - Шекспир умирает в 1616 г. В 1642 г. начинается Английская  революция.
Две гражданские войны (1642-1646 гг. и 1648 г.), казнь Карла  I  (1649  г.),
семь лет военной диктатуры Кромвеля (с 1653 г.) и восемнадцать  лет  запрета
театров (вплоть до реставрации Стюартов в 1660  г.).  Вспомнили  о  Шекспире
лишь через полвека после его смерти.
     Итак, три издания с "текстом слов" и  наше  незнание  авторской  версии
происходящего на сцене. При такой ситуации ключом  к  "Гамлету"  может  быть
только сам текст. Будем же исходить из презумпции его художественности  (как
в подобных случаях советовал поступать Д.С. Лихачев). Кажущаяся  невнятность
и темнота текста - скорее всего, свидетельство  нашего  непонимания  поэтики
"Гамлета", и ссылки на "условность" шекспировского театра тут  не  проходят,
ибо этого театра мы как раз и не знаем.
     Шекспировский зритель просто бы не выдержал действия,  логику  которого
он не был бы в состоянии проследить. Все, что  прямо  не  следует  из  слов,
должно было компенсироваться (и даже комментироваться) игрой актера.  Задача
исследователя - выделить темные места и определить, составляют ли они  некую
систему. Мы должны, как сказал  бы  Полоний,  понять  логику  шекспировского
"безумия" и, опираясь на текст, произвести реконструкцию авторского замысла.
Нас должны интересовать не собственные трактовки или "режиссерские находки",
а то, что Владимир Набоков, столь многому научившийся  у  Шекспира,  называл
"узором Мнемозины".
     В прямом и буквальном (то есть фольклорном) виде загадка встречается  в
"Гамлете" лишь однажды. Вот как Первый могильщик общается со Вторым:

     ПЕРВЫЙ: Кто строит крепче каменщика, корабельщика и плотника?
     ВТОРОЙ: Тот, кто виселицы строит. Она всех своих жильцов переживет.
     ПЕРВЫЙ: А ты шутник. Виселица тут хорошо подходит. А почему? А  потому,
что она подходит каждому, кто дурно поступает. И тебе тоже, раз ты считаешь,
что виселица крепче церкви. Ну, давай, еще попытайся...
     ВТОРОЙ: Кто, значит, строит крепче плотника, каменщика и корабельщика?
     ПЕРВЫЙ: Ну да, ответь и малость передохни с непривычки.
     ВТОРОЙ: А вот возьму и отвечу!
     ПЕРВЫЙ: Ну?
     ВТОРОЙ: Вот привязался... Ну, не знаю.
     ПЕРВЫЙ: Дурень, мозги свернешь. А когда другой  раз  спросят,  отвечай:
могильщик. Дома, которые он строит, достоят До Страшного Суда. Ладно, сгоняй
к Иогену, принеси от него кувшинчик. (V, I) {*}
     {* Здесь и далее перевод автора этих заметок не  оговаривается.  Ссылки
даны по традиционному пятиактному членению текста.}

     Впрочем, именно с загадки Бернардо начинается первая сцена трагедии:

     БЕРНАРДО: Кто здесь?
     ФРАНЦИСКО: Нет, сам ответь. Стой и открой себя.
     БЕРНАРДО: Долгой жизни королю!
     ФРАНЦИСКО: Бернардо?
     БЕРНАРДО: Он. (пер.  М.Морозова.  См.  М.Морозов.  Избранные  статьи  и
переводы. М, 1954)

     Речь стоящего на посту Франциско выдает некоторую  его  неадекватность.
Видимо, он просто спит, и Бернардо  будит  его  своим  вопросом.  Во  всяком
случае Франциско узнает сменщика лишь после того, как тот произносит  фразу,
более похожую на тост, чем на пароль: "Долгой жизни королю!" (Long live  the
king!) (О пьянстве часовых в карауле говорится и в "Отелло".)
     Если так, то жалобы  Франциско  на  холод  и  скверное  самочувствие  -
замечательный    образчик    самооправдания     напившегося     на     посту
стражника-наемника.
     О том, что в Эльсиноре  все  пьют,  начиная  с  короля,  Гамлет  дважды
говорит Горацио (2 и 4 сцены  I  акта).  А  королева  намекает  на  пьянство
солдатни в сцене своего объяснения с Гамлетом:

                And, as the sleeping soldiers in the alarm,
                Your bedded hair, like life in excrements,
                Starts up, and stands on end. (Ill, 4)

     В подстрочном переводе: "И как спящие солдаты по тревоге,  твои  гладко
уложенные волосы, точно жизнь в ее  же  испражнениях,  прорастают  и  встают
дыбом..."
     Во времена Шекспира волосы укладывали при помощи  подогретого  пива,  а
словом "excrements" называли отжимки,  оставшиеся  в  решете,  и  еще  любые
физиологические выделения, в том числе и блевотину. (Впрочем, как указал мне
Сергей Николаев,  есть  и  другое  значение  слова  excrement  -  "отросток,
вырост". Оба они  ученые  заимствования  из  латыни.  Excrement  "выделение,
испражнение" производное от латинского глагола ехсегпо "отделять", а  это  -
от excresco "отрастать". Так что перед нами еще один образчик  шекспировской
игры словом.)
     Пьяный Франциско нужен драматургу Шекспиру для двух  целей:  во-первых,
нам сразу показали степень разложения режима,  во-вторых,  с  самого  начала
предъявили ту иррациональную формулу человеческого общения, по которой герои
будут воспринимать речи  и  поступки  друг  друга.  Ни  малейшего  шанса  на
взаимопонимание у них нет: Гертруда выйдет  замуж  за  убийцу  своего  мужа;
Офелия посчитает Гамлета сумасшедшим, согласится шпионить за ним и  передаст
его письма Полонию; Гамлет прикинется сумасшедшим и тем "заразит" Офелию, он
разгадает Розенкранца и Гильденстерна, но не поймет,  что  есть  Горацио;  а
благородный Лаэрт, пойдя на сделку с королем, сам предложит  смазать  острие
рапиры ядом.

     Начинаясь с загадки, первая сцена загадкой  и  заканчивается.  Вот  что
говорит другой стражник, Марцелл: "Я вас умоляю... этим утром я знаю, где мы
без труда найдем его" (I pray; and I this morning know  //  Where  we  shall
find him most conveniently).
     До  этого  Марцелл  загадывает  Горацио  загадку   о   смысле   военных
приготовлениий, а Бернардо произносит крамольные слова о том,  что  покойный
государь - "причина войны". (Чем сильно смущает Горацио, из чьей  витиеватой
речи он и сделал столь справедливое умозаключение.)
     И именно  Бернардо  загадочно  исчезает  из  пьесы  после  разговора  с
Гамлетом. Хотя и обещает принцу прийти в караул...
     В первой же сцене Горацио разгадывает две  загадки:  о  смысле  военных
приготовлений и о том, что  предвещает  явление  Призрака.  Угадывает  он  и
правильный английский перевод французского имени Фортинбраса (Сильная рука).
И дает довольно точный психологический портрет норвежского принца:  "Молодой
Фортинбрас, человек горячего и еще не обработанного опытом  нрава..."  Этого
достаточно, чтобы зритель ждал продолжения предложенной ему игры.



     Суть любой загадки в том, что каждая вещь может прикинуться  не  собой.
Вещь, но если верить Гамлету, - не человек. Об этом  он  и  говорит  матери:
"Кажется, госпожа? Нет, есть. Мне незнакомо слово "кажется"".
     Перед датским принцем стоят две загадки:
     - Причина смерти отца. (Ее раскроет Призрак.)
     - Кто есть Призрак - покойный отец или похитивший его обличив  нечистый
дух? Если второе, то этот дух лжет, чтобы погубить душу самого Гамлета.
     Чтобы найти правильный  ответ,  Гамлет  ставит  на  эльсинорской  сцене
"Мышеловку". Во время действия  король  узнает  на  сцене  себя  и,  мучимый
совестью,  покидает  зал,  а  принц  делает  вывод,  что  к  нему   приходил
действительно его отец и, значит, все сказанное Призраком -  правда.  Однако
шекспировский текст дает основания полагать, что Гамлет  просто  некорректно
поставил свой вопрос. К нему действительно приходит отец, но  отец  приходит
из ада, где он лишен собственной воли. (См. примечание к с. 47 на  с.  220.)
При этом отец  пытается  (тоже  загадкой)  дать  Гамлету  понять,  что  дело
нечисто, предупреждает, что, выслушав, Гамлет должен будет мстить. Гамлет не
понимает. Тогда отец еще раз описывает ему свое положение (ночью  он  должен
бродить по земле, днем гореть в серном  пламени),  говорит  о  "тайне  своей
темницы",  о  заклятии,  которое  не  может  переступить.  Гамлета  это   не
интересует. Ему нужна не тайна мироздания, а тайна смерти отца, то  есть  он
не  только  не  разгадывает  загадку   Призрака   (при   весьма   прозрачной
подсказке!), но даже не осознает, что ему загадали загадку.
     Главная тайна ада - имя его победителя. То  есть  Христа.  Это  и  есть
"легчайшее слово", способное преобразить душу Гамлета. Увы, Гамлет этого  не
понимает. А если так, то становятся понятны и слова, сказанные Гамлетом  при
последнем появлении отца:

                                      Do not look upon me;
                 Lest with this piteous action you convert
                 My stern effects: then what I have to do
                 Will want true colour; tears perchance for blood. (III, 4)

     Переведем:

                    ...Отец, не надо так глядеть, не то
                    Разбудишь ты не мужество, а жалость.
                    И с чем же я тогда останусь, папа?
                    Растает ледяная эта глыба,
                    И я не сделаю того, что должен.
                    ...А вместо крови - слезы потекут.

     Старый Гамлет, который под пыткой вынужден произносить то,  что  должно
погубить душу сына, глазами показывает Гамлету, что тот не должен верить его
речам. (Так во все  века  поступают  на  очных  ставках  те,  кто  не  хочет
предавать своих товарищей.) Гамлет видит этот взгляд, но  не  понимает  его.
Ему не приходит в голову, что отец может говорить  правду  о  своей  гибели,
действуя не по своей доброй воле, а по злой чужой. Поэтому Гамлет пропускает
мимо ушей предупреждение отца, перечеркивающее  все  его  призывы  отомстить
Клавдию.

     По Шекспиру ад - это когда человек  вынужден  поступать  против  своего
желания и воли, неся гибель окружающим его людям,  даже  самым  близким.  Во
власти ада Гамлет оказывается при жизни: убив Полония, он сделал сумасшедшей
Офелию, отправил на смерть Розенкранца и  Гильденстерна,  лишился  матери  и
убил Лаэрта. Постепенно Гамлет все больше становится похож на своих  врагов.
Уже и покойный отец должен заступаться перед ним за неверную свою супругу. А
в последней сцене Гамлет вынужден лгать Лаэрту, списывая убийство Полония на
свое мнимое сумасшествие.

     - Загадка для зрителя (и для самого Гамлета), почему принц так медлит с
мщением. Трус? Слабый нерешительный меланхолик? Да нет, просто Гамлет должен
сделать нечто противное его чистому сердцу. И честно  пытается  изнасиловать
собственную душу.

     - Гамлет не догадался,  почему  Офелия  согласилась  шпионить  за  ним,
почему отдала его письмо своему отцу. Эту загадку должны разгадать  зрители.
В  пьесе  же  ее  разгадает  только  следователь,  который   осмотрит   тело
утопленницы. Что же он мог обнаружить такое,  что  заставило  церковь  пойти
против  светской  власти  (абсолютной  власти  Клавдия)   и,   несмотря   на
распоряжение короля хоронить  Офелию  как  христианку,  отменить  исполнение
реквиема и  пение  поминальных  молитв?  Единственная  возможная  причина  -
установленная следователем беременность покойницы. Только это могло привести
к вопросу, а не разыграла ли Офелия свое сумасшествие, чтобы этим  оправдать
свою беременность? И не утопилась ли она из страха грядущей огласки?  Только
этими сомнениями церковников  можно  объяснить,  почему  Офелию  хоронят  по
"усеченному обряду" и почему ее могилу  "должны  были  забросать  камнями  и
битой посудой".

                                   Лаэрт

                                             Еще
                    Обряды будут?

                                 Священник

                                   Все, что позволяет
                    Устав церковный, мы произвели.
                    Но эта смерть сомнительна. И если б
                    Не указанье свыше - то, что строже,
                    Чем даже и церковные каноны! -
                    Лежать бы ей в земле неосвященной
                    До Страшного Суда. Взамен молитв
                    Покойную - ну точно б! - забросали
                    Каменьями да битою посудой...
                    А так - чего ж еще? - нам разрешили,
                    Ну как при отпевании девицы,
                    Гирляндами украсить Божий храм,
                    Позволили цветы бросать в могилу
                    И колокольный звон - не отменили!

                                   Лаэрт

                    Еще обряды будут?

                                 Священник

                                       Сожалею.
                    Мы только б осквернили панихиду,
                    Пропев заупокойные молитвы
                    И реквием, поскольку здесь нельзя
                    Просить упокоенья со святыми,
                    Как просим мы за всех, почивших с миром.
                    Таков порядок.

                                   Лаэрт

                                   Опустите гроб.
                    Не далее, чем будущей весною,
                    Вот здесь, где мы стоим, взойдут фиалки -
                    Земной залог невинности ее.
                    И помни, подлый поп, моя сестра
                    На небе станет ангелом, а ты,
                    Ты будешь выть в пучине ада!.. (V, 1)

     Заметим, что  священник  не  называет  Офелию  самоубийцей.  Почему  же
"смерть ее сомнительна"?
     Да потому, что так решил следователь. (Об этом нам сообщат эльсинорские
могильщики.) Слова священника "как  при  погребении  девушки..."  -  ключ  к
разгадке. Лаэрт прекрасно понимает, на что намекает  священник,  и  пытается
пророчить, что весной на этой могиле взойдут фиалки. Взойдут и  тем  докажут
невинность Офелии.
     Загадка Офелии не разгадана ни возлюбленным, ни братом, ни  отцом.  Меж
тем Офелия сама пыталась подсказать Гамлету:

                                   Офелия

                    Милорд, вы присылали мне подарки,
                    И я давно хотела их вернуть,
                    Позвольте же...

                                   Гамлет

                                     Ну, тут я ни при чем!
                    Я никогда не делал вам подарков.

                                   Офелия

                    Вы делали, и знаете прекрасно,
                    Что именно... Подарки и слова,
                    Столь нежные, что и подарки ваши
                    От этих самых слов благоухали...
                    Теперь, когда их аромат утрачен,
                    Поскольку ваша кончилась любовь,
                    Свои слова берете вы назад,
                    А, значит, заберите и подарки!..

     По оригиналу:

     OPHELIA: My lord, I have remembrances of yours,
     That I have longed long to re-deliver;
     I pray you, now receive them.
     HAMLET: No, not I;
     I never gave you aught.
     OPHELIA: My honour'd lord, you know right well you did;
     And, with them, words of so sweet breath composed
     As made the things more rich: their perfume lost,
     Take these again; for to the noble mind
     Rich gifts wax poor when givers prove unkind.
     There, my lord. (III, 1)

     Гамлет не понял загадки Офелии: "подарки" - это не просто ласки. Это их
следствие.
     Тут мы вынуждены поставить вопрос, а есть ли в пьесе  указание  на  то,
что Гамлет и Офелия - любовники? Есть, и не одно.

     "Где Гамлет наш - ну как сказать? - ночует".
     "I pray; and I this morning know
     Where we shall find him most conveniently..." (I, 1)

     Заключительное двустишие первой сцены остается за наивным Марцеллом:
     По переводу М. Морозова: "Я знаю, где нам всего  удобнее  повидаться  с
ним сегодня утром".
     Информированный Марцелл (охранять замок, а значит, и следить за ночными
передвижениями по нему  -  его  работа)  выдает  тайну  Гамлета  только  что
приехавшему в Эльсинор Горацио. Кому, как не  Марцеллу,  знать,  что  поутру
Гамлета и впрямь можно встретить  в  непосредственной  близости  от  комнаты
Офелии?

     "Так, набухая, вызревает плод..."
     "For nature, crescent, does not grow alone..." (I, 3)

     Я счел возможным так перевести следующие строки:

     For nature, crescent, does not grow alone
     In thews and bulk, but, as this temple waxes,
     The inward service of the mind and soul

     В переводе М. Морозова:
     "Ибо природа, развиваясь, растет не только в отношении крепости мышц  и
размеров тела..."
     Но Лаэрт говорит сестре совсем не о грехе чревоугодия.

     "Держите ее в тени. Земные плоды благословенны, если они  не  зреют  во
чреве вашей дочери..."
     "Let her not walk i'the sun: conception is a blessing: but not as  your
daughter may conceive". (II, 2)

     Гамлет, как ранее Лаэрт, сам того не понимая, попадает точно в яблочко.
Оба они так никогда и не узнают, что Офелия беременна.

     "Ага, ты называешь это способ любви. Ну-ну..."
     "Ay, fashion you may call it; go to, go to..." (I, 3)

     Полоний в силу своей натуры не может отважиться  на  прямой  вопрос,  а
потому вынужден лишь гадать, сколь далеко зашли отношения Офелии и  Гамлета.
Неглупая Офелия знает отца и знает, как надо отвечать,  чтобы  сберечь  свою
тайну.

     "Сударыня, я лягу к вам в ноги?"
     "Lady, shall I lie in your lap?" (III, 2)

     С этого места Гамлет мстит Офелии, ибо считает  ее  поведение  изменой.
Вспомним, что она отдала письма Гамлета отцу и согласилась шпионить за своим
возлюбленным. Отсюда и начинается чреда его  скабрезностей,  не  оставляющих
сомнений в характере их былых отношений:

     HAMLET: Do you think I meant country matters?
     OPHELIA: I think nothing, my lord.
     HAMLET: That's a fair thought to lie between maids' legs.
     OPHELIA: What is, my lord?
     HAMLET: Nothing.
     OPHELIA: You are merry, my lord.

     В подстрочном переводе:

     ГАМЛЕТ: Вы думаете, я хотел сказать непристойность?
     ОФЕЛИЯ: Ничего я не думаю, милорд.
     ГАМЛЕТ: Чудная мысль лежать между ног у девицы.
     ОФЕЛИЯ: Что такое, милорд?
     ГАМЛЕТ: Да уже ничего.
     ОФЕЛИЯ: Вы все шутите, милорд.

     В этом контексте гамлетовское "Nothing"  означает  не  то,  что  Гамлет
испугался строгого вопроса Офелии (мол, ничего я такого не хотел  сказать!),
а то, что Офелия уже не девица, о чем им обоим лучше всех и известно. Дальше
Гамлет уже не будет знать удержу: речь пойдет и о том, что  Офелии  пришлось
бы изрядно постонать, чтобы притупить жало Гамлета, и  о  позах,  в  которые
Офелии  надо  "не  постесняться  встать,  а   актер   не   постесняется   их
растолковать".
     Цель оскорблений, которыми Гамлет осыпает Офелию, - разрыв с  предавшей
возлюбленной.

     "Надеюсь, все будет хорошо. Надо только потерпеть. Но как  не  плакать,
когда его положат в холодную землю? Мой брат должен об этом  узнать.  Он  об
этом узнает. Спасибо вам за хорошую мудрость. Пойдем, моя  карета.  Покойной
ночи, леди. Покойной ночи, милые леди. Покойной ночи, покойной ночи".
     "I hope all will be well. We must be patient: but I cannot  choose  but
weep, to think they should lay him i' the cold ground. My brother shall know
of it: and so I thank you for your good counsel. Come, my coach! Good night,
ladies; good night, sweet ladies; good night, good night". (IV, 5)

     Этот короткий, но весьма темный  монолог  звучит  сразу  после  песенки
Офелии  про  Валентинов  день.  Речь  Офелии  станет  осмысленной,  если  мы
допустим, что соблазненная девушка ждет ребенка.  (Избежать  беременности  в
такой ситуации можно в жизни, но не в трагедии.)
     Офелия  в  ее  "священном  безумии"  получает  дар  пророчества.  Лаэрт
ошибается в том, что она якобы живет памятью. Офелия  видит  не  прошлое,  а
будущее.
     Офелия говорит не о Полонии, которого уже похоронили. На  тему  убитого
отца Офелия говорить не хочет, о чем она только что и сказала королю. И не о
брате, ибо брат прямо назван здесь в другом контексте. И не о Гамлете (о нем
песенка про пилигрима). Это о том, что понятно всем "милым леди": о  будущем
ребенке, которого положат в землю с ней  и  в  ней  самой.  Впрочем,  как  и
подобает матери, она о себе не думает.
     Здесь употреблено библейское слово "мудрость", а не  светское  "совет".
"Good counsel" -  это,  надо  полагать,  то,  что  в  западной  христианской
традиции называется  "Evangelical  counsels"  (Евангельские  советы),  среди
которых добровольная нищета, добродетель и послушание старшим. Лишь тот, кто
следует Евангельским советам, и может рассчитывать на Царствие Небесное.  За
эту  истину  Офелия  и  благодарит  собравшихся,  понимая,  что   ей   "надо
перетерпеть" всего лишь от смерти до воскресения. (Это  наблюдение  сообщено
мне переводчицей Анной Макаровой в частной беседе.)
     И еще об одной фразе из этого загадочного монолога Офелии.
     Офелия обращается к  себе:  "Пойдем,  моя  карета!"  (Или:  "Сюда,  моя
карета!")  Кажется,  о  смысле  этого  выражения  догадался   только   Борис
Пастернак. Однако без комментария и  у  него  звучит  не  очень-то  понятно:
"Поворачивай, моя карета!"
     "Come, my coach!" нельзя перевести как "Подайте мне карету!".  У  карет
конца XVI века не было поворотных  устройств.  Чтобы  повернуть,  надо  было
остановиться, взять за торчащее сзади дышло и развернуть зад кареты в нужную
сторону. Пластика такого действа, видимо, напоминала современникам  пластику
беременной женщины, которая впереди себя несет свой живот, а  если  сидит  и
хочет развернуться, то сначала  поворачивает  таз,  а  после  уже  живот.  В
метафоре Офелии карета - живот, лошадь - женщина, пассажир - ребенок.
     В пьесе от убийства Старого Гамлета прошло  четыре  месяца  (по  словам
Офелии). Менее чем через месяц по смерти мужа Гертруда уже  вышла  замуж  за
Клавдия (по словам Гамлета).
     Горацио приехал в Эльсинор, узнав о кончине отца Гамлета.  Так  он  сам
говорит. Но жил не в замке, а, надо полагать, в городе и Гамлета  не  видел.
Значит, принц Гамлет был в Эльсиноре,  когда  Клавдий  убил  брата.  Другими
словами, Гамлет уехал из Виттенберга раньше Горацио, еще до смерти отца.  Но
влюбился в Офелию и застрял в Эльсиноре. Значит, Офелия может  быть  уже  на
сносях.
     Офелия сошла с ума не потому,  что  ее  любимый  убил  ее  отца.  Такая
ситуация горька и трагична, но в  ней  нет  того  электрического  замыкания,
которое поражает мозг и душу и  не  оставляет  жертве  возможности  здравого
действия, скажем, ухода в монастырь. Офелия сходит с  ума  потому,  что  _ее
отца убивает отец ее будущего ребенка_.
     Даже самые  профессиональные  комментаторы  Шекспира  подчас  столь  же
наивны в отношении Офелии, сколь бывают наивны отцы в отношении своих горячо
любимых дочерей. Приведу цитату из комментария А.Н. Горбунова: "Как  заметил
Дженкинс, и эта песня рассказывает  о  несчастной  любви.  Молодой  человек,
соблазнив  девушку,  бросил  ее.  В  песне  случилось  то,  о   чем   Офелию
предупреждали отец и брат, прося избегать Гамлета. Ирония состоит в том, что
на самом деле их страх оказался напрасным - Гамлет отверг любовь Офелии".
     Здесь едва ли не каждое слово  хочется  комментировать  восклицательным
или вопросительным знаком. Но вместо этого просто закончим  цитату:  "Однако
были комментаторы и режиссеры, которые усматривали здесь намек на физическую
близость Гамлета и Офелии. Мейерхольд, например,  хотел  показать  Офелию  в
этой сцене беременной" (Горбунов, с. 625).

     "Славный Робин, мой малыш, - вся радость моя..."
     "For bonny sweet Robin is all my joy". (IV, 5)

     В оригинале Робин назван милашкой (славным и  милым).  Офелия  потеряла
отца и жениха, но об отце она говорить отказывается, а о Гамлете поет совсем
другую песенку: "Ах, как мне милого узнать..." Из этого следует, что Робин -
это и есть пассажир той самой кареты, у которой лошадкой сама Офелия.
     Робин добрый малый  -  домашний  сельский  эльф,  фольклорный  герой  и
персонаж шекспировской пьесы "Сон  в  летнюю  ночь".  Там  он  больше  всего
напоминает мальчишку-проказника.
     Эльфы - духи воздуха.
     Робин - малиновка, небольшая певчая красногрудая птичка. (Другое ее имя
- robin redbreast.) Очевидно, что само имя "Робин" ассоциировалось с детской
душой, а в контексте драмы Офелии - с нерожденным ребенком. И, надо полагать
(по  аналогии  с  русским  поверьем  о  том,  что   утопленницы   становятся
русалками), в позднесредневековой Англии должно было  существовать  поверье,
согласно которому души  неродившихся  (а  значит,  и  некрещеных)  младенцев
становились эльфами.

     - Гамлет разгадывает тайну приезда Розенкранца и Гильденстерна  ("А  за
вами не посылали?.. Увязли, голубчики!"). И, пройдя это испытание,  остается
жив.

     - Гамлет не разгадывает тайну возвращения в Эльсинор  Горацио.  Как  не
разгадывает и тайну натуры Горацио (разгадка - в имени), хотя сам  и  играет
этим именем: "Эгей, хо, Горацио!" (What ho! Horatio!). (III, 2)

     - Загадку Фортинбраса (она  в  имени,  ведь  по-французски  это  значит
"Сильная  рука")  Гамлет,  в  отличие  от  Горацио,   не   разгадывает.   Он
представляет Фортинбраса по  собственной  мере  (оба  молоды  и  оба  принцы
крови):  "изящный  и  нежный  принц,  дух  которого  подвигнут  божественным
честолюбием".

     - Тайну своей высылки Гамлет тут же раскрывает. И вновь остается жив:

     КОРОЛЬ: Гамлет, ради  твоей  же  безопасности,  которая  столь  же  нам
дорога, сколь и прискорбен твой проступок, ты должен бежать  отсюда  быстрее
огня. Снаряжайся - и в путь. Корабль под парусами. Спутники готовы. В Англии
тебя ждут.
     ГАМЛЕТ: В Англии?
     КОРОЛЬ: Да, Гамлет.
     ГАМЛЕТ: Хорошо.
     КОРОЛЬ: Ты мог бы так сказать, если б видел наши намерения.
     ГАМЛЕТ: Я вижу ангела, который их  видит.  Ладно,  пусть  -  в  Англию.
Прощайте, матушка. (IV, 3)

     Розенкранц и Гильденстерн этой загадки не разгадывают и потому гибнут.

     - Гамлет не разгадал загадку "поединка" с Лаэртом  (это  не  спортивное
состязание, даже не дуэль, а убийство!), потому что подвоха ждет от  короля,
но не от "благородного юноши". То есть  не  разгадал  самого  Лаэрта  и  его
коварства.
     А ведь Лаэрт сам предложил королю смазать клинок ядом.

     - Гамлет не разгадал, кто спрятался за ковром в комнате матери, и  убил
Полония,  тем  самым  предопределив  всю  дальнейшую  череду  насильственных
смертей.



     - Загадку своего сумасшествия Гамлет заранее открыл Горацио и Марцеллу.
Офелии Гамлет тоже пытается подсказать:

                Не seem'd to find his way without his eyes;
                For out o'doors he went without their helps,
                And, to the last, bended their light on me. (II, 1)

     По Морозову: "Он, казалось, без глаз находил дорогу; без их  помощи  он
вышел из двери, все время устремляя их  свет  на  меня".  Вторая  попытка  -
монолог "Быть или не быть?..", произнесенный специально для  Офелии.  Офелия
поняла только то, что принц и впрямь спятил:

                                   Офелия

                                             О, Боже!
                     Принц, как себя вы чувствуете, принц?

                                   Гамлет

                     Спасибо за участие. Отменно.

     По оригиналу:
     OPHELIA: Good my lord,
     How does your honour for this many a day?
     HAMLET: I humbly thank you; well, well, well. (III, 1)

     Чтобы разгадать загадку сумасшествия Гамлета, беременная Офелия и  идет
на предательство.

     - Король разгадывает, куда Гамлет спрятал тело  Полония.  Розенкранц  и
Гильденстерн - нет.

     "Укрыт в укромном месте..."
     "Safely stowed". (IV, 2)

     В оригинале: "Надежно спрятан". Но дело совсем не  в  том,  что  Гамлет
почему-то не хочет говорить, где именно он спрятал тело Полония. Он говорит,
но  его  загадку  не  разгадывают  ни  Розенкранц   с   Гильденстерном,   ни
шекспироведы.
     Шпионам короля Гамлет сообщает, что смешал тело с "прахом".

     ROSENCRANTZ: What have you done, my lord, with the dead body?
     HAMLET: Compounded it with dust, whereto 'tis kin.

     Зато загадку Гамлета в следующей сцене тут же разгадывает король,  едва
Гамлет сообщает, что Полоний сам себя обнаружит через  месяц,  когда  король
пойдет по лестнице в переднюю.
     Под лестницей в замках (а до XIX века и во дворцах) устраивали туалеты,
а если у обитателей были индивидуальные ночные  вазы,  именно  здесь  обычно
ставили бочку с парашей.

     - "Убийство Гонзаго" (специально для короля Гамлет придумывает и другое
название этой пьесы - "Мышеловка") - эдакая _провоцирующая загадка_.  Король
ее разгадал. И  выжил,  поскольку  пошел  к  себе  и  стал  молиться.  Убить
молящегося Гамлет не смог.  Во  время  представления  "Мышеловки"  и  Гамлет
разгадал Клавдия.



     Покажем, как пользуется "темным стилем" Шекспир.
     К примеру, нигде  не  сказано,  сколько  лет  Гамлету.  Но  вот  Гамлет
спрашивает, давно ли  могильщик  работает  могильщиком?  Тот  отвечает,  что
"взялся за дело как раз в  тот  день,  когда  наш  покойный  король  победил
Фортинбраса". Гамлет переспрашивает: "А когда это было?" Могильщик  удивлен:
"Разве не знаете? Да это скажет каждый дурак. В  тот  день  родился  молодой
Гамлет".
     Могильщик так и не ответил на вопрос. Но потом  все-таки  проговорился:
"Я служу здесь могильщиком, подмастерьем и мастером тридцать лет".
     Перед нами простейший случай "расчлененной информации".
     Таким же образом можно отгадать и  загадку  происхождения  Горацио.  На
вопрос Франциско "Стой, кто идет?" Горацио отвечает:  "Друзья  этой  страны"
(то есть он сам и еще Марцелл, который, кстати, тут же уточняет: "И  вассалы
короля Дании"). Идут не подданные (то есть датчане), но  "друзья",  то  есть
иноземцы-наемники. И Горацио - один из этих друзей-вассалов.
     Он не стражник, он соплеменник стражников.
     Потому-то  приехавшему  из   университета   ученому   земляку   простые
швейцарские парни и открывают, что на эспланаду стал наведываться призрак.
     Кто  охраняет  Эльсинор,  мы  можем  сразу  догадаться,  но   если   не
догадаемся, Шекспир нам подскажет устами Клавдия, когда  тот  завопит:  "Где
мои швейцарцы?"
     В  средние  века  Швейцария  входила  в  Священную   Римскую   империю.
Фактическую  независимость  страна  получает  в  1499  г.  (Юридически   это
произошло лишь в 1648 г.  по  Вестфальскому  миру.)  Но  уже  в  XIV-XV  вв.
Швейцария становится поставщиком наемных войск для стран Западной Европы.
     Имя Горацио оканчивается на "о".  Это  типично  итальянское  окончание:
Паоло, Леонардо, Джакомо, Доменико и т.  д.  У  нас  так  звучат  украинские
фамилии Матвиенко, Диденко... И если в анекдоте действует сержант Сидоренко,
то никому не придет в голову уточнять, что он малоросс.
     А вот латинизированные имена с окончанием "us" для автора  "Гамлета"  -
знак общеевропейской цивилизации. Латынь в шекспировские времена  была  тем,
чем для нашего века  стал  английский.  И  стражник  "Марцеллус"  -  хоть  и
швейцарец, но не итальянец.
     Горацио - такой же итальянский швейцарец,  как  его  приятели-стражники
Франциско и  Бернардо.  Сюда  же  следует  отнести  и  шпиона  Рейнальдо,  и
начальника канцелярии Клавдия - Клавдио.
     Обратим внимание на этот ряд: стражники, шпионы, канцелярские крысы. Он
не слишком политкорректен, но в средневековой Европе швейцарцев  ненавидели,
ибо именно  они  были  профессиональными  наемниками  при  дворах  монархов.
(Русское "швейцар" - это первоначально именно об охраннике-швейцарце.)
     Сергей Николаев справедливо обратил мое внимание на то, что традиционно
швейцарские наемники были выходцами из Немецкой Швейцарии. Почему же у троих
из  четырех  (включая  Горацио)  приятелей-швейцарцев   в   пьесе   Шекспира
"итальянские" имена? Да потому, что в 1587 г.  шесть  католических  кантонов
Швейцарии заключили сепаратный "дружеский союз" с Филиппом II  Испанским.  И
если бы не гибель "Непобедимой Армады", католический реванш на кончике копий
католиков-швейцарцев   (прежде   всего   итальянского   происхождения)   мог
дотянуться и до Англии
     "Гамлет" пишется за четыре-пять лет до окончания Англо-Испанской войны.
И у соплеменников Шекспира есть все  основания  опасаться  коварства  именно
итало-швейцарцев, ведь Швейцария стала плацдармом католицизма в  Центральной
Европе, и союз ее с Испанией и Папой Римским мог привести  к  всеевропейской
войне, реставрации католицизма в странах Центральной  и  Северной  Европы  и
переделу карты Европы.
     Только в последней сцене  трагедии  Горацио  говорит,  что  он  "больше
древний римлянин, чем датчанин". Перед нами случай,  в  котором  работают  и
"расчлененная информация", и "своя  цитата",  ведь  устами  Горацио  Шекспир
делает отсылку к собственному "Юлию Цезарю".
     Шекспир в год рождения Кромвеля (1599 г.)  угадал  грядущее.  И  потому
Гамлет говорит, мол, признаюсь тебе, Горацио, уже года три  я  замечаю,  что
носок  крестьянина  стал  натирать  пятку  дворянина.  Дело  идет  к   краху
привычного мироустройства. Вновь обратимся  к  истории  Англии:  в  1596  г.
крестьянские волнения прокатились по Оксфордширу и начались голодные бунты в
городах и селах Кента, а также в Восточной и Западной Англии. (На  основании
этого мы можем заключить, что поставленный в сезон  1600/1601  гг.  "Гамлет"
писался в  1599  г.,  то  есть  на  самом  пике  эсхатологических  ожиданий,
традиционных в Средневековье для конца любого столетия".)
     Горацио - герой новейшего времени, уже наступающего по всем  фронтам  и
потому натирающего изнеженную пятку старой монархической Европы.
     "Эпоха вывихнула сустав".  На  смену  фанатикам  пришли  новые  люди  -
политики и _функционеры_.
     Так автор "Слова о полку Игореве", описывая свои  "изнаночные  времена"
("На ничь ся годины обратиша" Д.С. Лихачев переводил как "наизнанку  времена
обратились"), тоже пророчил  гибель  Киевской  Руси.  По  его  слову  все  и
случится: от Каялы до Калки - те же сорок лет, что от "Гамлета" до Кромвеля.
     Горацио занимает Шекспира, открывшего то,  что  Бердяев  потом  назовет
"кризисом гуманизма". Еще три века до коммунизма и  фашизма,  почти  два  до
Робеспьера, но Кромвель уже бьет пятками в материнском чреве.
     И закономерно, что люди посткромвелевской эпохи не  захотели  узнать  в
Горацио того, кто им был показан и прямо назван по имени. И  мы,  живущие  в
той  же  историко-гуманитарной  парадигме,  тоже  не   хотим   верить,   что
современным миром правят те  же  Горацио  -  политиканы  и  мафиози.  Они  и
убивают-то не так, как убивали Каин и Клавдий.
     Ничего личного. Только бизнес.
     Или, как пел Андрей Миронов в "Обыкновенном чуде": "По обстоятельствам,
а не со зла..."
     Мы не разглядели эпической мощи человека-функции, хотя две  тысячи  лет
назад нас и предупредили об Антихристе, который и похож на Христа,  и  слова
станет говорить правильные, но будет "горд, уныл и сребролюбив".
     Четыреста лет  назад  о  том  же  пытался  сказать  человечеству  автор
"Гамлета". Уже первый монолог Горацио - пародия. Не  понимая  этого,  Михаил
Морозов стремится пригладить речь Горацио и перевести пародийно-канцелярский
монолог в "книжный" и "юридический". Но  и  ему  это  не  очень-то  удается,
поскольку  смеховая   структура   оказывается   сильней   благих   намерений
переводчика:

     "...Наш прежний король, чей образ только что явился нам,  был,  как  вы
знаете,  вызван   на   поединок   Фортинбрасом   Норвежским,   подзадоренным
завистливой гордыней. В этом поединке наш доблестный  Гамлет,  -  ибо  таким
почитала его эта сторона нашего исследованного  мира,  -  убил  Фортинбраса.
Последний, в силу скрепленного печатью соглашения,  вполне  соответствующего
закону о поединках, потерял  вместе  с  жизнью  все  захваченные  им  земли,
которые  перешли  к  победителю.  Со  своей  стороны,  нашим  королем   была
поставлена в заклад соответствующая доля  владений,  которая  перешла  бы  в
наследственную собственность Фортинбраса, если бы он  вышел  победителем,  -
точно так же, как по этому соглашению и содержанию указанной статьи его доля
перешла к Гамлету. И вот, сэр, молодой Фортинбрас, человек горячего и еще не
обработанного опытом нрава, по окраинам Норвегии, в разных местах, набрал за
пищу и пропитание некоторое число беззаконных головорезов, готовых на  любое
предприятие, требующее смелости. А это предприятие заключается,  как  вполне
ясно нашему правительству, в том, чтобы вернуть сильной рукой и  навязанными
условиями договора вышеупомянутые земли, потерянные его отцом..." (I, 1)

     В моем переводе:

                                           Я перескажу
                    Лишь то, что знаю или слышал сам.
                    Тот, кто нам в виде призрака являлся,
                    При жизни вызван был на поединок
                    Своим врагом заклятым Фортинбрасом
                    Норвежским, подстрекаемым гордыней
                    И завистью. И благородный Гамлет -
                    За благородство в данной части света
                    Пред ним и преклонялись - заколол-
                    таки надменного невежду... Но
                    Убитый должен был по договору,
                    Скрепленному печатями и прочим,
                    Погибнув, отказаться от претензий
                    На все, что он завоевал, а Гамлет,
                    Согласно содержанию статей
                    Того же договора, уступал
                    Такие же захваченные земли
                    Норвегу, если б тот его убил.
                    А ныне Фортинбрас, сын Фортинбраса,
                    Пустой юнец, ведомый самомненьем,
                    Призвал народ к отмщению, собрал
                    Толпу бродяг, готовых за похлебку
                    Хоть в пекло, и, употребив насилье -
                    О чем известно нашему правительству, -
                    Стальной рукой намерен возвратить
                    Те, вышеупомянутые земли.
                    Вот вследствие чего, друзья мои,
                    Теперь и Дания пришла в движенье...

     Вообразим, что таким языком стал бы говорить Гамлет... Впрочем,  именно
так он пародирует державный канцелярит, когда  пишет  на  корабле  подменное
послание английскому королю: "...поскольку король Англии является его верным
данником, поскольку между нами,  как  пальма,  должна  процветать  любовь  и
поскольку мир должен вечно носить свой венок из колосьев пшеницы и  являться
запятой между их взаимными дружескими чувствами..." (перевод М. Морозова). И
дальше сам Гамлет поясняет: "...и  тут  следовали  еще  многие  тяжеловесные
сравнения". (V, 2)
     Михаил Морозов комментирует: "_Тяжеловесные_ сравнения. -  Каламбур  на
словах as (как, поскольку) и ass (осел). Второй смысл -  тяжело  нагруженные
ослы. Гамлет издевается над глупостью стиля, полного напыщенных тяжеловесных
сравнений".
     Поскольку    шекспироведы    не    видят    ни    параллельности,    ни
взаимодополняемости  этих  двух  эпизодов,  они  признают  монолог   Гамлета
пародией (ведь Гамлет сам на это указал), а не менее пародийную речь Горацио
нейтральной книжной (а то и ученой юридической или даже "голосом предания").
(Хотя - или одно, или другое, или третье!) Но  умный  Бернардо  из  монолога
Горацио заключает, что Старый Гамлет "был и есть причина этих войн" ("...the
king that was and is the question of these wars"). Бернардо  пропустил  мимо
ушей все канцеляриты, весь стеб приятеля, и, выслушав  пародийную  трактовку
взвешенной официальной версии,  рассудил  просто:  если  это  Старый  Гамлет
вызвал Старого Фортинбраса на поединок  и  убил  его,  захватив  завоеванные
Фортинбрасом земли (не сказано ведь, что отняты  они  у  Дании!),  то  он  и
причина надвигающейся войны. И только услышав в  ответ  серьезное  замечание
Бернардо (который следил за содержанием, а не формой),  Горацио  понял,  что
допустил  политическую  неграмотность,   и   тут   же   засыпал   слушателей
прецедентами из античности.
     А "беззаконные  головорезы",  которые  "за  пропитание"  идут  в  армию
Фортинбраса? Это не народное предание, это агитпроп.
     Горацио ссылается не на молву, а на мнение  Клавдия.  Тот,  кто  завтра
станет единственным союзником Гамлета  в  его  борьбе  с  Клавдием,  сегодня
намекает  на  некую  свою  близость  к  власти:  "как  вполне  ясно   нашему
правительству...". При этом Горацио пока даже не вхож  в  королевский  замок
(иначе там он неминуемо встретил бы Гамлета, и во  второй  сцене  принцу  не
пришлось бы удивляться появлению однокурсника в Эльсиноре).
     Что ж, перед нами и  впрямь  "друг  этой  страны",  слуга  ненавидимого
датчанами режима. Хотя Горацио, в отличие от своих  земляков,  сам  не  взял
алебарду стражника, психологию  наемника  он  усвоил  отменно.  А  Гамлет  -
главный враг режима Клавдия. Недаром же мать просит его взглянуть  на  Данию
глазами друга: "And let thine eye look like a friend on Denmark". (I, 2)
     И только наивность принца, его "молодость и великодушие"  не  позволяют
ему разглядеть в бывшем однокурснике куда более изощренного  предателя,  чем
Розенкранц и Гильденстерн.
     Горацио говорит Гамлету: "I saw him once; he  was  a  goodly  king"  (Я
видел его однажды, он был добрый король - 1, 2).
     Когда это было? Можно догадаться, что Горацио  представлялся  покойному
королю, когда  прибыл  с  приятелями  из  швейцарской  деревни,  прозябающей
где-нибудь на берегу озера Лугано, чтобы  наняться  на  датскую  службу.  Но
узнал, что у короля сын учится в Виттенберге, и рванул по его душу, взяв при
этом труд передать принцу поклон, а то и письмо.  Ведь  не  зря  же  Горацио
говорит: "...he was a goodly king".
     Во всяком случае, ничего другого из текста пьесы не следует.



     Известно, что имя Горацио Шекспир взял из "Испанской  трагедии"  Томаса
Кида (написана около 1585 г. и опубликована  в  1594  г.).  Строки  из  этой
трагедии Шекспир пародирует устами Гамлета: "Ибо  если  королю  не  нравится
комедия, ну,  значит,  по-видимому,  она  ему,  черт  возьми,  не  нравится"
{перевод М.Морозова). А.Н. Горбунов в своем комментарии (У.Шекспир.  Гамлет.
Избранные переводы. М., 1985. с. 617) приводит пародируемые строки: "And  if
the world like not this tragedy // Hard is the hap of old  Hieronimo".  (IV,
1)
     Считается, что именно из "Испанской  трагедии"  Шекспир  заимствовал  и
стиль насыщенного драматизма "трагедии мести".
     "У Кида Горацио также преданный друг", - пишет А.Н. Горбунов.  По  ходу
пьесы кидовский Горацио влюбляется в невесту своего друга (впрочем, друг уже
убит и следит за этим с небес, сидя  над  сценой),  а  после  враги  убивают
Горацио  и  вешают  его  тело  на  дереве.  По  мнению  Е.Н.   Черноземовой,
высказанному в частной беседе, здесь вольно (или невольно) выстраивается  та
ассоциативная цепочка (повешенный на дереве - Иуда - Горацио),  которой  мог
воспользоваться Шекспир. Кстати, принято считать, что  не  дошедшая  до  нас
пьеса о Гамлете (так называемый "Пра-Гамлет") тоже принадлежала Киду.
     Попробуем  показать,  что  школьная  трактовка   образа   Горацио   как
"единственного и верного друга Гамлета" -  странное,  хотя,  может  быть,  и
закономерное недоразумение в истории шекспироведения. (Напомню, что  не  был
поставлен вопрос о том, как дошедший текст соотносится с  самой  пьесой,  то
есть с системой _авторских_ трактовок. Тех трактовок,  память  о  которых  в
гениальном произведении сохраняется в самом тексте.)
     Горацио Шекспира - такое  же  выворачивание  наизнанку  образа  Горацио
Кида, как "Мышеловка"  -  пародия  на  кидовский  прием  "сцены  на  сцене".
Пародируя  своего  предшественника,  Шекспир  из  преданного   друга   лепит
предателя.
     И это вполне объяснимо, ведь после заключения  в  1587  г.  "дружеского
союза" Испании и католических кантонов Швейцарии, "итальянское" имя  Горацио
стало для английского уха "вражеским".
     Шекспир любит давать своим героям "говорящие имена".  Принято  считать,
что  имя  Hamlet  восходит  к  древнегерманскому  слову  amlodi   -   мнимый
сумасшедший. У Саксона Грамматика и Бельфоре принца зовут Amleth(us).
     Офелия - от греческого прилагательного apheles  (простой,  прямодушный,
бесхитростный) с комичной заменой начального "А-" на "О-" (_прАстушка_, если
передавать эту игру по-русски).
     Фортинбрас (в переводе с французского) "сильная рука" (по-английски это
бы звучало strong-in-arm).
     Имя нормандского фехтовальщика Ламора, о  котором  король  рассказывает
Лаэрту, по Первому фолио звучит как "Смерть" (от французского la mort).
     Розенкранц - от немецкого Rosencrantz ("венок из роз"). Но  за  нежными
лепестками таятся шипы. (Речь не о букете, а о венке, и потому  параллель  с
терновым венком весьма прозрачна.) Кроме того,  роза  в  средние  века  была
символом молчания.
     Принято считать, что имя Гильденстерн - искаженное  немецкое  выражение
"золотая звезда". При этом на языке Шекспира guilder - голландский  гульден,
guild - гильдия, цех, союз. Но stern по-английски  -  корма,  зад,  задница.
(По-русски такая фамилия звучала бы Златозад; Рублевый Зад; Гильдия  Задниц.
Подробней см. на с. 233.)
     Имя Йорика как будто "склеено" из названий  двух  городов  -  Уорика  и
Йорка. (Шекспир родился в городе Стратфорд-онЭйвон в графстве Уорикшир.)
     А имя Озрика (Osric) явственно рифмуется с osier (ива). Именно  к  иве,
дереву скорби и смерти, в последнюю минуту своей жизни приходит и Офелия.
     А если так, то появление  Озрика  в  последней  сцене  подобно  явлению
ангела смерти.
     В пьесе лишь в одном месте  (но  дважды)  звучит  сдвоенное  междометие
"ho-ho!". В первый раз это происходит в диалоге Гамлета  и  Горацио.  Гамлет
только что узнал правду о смерти отца, и к тому же он раздражен на приятеля,
который пытался не допустить его поговорить с Призраком:

     HORATIO [Within] Hillo, ho, ho, my lord!
     HAMLET Hillo, ho, ho, boy! come, bird, come.

     Hoboy - гобой,  флейта.  Слово  это  французское  (=  hautbois),  а  из
итальянского заимствовано современное английское oboe.  Итальянское  oboe  -
тоже из французского hautbois. (В ремарке к "Мышеловке" это  слово  записано
как hautboys). В значении "флейта" впервые зафиксировано в 1579-80 гг., а  в
переносном значении, - вставка в клистир, мундштук  клизмы  зафиксировано  в
1616 г.: "Wilt thou give me another glister...  where's  thy  hoboy?".  Если
Гамлет,   обращаясь   к    Горацио,    играл    словечком,    пришедшим    с
итальяно-швейцарской родины последнего, то произносить эту фразу  он  должен
был так: "Hillo, ho, ho, o-boy!.."
     А в другой раз Гамлет обыгрывает имя Горацио так: "Эгей, хо, Хо-рацио!"
("What ho! Horatio!" - III, 2).
     Ключ к разгадке характера Горацио - также в самом имени "Horatio".
     Как заметил московский лингвист Антон Иваницкий, кроме слова "рацио"  в
имени "Горацио" звучит еще и словцо, бытовавшее в XVII веке  и  бытующее  до
сих пор:  whore  (шлюха,  проститутка).  При  этом  "w"  в  слове  whore  не
произносится. Слово whore (как глагол) употребляется и Гамлетом,  говорящим,
что Клавдий whored ("облядил") его мать.
     Антон Иваницкий продемонстрировал шекспировскую игру темным  стилем  на
двух примерах:

     Words. Words. Words. - Слова. Слова. Слова.
     Word. Sword. Swords. - Слово. Меч. Мечи.

     Как бы это ни произносилось в живой речи, перед нами  редчайший  случай
полной графической рифмы: не изменив ни буквы, мы внутри одного высказывания
получили другое.
     Сравнение слов с клинками  в  пьесе  звучит  трижды  (из  уст  Гамлета,
Клавдия и Гертруды), и этот гамлетовский каламбур, надо думать,  обыгрывался
на сцене, ведь в нем звучит предупреждение Полонию, который  и  погибнет  от
меча Гамлета  из-за  попытки  подслушать  его  слова.  (Скажем,  Гамлет  мог
схватиться за рукоять меча и трижды вонзить в пол клинок).
     Второй  пример  -  вероятное  поэтическое  осмысление  именно  датского
звучания слова Эльсинор - Helsingor (Хельсингер), в котором англичанин может
услышать и существительное hell (ад), и  sin  (грех),  и  gor,  которое  для
соплеменников Шекспира было созвучным родному  to  go  {*}.  (По-русски  это
милое местечко могло бы называться Адовратск.)
     {* Полагаю, что молодой Шекспир мог находиться в  Эльсиноре  в  составе
английского экспедиционного корпуса еще в  самом  начале  войны  с  Испанией
(1587-1604 гг.). Его знание Дании несравнимо лучше, чем, скажем, его  знание
Вероны,   которая,   как   Шекспир   считает,    расположена    где-то    на
средиземноморском побережье. По отношению к Эльсинору географических  ошибок
Шекспир не допускает. Более того, он представляет, что поляки отправлялись в
поход на датчан "в санях"  (по  льду  иногда  замерзающей  у  южных  берегов
Балтики), а норвежцы, для того чтобы напасть на тех же поляков, должны  были
получать разрешение у датчан на проход через их владения. Кроме того, Гамлет
говорит,  что  он  безумен  только  при   норд-норд-весте,   но   именно   с
северо-северо-запада, обогнув мыс Скаген, подходят к Эльсинору  по  проливам
Каттегата и Эрисуни корабли из Англии. Шекспир  представляет,  как  выглядит
королевский замок Кронборг, и помнит об  актуальной  для  XVI  в.  старинной
борьбе  Дании  с  Норвегией.  (Семилетняя  война   со   Швецией   окончилась
Штеттинским миром 1570 г. в пользу Дании. Норвегия была превращена в датскую
провинцию.) А если так, то становится понятно, почему мы ничего не  знаем  о
нескольких годах жизни Шекспира,  и,  может  быть,  стоит  искать  его  имя,
скажем, в списках английского военного  аудита  времен  гибели  "Непобедимой
Армады" в 1588 г., ведь сразу после этого Шекспир и объявляется в Лондоне.}
     Горацио -  человек  рацио  и  карьерист.  Да,  он  -  философ-стоик.  И
Макиавелли  такой  же  стоик.  Как  полагает  Сергей  Николаев,   стоическая
философия в ее возрожденческом восприятии и была максимально удобной  маской
для политиканства.
     Вспомним: "Горацио, ты с нами?" - "Лишь отчасти"  (А  piece  of  him  -
"кусок его"). Добавим, что он еще и "частично верит":  Horatio.  So  have  I
heard and do in part believe it. (I, 1). Но "отчасти  верить"  или  "отчасти
доверять" - значит и не верить, и не доверять. Человек,  который  отчасти  с
друзьями и способен частично верить, опасен в первую очередь  для  своих  же
друзей.
     А трогательная ложь Горацио про то, что Призрак прошел  "на  расстоянии
его жезла", а не алебарды Марцелла, которой по приказу  Горацио  и  измерили
расстояние до Призрака? Устами Горацио упоминая о жезле  короля,  Шекспир  и
обращает наше внимание на то, что Горацио не  рассказал  Гамлету,  как  лихо
рубили стражники тень отца принца.
     А попытка свалить все на петуха,  вспугнувшего  Призрака  (из-за  чего,
мол, тот и не открыл Горацио свою тайну)?
     Вот лишь некоторые штрихи к портрету Горацио:
     - Судя по поведению в пьесе, Горацио  не  друг  Гамлета  (хотя  сначала
Горацио аттестует себя слугой Гамлета, а тот возражает и называет его именно
другом - good friend). Горацио прав: он всего лишь слуга  и  fellow-student,
однокашник принца по университету (как Розенкранц и Гильденстерн -  школьные
однокашники).
     - Первое, что мы узнаем про Горацио, когда тот приходит к  принцу,  это
то,  что  Горацио,  по  мнению  Гамлета,   склонен   к   "mock"   (насмешке,
мистификации). По тексту понятно, что  Гамлет  приехал  в  Эльсинор  еще  до
смерти отца. Иначе бы он не спрашивал Горацио, что заставило того вернуться,
и Горацио, который оказался не готов к столь простому  вопросу,  не  отвечал
бы: "I came to see your father's funeral" (приехал увидеть  похороны  вашего
отца). На что Гамлет просит Горацио не насмешничать и не передергивать.
     От Виттенберга до Эльсинора полтысячи километров по прямой. Во  времена
Шекспира телеграфа не было, самолеты не летали, так что успеть  на  похороны
Старого Гамлета fellow-student никак не мог. Вот Гамлет и язвит: "I think it
was to see my mother's wedding" (я думаю, ты приехал посмотреть свадьбу моей
матери). Со смерти старого Гамлета прошло уже четыре  месяца  и  более  трех
месяцев с того дня, как Гертруда вышла замуж за  Клавдия.  Значит,  все  это
время Горацио при дворе не появлялся. Что он делал?  Мы  не  знаем.  Понятно
только, что он жил не в замке, а в городе, но почему-то сошелся с дворцовыми
стражниками-швейцарцами. И к Гамлету он приходит по конкретному делу.
     Но запомним, что Горацио сфальшивил в первом же  ответе  на  первый  же
вопрос Гамлета. За что тут же и был высмеян.
     - Не поверил Гамлет и тому, что Горацио был  отчислен  из  университета
из-за прогулов. Ибо "гулять" (прогуливать и пьянствовать) - не  в  характере
Горацио.
     - Горацио - человек, умеющий собирать и  анализировать  информацию:  он
недавно в Эльсиноре, но прекрасно осведомлен  о  событиях,  происходящих  не
только в Дании, но и в Норвегии. После объяснения Гамлета  с  отцом  Марцелл
спрашивает: "Как вы, принц?", а Горацио: "Какие новости?...  "  И,  получив,
ответ ("Прекрасные!"), торопит: "Говорите, милорд!"
     - В первой же своей реплике в пьесе Горацио аттестовал  себя  одним  из
"друзей этой страны" (friends to this ground). Сказано  в  шутку,  но  он  и
впрямь умеет то, чему никогда не научится Гамлет, которого  королева  просит
"взглянуть на Данию как друг" (...let  thine  eye  look  like  a  friend  on
Denmark). Подчеркнем, что шекспировское противопоставление Горацио и Гамлета
начинается с первого появления и первых слов виттенбергского гуляки.
     - Трусоват. Испугался вывода  Бернардо  "покойный  государь  -  причина
войны" (вывод логично следовал из рассказа самого Горацио) и  наплел  с  три
короба  лжепророчеств.  Перепугался,  когда  увидел  Призрака,   но   быстро
освоился, поняв, что Призрак не обращает на него внимания, а  значит,  лично
ему не опасен.
     - Убежден, что Призрак - это отец Гамлета,  но  попытается  не  пустить
Гамлета говорить с ним, мол, а вдруг отец  заманит  сына  в  пучину  или  на
скалу, там примет другой ужасный образ и подтолкнет к безумию?
     - Мечтает разбогатеть. Последний вопрос к Призраку: не прятал ли он при
жизни в землю сокровищ?
     - Хочет, чтобы Марцелл остановил Призрака, а когда видит,  что  это  не
удается,  приказывает  ударить  того  алебардой.  Гамлету  он  об  этом   не
расскажет, только обмолвится, что Призрак прошел "на расстоянии  его  жезла"
(а не алебарды Марцелла!): "within his truncheon's length". Другими словами,
если надо, то Горацио солдеет Гамлету даже при свидетелях.
     Перед нами метафора цареубийства, причем мистического,  посмертного.  И
совершено оно по  приказу  Горацио.  Суеверный  и  совестливый  Марцелл  это
чувствует, и  Горацио  довольно  неловко  пытается  перед  ним  оправдаться,
перекладывая вину на самого старого Гамлета: "И тогда  оно  вздрогнуло,  как
виноватое  существо,  услыхавшее  ужасный  призыв".  Гамлету  он   расскажет
совершенно противоположное:

     "Все же один раз, как мне показалось,  оно  подняло  голову  и  сделало
движение, как будто собиралось заговорить. Но как раз в это мгновение громко
запел петух, и при этом звуке оно поспешно  убежало  прочь..."  (перевод  М.
Морозова, I, 2).

     В разговоре с принцем поминать о "вине"  покойного  его  отца  неглупый
Горацио не станет.
     Полемизируя со мной в альманахе "Anglistica" (Э 9, Москва-Тамбов,  2002
г.), Игорь Шайтанов пишет, что приказ Горацио  бить  Призрака  алебардой  не
может быть метафорой цареубийства и что "алебарда - не  орудие  мистического
цареубийства,   а   испытания   мистического   существа,   орудие,   которым
воспользовались за неимением лучшего".
     Это правда. Но подняли  топор  на  безымянного  призрака,  а  попали  в
покойного короля. Вот признание Марцелла: "Мы не правы в отношении  к  нему,
столь величественному, когда грозим ему насилием.  Ибо  оно  неуязвимо,  как
воздух, и наши бесполезные удары превращаются в злостную насмешку  над  нами
самими" (перевод М. Морозова, I, 1).
     Такого же мнения и Клавдий, который жалуется Гертруде:
     "Шепот  о  случившемся,  который  мчит  прямой  наводкой  к  Цели  свой
отравленный снаряд по диаметру земли, как пушечный выстрел, еще, быть может,
пронесется мимо нашего имени и поразит лишь неуязвимый воздух"  (перевод  М.
Морозова, IV, 1).
     Вспомним еще и слова Клавдия, сказанные им Лаэрту:  "Божественная  сила
ограждает короля, и предательство способно лишь мельком  взглянуть  на  свою
цель, но не в состоянии поступить по своей воле" (перевод М.  Морозова,  IV,
5).
     Параллельность  этих  текстов   и   устанавливает   логическую   связь:
мистическое цареубийство - реальная революция.
     Марцелл, ударив Старого Гамлета алебардой, тут же понял,  что  совершил
что-то страшное. И не только потому, что  мертвый  король  сакрален  вдвойне
(как король и как дух), но потому, что акт осквернения чего-то  сакрального,
как и акт цареубийства, есть насмешка над тем, кто это совершает.
     Марцелл раскаивается, но  дело  сделано.  И  всем  не  по  себе.  Тогда
Бернардо и говорит, что причина ухода короля -  все-таки  петух,  и  Горацио
хватается за эту версию.
     Впрочем, пойманный на вранье или некомпетентности, Горацио всегда умеет
выкрутиться.

     ГОРАЦИО: Можно было, не торопясь, досчитать до ста.
     МАРЦЕЛЛ И БЕРНАРДО: Дольше, дольше.
     ГОРАЦИО: Не в тот раз, когда я видел его (перевод М. Морозова, I, 2).

     У него какое-то странное, отличное от других людей чувство времени:

     ГАМЛЕТ: Который час?
     ГОРАЦИО: Думаю, что без малого двенадцать.
     МАРЦЕЛЛ: Нет, уже пробило.
     ГОРАЦИО: Разве? Я не слыхал. Значит, приближается время,  когда  бродит
Призрак (перевод М. Морозова, I, 4).

     При этом Горацио знает, что надо сделать,  чтобы  понравиться  Гамлету.
Когда тот говорит,  что  Горацио  -  "самый  справедливый  изо  всех  людей,
известных ему", он  кривится:  "О  дорогой  милорд!..",  и  Гамлет  вынужден
оправдываться, мол, он не хотел льстить,  зачем,  мол,  льстить  бедняку,  у
которого нет дохода даже для того, чтобы кормиться и  одеваться.  По  версии
Гамлета Горацио не является рабом страстей, поэтому Гамлет допустил  его  "в
сердцевину своего сердца".
     Кроме Гамлета у Горацио во всем мире нет близких людей:  "Не  знаю,  из
какой части света может мне быть прислано приветствие,  если  не  от  принца
Гамлета" (перевод М. Морозова, IV, 6).
     После высылки Гамлета Горацио приходит с  доносом  на  Офелию.  По  так
называемому Второму кварто (издание 1604 г.)  -  с  неким  джентльменом,  по
Первому фолио (посмертное издание 1623 г.) - один. По Второму кварто он  сам
произносит слова: "'Twere good she were  spoken  with;  for  she  may  strew
dangerous conjectures in ill-breeding minds" ("Хорошо бы поговорить  с  ней,
так как она может посеять опасные предложения в злобных  умах"  (перевод  М.
Морозова, IV, 5).
     По Первому фолио он своим рассказом подводит  королеву  к  произнесению
этих слов, и именно Горацио сообщает и о начале восстания Лаэрта и призывает
короля спасаться.
     По  сырой  штукатурке  сюжета  Шекспир  прочерчивает  графью  поступков
Горацио (выделим полужирным курсивом  те  события,  которые  мы  достраиваем
исходя из логики текста):

     Горацио пришел с доносом на Офелию, которая говорит о смерти отца  и  о
том, что мир полон подлости. Потом по приказу  короля  ("Follow  her  close;
give her good watch, I pray you") последовал за Офелией,  чтобы  "обеспечить
ей хороший надзор".
     Сразу исполнить поручение нового  хозяина  ему  не  удается,  поскольку
восстание Лаэрта уже началось, и Горацио вынужден  спешно  вернуться,  чтобы
еще раз предупредить короля.
     Лаэрт ворвался в королевские покои следом за Горацио.
     Вновь приходит  Офелия,  чтобы  окончательно  попрощаться  со  всеми  и
одарить цветами всех, кто после погибнет от яда (Лаэрта, короля,  королеву).
{Как  заметил  Сергей  Николаев,  букет  Офелии  состоит  из   лекарственных
растений, три из которых ядовиты. Это рута, аквилегия и (в меньшей  степени)
розмарин.  При  этом  себе  Офелия  тоже  берет  смертную  (и   одновременно
"воскресную") руту.}
     Офелия вновь уходит.  _Поскольку  король  своего  приказа  не  отменял,
Горацио вновь последовал за ней_. (Эта  ремарка,  как  и  многие  другие,  в
тексте пропущена, но понятно, что когда король начинает перетягивать  Лаэрта
на свою сторону, Горацио на сцене уже нет.)
     Король уводит Лаэрта беседовать с придворными.
     _Горацио провожает Офелию до ручья, а после сообщает  королеве  о  том,
что Офелия утонула, и уходит  к  себе  ждать  решения  свой  участи_.  Слуга
докладывает ему, что явились какие-то матросы с письмами. Матрос  (на  самом
деле - пират)  вручает  Горацио  три  письма  от  Гамлета  (одно  адресовано
Горацио,  другое  королю,   третье   королеве).   Горацио   читает   письмо,
адресованное ему, но вместо того, чтобы, как просит Гамлет, "устроить доступ
к королю"  тем,  кто  принес  письма,  передает  два  письма  через  Клавдио
(начальника королевской канцелярии, попавшего на  эту  должность,  очевидно,
благодаря созвучию своего имени с именем короля.)
     Пользуясь случаем, Горацио бежит из Эльсинора.
     Король в это время склоняет Лаэрта на свою сторону.
     Королю передают два письма от Гамлета. Появляется королева и  _со  слов
Горацио_ рассказывает королю и Лаэрту о смерти Офелии...

     Мало того, что у Горацио нет алиби, он еще и сам себя уличает, когда  в
сцене на кладбище из двух реплик Гамлета мы узнаем, что о  восстании  Лаэрта
(равно как и о смерти Офелии) он принцу не рассказал. Прав Первый могильщик:
"...Если вода идет к человеку и топит его, это значит, что он не топился  (а
утоплен - А.Ч.). Итак, тот, кто не виноват  в  своей  смерти,  не  сокращает
своей собственной жизни".
     Не ошиблась и королева: смерть Офелии - именно мутная и темная  смерть.
И эта смерть - вопрос жизни и смерти самого Клавдия,  ведь  безумная  Офелия
одним своим видом может  поднять  и  второе  восстание  против  ненавистного
датчанам режима (как подняла она первое). И во всей Дании  есть  только  три
человека, которые это понимают: сам король,  джентльмен-соглядатай  (от  его
услуг Шекспир, впрочем, в поздних редакциях отказывается) и Горацио, который
предупреждал  королеву  (а  до  нее,  конечно,  и  короля)  именно  об  этой
опасности.
     Предупреждая  короля  о  восстании  (и  тем   давая   ему   возможность
подготовиться к встрече с Лаэртом), Горацио произносит  монолог,  в  котором
многократно повторено имя Лаэрта.  Эта  многократность  Шекспиру  нужна  для
того, чтобы зритель  сопоставил  эти  слова  с  вроде  бы  случайной  фразой
Гамлета, оброненной им для Горацио во время похорон Офелии:

                    Его зовут Лаэрт. Весьма учтивый
                    И благородный юноша...

     Вернувшийся из ссылки Гамлет не знает, что Горацио прекрасно  известно,
кто такой Лаэрт. Значит, Горацио  не  рассказал  своему  другу  о  восстании
Лаэрта и о собственном поведении  во  время  оного.  Все  это  настолько  не
укладывается в образ "благороднейшего друга" и "справедливейшего из  людей",
что тот же М. Морозов просто исключает Горацио из сцены доноса на Офелию.
     Между тем все логично: Горацио уже начал делать карьеру  по  шпионскому
ведомству, заменив отъехавшего во Францию Рейнальдо. (Ведь Гамлет  сослан  в
Англию и, скорее всего, его уже нет в  живых!)  Оставшись  в  Эльсиноре  без
покровителя и денег, Горацио вынужден пойти на жалование к королю.  Нет,  он
не станет доносить на Гамлета, ибо  сам  был  его  активным  соучастником  в
заговоре против короля. Но поручения короля исполнять ему придется. Так  что
мнение Л.С. Выготского, согласно которому Горацио -  образ  наблюдателя,  не
принимающего никакого участия в развитии сюжета, как мне  представляется,  -
всего лишь остроумная натяжка,  обусловленная  психологической  "установкой"
Гамлета (и сочувствующего принцу зрителя) видеть в Горацио  друга  и  только
друга. Именно Горацио спускает курок трагедийного сюжета,  решая,  что  надо
сказать Гамлету о Призраке, он отдает приказ бить покойного короля алебардой
и т. д.
     Некий Господин и Горацио не ошиблись, утверждая, что безумная Офелия  -
вызов государственной безопасности. Скоро начнется мятеж против  Клавдия,  и
повстанцы во главе с Лаэртом штурмом возьмут замок.  Но  пока  гроза  только
собирается.

     _KING. Follow her close; give her good watch, I pray you_.
     "Последуйте за нею по пятам, и  обеспечьте  ей  хороший  надзор,  прошу
вас!.." (IV, 5)

     Это сказано королем вслед  Офелии.  Но  несколькими  страницами  раньше
вслед Гамлету тот же Клавдий говорит: "Follow him at foot;  tempt  him  with
speed aboard..." ("Последуйте за ним, Пока не поздно..." - IV, 4).
     "Следуйте за ним по пятам..."  Это  первая  фраза  монолога  короля,  в
котором он впервые называет вещи своими именами  и  приказывает  английскому
королю убить Гамлета. Видимо, каждое время создает  подобные  эвфемизмы  для
распоряжения об убийстве. Вот неполный набор из  других  времен  и  культур:
"Скажи ей, чтоб  она  царевича  блюла...",  "Сделайте  ему  предложение,  от
которого он не сможет отказаться...", "Позаботьтесь  о  нем...",  "Проводите
его..." и т. п.
     Зритель уже знает, что высказывание Клавдия, начинающееся со  "следуйте
за...", должно заканчиваться смертью того,  за  кем  пошли  "по  пятам"  или
"совсем близко". Знают это и королевские слуги. И словечко "close"  в  своем
омонимическом значении - весьма прозрачная подсказка, что им надо делать.
     В "Короле Лире" Эдмунд, отдавая офицеру пакет с приказом убить  Лира  и
Корделию, говорит почти теми же словами: "...go follow them to prison" -  V,
2), то есть ступайте проводить их в  тюрьму.  Совпадает  и  мотивация:  если
Офелию надо "проводить" потому, что  она  своим  видом  побуждает  датчан  к
восстанию, то Лир и Корделия вызывают такое  сочувствие  среди  солдат,  что
Эдмунд боится, как бы те не перешли  на  сторону  пленников.  По  наблюдению
студентки Анастасии Крыловой, в  том  же  "Короле  Лире"  герцог  Альбанский
провожает на смерть свою изменницу-жену  пожеланием  "Go  after  her:  she's
desperate; govern her" ("Следуйте за ней,  она  обезумела,  направьте  ее").
После чего приходит Джентльмен с кровавым кинжалом и сообщает, что Гонерилья
только что закололась. (И  это  сообщение,  как  правило,  тоже  принимается
режиссерами и зрителями за чистую монету.)
     В Генрихе IV вслед уведенному под стражей Глостеру король говорит:

                      Милорды, что найдете наилучшим,
                      То делайте от нашего лица... (III, 1)
                                                 (Перевод Е.Бируковой.)

     Нетрудно догадаться, что случится с Глостером через несколько страниц.
     Итак, перед нами просто общее место, шекспировский штамп.
     После королевской просьбы _следовать по пятам Офелии  и  обеспечить  ей
хороший надзор_ следует  ремарка:  "Горацио  выходит".  А  король-отравитель
говорит о "яде печали", которым отравлен ум Офелии (IV, 5).
     Шекспировский зритель (во всяком случае те несколько  знатоков,  мнение
которых, по словам Гамлета, куда ценнее мнения  всех  прочих)  помнил  текст
Евангелия, видимо, чуть лучше, чем зритель XX или XXI века:

     "И после сего куска вошел в него сатана. Тогда Иисус  сказал  ему:  что
делаешь, делай скорее.
     Но никто из возлежавших не понял, к чему Он это сказал ему.
     А как у Иуды был ящик, то некоторые  думали,  что  Иисус  говорит  ему:
"купи, что нам нужно к празднику", или чтобы дал что-нибудь нищим.
     Он, приняв кусок, тотчас вышел; а была ночь". (От Иоанна, гл.  13,  ст.
27-30.)

     На  зрительском  непонимании  того,  зачем  выходит  Горацио   (ремарка
сохранилась), играет Шекспир. И подсказывает нам устами короля:

     "Следуйте за ней по пятам. Внимательно следите  за  ней,  прошу  вас...
Горацио выходит. О, это яд глубокого горя. Причиной всему смерть ее отца.  О
Гертруда,  Гертруда!  Когда  приходят  печали,  они  приходят  не  одинокими
лазутчиками, а целыми батальонами!.." (перевод М.Морозова).

     "Одинокие лазутчики" - это сказано королем о несчастьях, но произнесено
вслед Горацио и Джентльмену без лица и имени, реальным соглядатаям Клавдия.
     Скоро Гертруда первой оплачет смерть Офелии:

     "Над ручьем  наискось  растет  ива,  которая  отражает  свои  листья  в
зеркальном потоке. Туда пришла она с  причудливыми  гирляндами  из  листков,
крапивы, маргариток и тех длинных пурпурных цветов, которым  откровенные  на
язык пастухи дают грубое название, а наши холодные девушки называют пальцами
мертвецов. Когда она взбиралась на иву, чтобы повесить  на  свисающие  ветви
сплетенные ею венки из цветов и трав, завистливый сучок подломился и  вместе
со своими трофеями из цветов она упала в плачущий ручей. Широко  раскинулась
ее одежда и некоторое время держала ее на воде, как русалку, и в  это  время
она пела отрывки старых песен, как человек, не сознающий своей беды, или как
существо, рожденное в водяной  стихии  и  свыкшееся  с  ней.  Но  это  могло
продолжаться недолго, пока ее одежда не отяжелела  от  воды  и  не  потащила
несчастную от мелодичной песни к тенистой смерти" (перевод М. Морозова,  IV,
7).
     Кто это видел и кто слышал?
     Королева говорит со слов Горацио и Некоего Господина. Шекспир ясно дает
это понять, сначала упоминая о непристойных фаллообразных цветах, а после  о
"завистливом" или "предательском" сучке.
     Шекспироведы нередко отождествляют  поэзию  с  поэтичностью.  И  правят
того, чья поэзия поэтична "бледным огнем" светлячка (не зря же  Набоков  его
присвоил!), а не сентиментальной романтикой и тем более "риторикой".
     С XVI в. до наших дней muddy -  грязный,  перепачканный,  непрозрачный,
мутный или помутившийся" (если речь о рассудке). Если  речь  о  литературном
стиле, то этим прилагательным определяется "темный" стиль, если же о  свете,
то это "тусклый", а не "тенистый" свет. (Тенистый - shady.)
     В монологе Гертруды много лжи и много от пересказа чужих слов.  Хватает
в нем и откровенной похабщины. Если же говорить о  высокой  лирике,  то  она
звучит лишь в трех последних строках:

                      Вы помните поваленную иву,
                      Которая полощет над ручьем
                      Свою листву?.. Офелия туда
                      Пришла в венке - в нем были маргаритки,
                      Яснотка да кукушкин горицвет,
                      И длинные мясистые цветы -
                      Да вы их знаете! - простолюдины
                      Зовут их коротко и непристойно,
                      А девушки - "перстами мертвецов"
                      И дремликом... Едва взошла на ствол,
                      Желая и его венком украсить,
                      Завистливый сучок и подломился.
                      В цветах она упала в тот поток,
                      Плескалась, будто в нем и рождена
                      Русалкою, беды не сознавала,
                      И все-то пела песенки свои...
                      Но долго это длиться не могло:
                      Намокло платьице, отяжелело,
                      И захлебнулся тот напев прозрачный
                      В объятьях мутной смерти.

     Можно, конечно, допустить, что "одинокие лазутчики" пошли "по пятам" за
Офелией без задней мысли. Но  тогда  придется  поверить,  что  они  спокойно
наблюдали, как она упала в ручей (не в море, озеро  или  реку,  а  именно  в
спокойный ручей, в чьей зеркальной глади  отражается  ива),  любовались  ею,
слушали отрывки из народных песен, и были столь  зачарованы,  что  позволили
Офелии пойти на дно. Уже одного этого рассказа, по-моему, достаточно,  чтобы
понять, что случилось с Офелией на  самом  деле.  Не  обратить  внимания  на
вопиющую несуразицу может лишь Лаэрт, который в шоке от  известия  о  гибели
сестры.
     И разве не звучит издевательством то, что "это продолжалось недолго"?..
     Заметив похабщину, звучащую в монологе Гертруды, спросим себя: что это,
если не знак чужой, в данном случае мужской  речи?  Ведь  королева  сама  не
видела, как утонула Офелия, и пересказывает с чьих-то слов.
     После высылки Гамлета Горацио остается жить в  замке,  его  Обслуживают
королевские  лакеи,  а  король,  которому  до  того  Горацио  не  был   даже
представлен, называет его "добрый Горацио" и на кладбище просит  присмотреть
за принцем.
     Сцене с визитом пиратов, видимо, предшествовала не попавшая в  дошедший
до нас "текст слов" интермедия, в которой Офелия выходила к ручью,  напевала
и собирала цветы, а  за  ней  издалека  следили  двое  неизвестных  лиц  (по
последней шекспировской редакции "Гамлета" - один  неизвестный).  Потом  она
падала в воду, якобы продолжая петь свои песенки, а они  продолжали  следить
за ней, и только когда песня прерывалась, доставали из ручья и  выносили  ее
бездыханное тело на берег. Потом один из этих неизвестных, скажем, откидывал
капюшон, и потрясенный зритель видел, что это Горацио.
     Можно предположить, что Горацио сам и утопил  Офелию,  хотя  для  такой
работы он вряд ли пригоден. Да и в тексте мы не  нашли  прямых  указаний  на
такое развитие сюжета. Вспомним, Что и мертвого  короля  алебардой  бьет  не
Горацио, а Марцелл (хотя и по  приказу  Горацио).  Впрочем,  одно  косвенное
указание все же существует, но о нем ниже (см. с. 287-290).
     Если  же  пантомимы  не  было,  то  мы  должны  поверить,  что  Горацио
проигнорировал "просьбу" короля "следовать за ней по пятам" и "обеспечить ей
хороший надзор". И король почему-то не только не разгневался  на  него,  но,
напротив, после того и стал звать его "good Horatio".
     Офелия  утонула  очень   вовремя   (для   Клавдия).   Ну   совсем   как
несостоявшийся ее свекор, вот так же вовремя умерший во сне в саду.
     Есть ли у Горацио алиби?  Нет.  И  потому  он  торопится  исчезнуть  из
Эльсинора прежде, чем  все  узнают  об  убийстве  Офелии.  Ему  было  велено
следовать за Офелией по пятам, он описал королеве, как та утонула, и  теперь
ему надо бежать.  (А  вдруг  король  назначит  следствие  и  все  свалит  на
Горацио?) Поэтому он не исполняет просьбы Гамлета и не  устраивает  матросам
доступа к королю и королеве, а сам передает письма через некоего Клаудио,  а
тот с придворным направляет их королю.
     После  высылки  Гамлета   в   Англию   Горацио   идет   на   службу   к
королю-отравителю. Напомним, что в Эльсиноре швейцарцы (Бернардо, Франциско,
Марцеллус) - не только стражники, но и соглядатаи (Рейнальдо).  На  кладбище
Горацио делает вид, что не знает, кого хоронят "по  усеченному  обряду".  Но
происходит очень любопытный диалог:

     ГАМЛЕТ: Какое бесчувствие. Копает могилу - и поет.
     ГОРАЦИО: Привычка закалила его сердце.
     ГАМЛЕТ:  Ты  прав.  Пока  рука  от  работы  не  загрубеет,   и   сердце
чувствительно. (V, 1)

     Горацио только что убил (или не спас) Офелию, а Гамлет убил  Полония  и
отослал на смерть школьных приятелей. Гамлету приходится оправдываться перед
Горацио за то, что  он  отправил  на  смерть  Розенкранца  и  Гильденстерна.
Горацио сам наведет его на эту тему. Аргументацией Гамлета Горацио,  видимо,
будет удовлетворен, поскольку  она  оправдывает,  в  частности,  и  убийство
Офелии.

                                  Горацио

                                          Это значит,
                    Что Розенкранц и Гильденстерн спешат
                    К своей же гибели?

                                   Гамлет

                                        И что с того?
                    Они нашли занятие по вкусу
                    И этим сами смерть себе избрали.
                    Их кровь - она на них, а не на мне.
                    Ничтожество должно блюсти приличья,
                    А не соваться меж двумя клинками,
                    Когда противники дерутся насмерть.

                                  Горацио

                    Однако ничего себе король!.. (V, 2).

     Горацио забыл, что недавно он не только не удивлялся душевным качествам
короля, но  и  иронизировал  по  этому  поводу  над  Гамлетом.  А  заодно  и
выведывал, что же сказал Призрак принцу:

                                   Гамлет

                                       ...Тогда откроюсь.
                    Еще не знала Дания мерзавца
                    Подобного тому, кого мы знаем.

                                  Горацио

                    Однако, чтобы это сообщить,
                    Не стоило являться с того света. (I, 5).

     Если допустить, что Горацио -  искренний  друг,  то  Шекспир  при  всей
общепризнанной гениальности его поэзии -  драматург-троечник.  Только  тогда
понятно, почему он дал "верному другу" самое неподходящее имя  (у  Фонвизина
оно звучало бы  Курвец-Разумник).  И  выпустил  Горацио  с  доносом  ("не  в
характере", как пишет шекспировед Игорь  Шайтанов)  в  сцене  предупреждения
королевы о готовящемся  восстании.  (На  сцене  три  человека,  а  в  труппе
"Глобуса" 12-15, зачем же выпускать  в  столь  "нехарактерной  роли"  именно
Горацио?) Потом тот же герой и  тоже  "не  в  характере"  предупреждает  (по
Первому фолио) Клавдия о том, что бунт уже начался.
     Каждое появление Горацио и почти каждая его реплика  -  или  откровенно
лживы, или прикровенно двусмысленны (Горацио делает только то,  что  выгодно
ему в данную минуту).
     Почему-то никто  не  задает  и  другого  вопроса:  что  же  Горацио  не
отправился в Англию вместе с лучшим своим другом? Если  б  он  сам  вызвался
разделить с принцем его изгнание, разве бы Клавдий посмел запретить?
     Но Гамлет прямо не попросил Горацио,  и  он  преспокойно  остается  при
дворе якобы ненавистного ему Клавдия. (Вспомним, что до встречи  с  Гамлетом
Горацио, по его собственным словам, "друг этой страны" и  поклонник  "нашего
правительства".)  Шекспироведы  не  задают  и   другого   простого   вопроса
(единственное  исключение  тут,  как  указал  Игорь  Шайтанов,   -   Харольд
Дженкинс): почему это Горацио, живший по возвращении в Эльсинор не в  замке,
а где-то рядом (иначе б он встретил принца  сразу),  после  высылки  Гамлета
остается в замке? И почему он вхож к королеве? И почему король, которому  он
при Гамлете и представлен-то не был, теперь дает ему поручения и  обращается
"good Horatio"?
     "Лучший и единственный друг Гамлета"  идет  на  службу  к  королю,  уже
прекрасно зная, что Клавдий - убийца отца его единственного друга.
     Впрочем,  Дженкинс  заблуждается,  говоря,  что  "роль  служителя   или
советника при королеве странна для Горацио, и  драматург  скоро  забывает  о
ней". Горацио не "служитель при королеве", а шпион Клавдия ("вассал короля",
как сказал бы Марцелл). Из шекспировского текста  следует,  что  это  король
послал Горацио рассказать королеве об опасном  сумасшествии  Офелии.  И  что
именно  по   наущению   короля   Горацио   приводит   Офелию   к   королеве.
Доказательства? Да то, что  сразу  вслед  за  Горацио  и  Офелией  в  покоях
королевы появляется сам  Клавдий.  И  то,  что  именно  Горацио  выходит  за
Офелией, когда король просит "следовать за ней по пятам".
     Спор Томаса Мора и Эразма Роттердамского, надо ли гуманисту становиться
советником при  правителе,  разрешен  Шекспиром.  И  автор  "Гамлета"  берет
сторону Эразма, показывая, что получается из подобного хождения во власть.
     Горацио, убедившийся, что Клавдий убийца,  но  "в  силу  обстоятельств"
идущий к нему на службу, сам выбирает путь наемного убийцы.
     Горацио - гениально прописанный Шекспиром идеальный ученик  Макиавелли,
который, как и Горацио, - итальянец. При нем нет подруги, его жена и муза  -
политика.
     Попытаемся восстановить путь Горацио к сердцу Гамлета.
     Итак,  Горацио  -  швейцарец  и  в  Эльсинор  попал  вместе  с  другими
наемниками-швейцарцами. Здесь он пробыл совсем недолго.  (Во  всяком  случае
Гамлета-отца он "видел лишь однажды".) Узнав, что  здешний  принц  учится  в
Виттенберге, Горацио сам отправился туда.
     В Виттенберге он поставил на дружбу с Гамлетом и стал его  конфидентом.
Но Гамлет вернулся в Данию и влюбился в  Офелию.  В  это  же  время  Клавдий
заводит роман с Гертрудой, убивает Гамлета-отца (это произошло четыре месяца
назад), а менее чем через месяц женится на овдовевшей королеве и  становится
королем. Принц чует  неладное,  хочет  бежать  из  Дании  (университет  тут,
скорее, лишь повод для отъезда из  прогнившей  страны),  но  король  его  не
отпускает.
     Для оставшегося в Виттенберге Горацио известие о смерти Старого Гамлета
- повод вернуться в Данию. (Ведь ему нужна не учеба, а Гамлет.) В  Эльсиноре
Горацио идет не к своему другу, а к землякам-стражникам. Те и рассказывают о
появлении Призрака. Горацио решает лично  убедиться  в  этом  и  лишь  потом
отправляется к Гамлету: судьба вновь дала ему шанс сблизиться с принцем.
     Итак,  при  дворе  Клавдия  у  Горацио  есть  выбор  -  взять  алебарду
стражника, устроиться в канцелярию; пойти в шпионы. Но первые  два  пути  не
обеспечивают возможности общаться с королем, а  значит,  не  обеспечивают  и
карьеры.
     Когда  Гамлет  уже  смертельно  ранен,  Горацио  демонстрирует  желание
отравиться:

     ГАМЛЕТ: ...Правдиво расскажи обо мне, обо всем, что со мной  произошло,
тем, кто не знает.
     ГОРАЦИО: Об этом и не думайте. Я больше древний римлянин, чем датчанин.
Тут еще осталось питье.
     ГАМЛЕТ: Если ты мужчина, отдай мне кубок!.." {перевод М.  Морозова,  V,
2).

     Макар Александренко заметил, что в этой сцене Шекспир делает отсылку  к
последней сцене собственного "Юлия Цезаря": это там "идейный предатель" Брут
кончает с собой, кинувшись на меч, который держит его раб.  После  чего  раб
переходит к победителю по наследству (совсем как Горацио, перешедший сначала
на службу к Клавдию, а потом к Фортинбрасу).
     "Юлия Цезаря" Шекспир ставит в 1599 г., то есть в то  время,  когда  он
уже обдумывает (или даже уже дописывает) "Гамлета". Видимо, Шекспир надеялся
на  понимание  того  постоянного  и  верного   зрителя,   который   "попытку
самоубийства" Горацио воспримет именно как пародию.
     Впрочем, как заметил Сергей Николаев,  раб  служит  господину  верой  и
правдой и отдает за него свою жизнь, а Горацио служит только себе любимому.
     Держа пустой кубок, в котором якобы еще  осталась  капля  яда,  Горацио
знает, что Гамлет его остановит. Так и происходит.
     А всего через пару минут Горацио забудет о своем горе.  Вот  он  вещает
Фортинбрасу и английскому послу:

     "Как раз в минуту расследования  этого  кровавого  дела  вы  прибыли  с
польской войны, а вы - из Англии, прикажите же, чтобы тела были положены  на
высокий помост перед всеми на виду. И разрешите мне рассказать не  ведающему
миру о том, как все это произошло.  И  тогда  вы  услышите  о  смертоносных,
кровавых  и  противоестественных  деяниях,  о  случайных  карах,   нечаянных
убийствах, о смертях, причиненных коварством и насилием, и, в заключение,  о
неудавшихся замыслах, павших на головы зачинщиков.  Обо  всем  этом  я  могу
правдиво поведать" (пер. М. Морозова, V, 2).

     Гамлет не разгадал тайную цель возвращения в Эльсинор Горацио.  Как  не
разгадал и тайну натуры Горацио.  Наивный  Гамлет  будет  до  конца  считать
Горацио "лучшим из людей" и  своим  другом.  И  правильно:  Горацио  был  за
Гамлета и ни разу его не предал (случай с Офелией тут не в счет, ведь Гамлет
первый ее бросил, а после Горацио за  нею  следил,  на  нее  доносил,  но  в
качестве слуги Клавдия). Он рассчитывал убрать Клавдия с  Гертрудой  и  быть
"Полонием" при Гамлете (хоть с Офелией,  хоть  без  нее).  И  "перестроился"
только после ссылки (фактической гибели) своего друга.
     Цель жизни Горацио - стать вторым лицом в государстве, новым  Полонием.
У него не получилось дорваться власти и добиться достатка  при  Гамлете,  не
получилось при Клавдии. Но может получиться при Фортинбрасе. Горацио с  ходу
пытается подмять волю норвежца, чья судьба теперь отчасти в  его  руках.  Но
Фортинбрас приказывает перенести  на  помост  не  всех  мертвых,  как  этого
требовал Горацио, а только Гамлета.
     При этом Фортинбрас еще не знает, что Гамлет передал Горацио свой голос
за избрание норвежского принца новым королем Дании. (Хотя Горацио и намекнул
на такой поворот событий.) Приведу здесь цитату из письма Сергея  Николаева:
"От Горацио  зависит  право  Фортинбраса  на  королевство.  Намек  на  нечто
недосказанное и важное сделан, Фортинбрас его понял и  спешит  уединиться  в
узком кругу знатнейших, в который он приглашает и... Горацио (ведь последний
может и не отдать голоса  Гамлета,  вдруг  конкуренты  осилят?).  Фортинбрас
сразу же берет Горацио в союзники и возносит его".



     Злодей Клавдий за четыре месяца погубил три поколения датских монархов:
старого Гамлета, принца Гамлета и его наследника. Убиты и две королевы: одна
прошлая, другая - та, что  могла  стать  будущей.  Разумеется,  после  этого
должна произойти смена династии.
     Наказаны все, кроме прагматика Горацио, который должен  стать  Полонием
при Фортинбрасе, но будет хуже Полония. У Полония при всей его глупости была
душа.  У  Горацио  ни  души,  ни  детей,  ни  друзей.  Это  человек-функция,
человек-чиновник. Новейший человек наступающего на Европу новейшего времени.
     Время Горацио начнется после смерти Шекспира.  Начнется  с  гражданской
войны и Оливера Кромвеля, родившегося в 1599 г., то есть в  тот  самый  год,
когда Шекспир пишет "Гамлета", начнется с  отнюдь  не  театрального  топора,
обезглавившего Карла I, с восемнадцатилетнего запрета театров.  И  только  в
последней  четверти  XVII  века   англичане   вновь   заинтересуются   своим
дореволюционным поэтом. К тому времени уже практически не останется тех, кто
видел  драматурга-Шекспира  в  постановке  режиссера-Шекспира.  И  за  пьесу
Шекспира человечество примет тот "текст слов",  который  дойдет  до  нас  по
публикациям неавторизованных рукописей и почти без авторских ремарок.
     Если верить Шекспиру, то  драматургия  -  это  не  слова,  произносимые
актером со сцены, и даже не само действие. Шекспировская драматургия  -  это
некий энергоемкий разъем, пространство между действием и словами.
     Так что дело не в проблеме Горацио, который уже не  второстепенный,  но
пока все же и не титульный персонаж. (Мы потому так много  о  нем  говорили,
что Горацио более прочих - terra incognita "Гамлета".) Дело в  примитивности
и алогичности той сценической традиции,  которую  шекспироведение  вынуждено
защищать. Дело в отсутствии в тексте значительной  доли  авторских  ремарок,
которые могут быть реконструированы, хотя и с разной степенью надежности.
     Но, как мне представляется, оправдать Горацио уже вряд ли удастся. Хотя
бы потому, что аргументы традиционалистов не составляют системы.
     Игорь Шайтанов в альманахе "Anglistica" (Э 9, Москва - Тамбов, 2002 г.)
пишет, что я завожу "дело Горацио". Обвинение  нешуточное:  мол,  даже  если
комментатор и прав, в его правоту мы никогда не поверим,  поскольку  помним,
как в свое время был в таких ситуациях доказателен прокурор Вышинский.
     Мне остается только согласиться:  на  уровне  первой  реальности  метод
Вышинского предназначен не для  доказательства  вины,  а  для  расправы  над
"врагами народа", назначенными на эти свои роли Сталиным.  (Андрей  Платонов
называл это "всенародной инсценировкой".)
     Но данный  метод  Сталин  с  Вышинским  и  взяли  для  публичных  своих
постановок из реальности художественной.
     По законам жизни еще не факт, что тот,  кто  пошел  за  Офелией,  ее  и
утопил. А по законам искусства  Горацио  -  убийца  (ибо  иного  автором  не
оговорено).
     Горацио в глазах Гамлета - "философ-стоик, последователь Сенеки". И еще
- "самый справедливый из людей". А для зрителя "Глобуса" - тот самый римский
раб  из  поставленного  в  1599  г.   (непосредственно   перед   "Гамлетом")
шекспировского "Юлия Цезаря", раб, который,  как  и  Горацио,  после  смерти
хозяина переходит к победителю в качестве трофея.  И  надо  крепко  заткнуть
уши, чтобы вслед за репликой ломающего комедию с пустым кубком  Горацио  ("Я
более древний римлянин, чем датчанин!") не расслышать  гомерического  хохота
Шекспира.
     Мы начали эту заметку о Горацио с "Испанской трагедии" Томаса Кида,  из
которой,  как  принято  считать,  Шекспир  и  взял  образ   "друга-Горацио".
Напомним, что у Кида враги убивают Горацио и вешают его тело на дереве.
     Именно так в легендарные времена Древнего Рима должны были поступить  с
одним из знаменитых братьев Горациев. Тит Ливий  столь  блистательно  описал
эту историю, что трудно удержаться от пространной цитаты:

     Было тогда в каждой  из  ратей  по  трое  братьев-близнецов,  равных  и
возрастом, и  силой.  Это  были,  как  знает  каждый,  Горации  и  Куриации.
/.../Цари обращаются к близнецам, предлагая им обнажить мечи, -  каждому  за
свое отечество: той стороне и достанется  власть,  за  какою  будет  победа.
Возражений нет, сговариваются о времени и месте.  Прежде  чем  начался  бой,
между римлянами и альбанцами был заключен договор  на  таких  условиях:  чьи
граждане победят в схватке, тот народ будет мирно  властвовать  над  другим.
/.../
     Подают знак, и шесть юношей с оружием  наизготовку  по  трое,  как  два
строя, сходятся, вобрав в себя весь  пыл  двух  больших  ратей.  /.../  Трое
альбанцев были ранены, а двое римлян пали. Их гибель исторгла крик радости у
альбанского войска, а римские  легионы  оставила  уже  всякая  надежда:  они
сокрушались об участи последнего, которого обступили трое  Куриациев.  Волею
случая он был невредим, и если  против  всех  вместе  бессилен,  то  каждому
порознь грозен. Чтобы разъединить  противников,  он  обращается  в  бегство,
рассчитав, что преследователи бежать будут так, как позволит  каждому  рана.
Уже отбежал он на  какое-то  расстоянье  от  места  боя,  как,  оглянувшись,
увидел, что догоняющие разделены немалыми промежутками и один совсем близко.
Против этого и обращается он в яростном натиске, и, покуда альбанское войско
кричит Куриациям, чтобы поторопились на помощь  брату,  победитель  Гораций,
убив врага, уже устремляется в новую схватку.  Теперь  римляне  поддерживают
своего бойца криком, какой всегда поднимают при неожиданном обороте поединка
сочувствующие зрители, и Гораций спешит закончить сражение. Итак, он, прежде
чем смог подоспеть последний, который был недалеко, приканчивает еще  одного
Куриация: и вот уже военное счастье сравнялось - противники остались один на
один, но не равны у  них  были  ни  надежды,  ни  силы.  Римлянин,  целый  и
невредимый, одержавший  двойную  победу,  был  грозен,  идя  в  третий  бой;
альбанец, изнемогший от раны, изнемогший от бега, сломленный зрелищем гибели
братьев,  покорно  становится  под  удар.  И  то  не  было  боем.   Римлянин
восклицает, ликуя: "Двоих я принес в жертву  теням  моих  братьев,  третьего
отдам на жертвенник того дела, ради которого идет эта война, чтобы  римлянин
властвовал над альбанцем". Ударом сверху вонзает он меч в горло  противнику,
едва держащему щит; с павшего снимает доспехи. /.../
     Прежде  чем  покинуть  место  битвы,  Меттий,  повинуясь   заключенному
договору, спросил, какие будут  распоряжения,  и  Тулл  распорядился,  чтобы
альбанская молодежь оставалась под  оружием:  она  понадобится,  если  будет
война с вейянами. С тем оба войска и удалились в свои города.
     Первым шел Гораций, неся три доспеха /.../ Его встретила сестра-девица,
которая была просватана за одного из Куриациев; узнав на плечах  брата  плащ
жениха, вытканный ею самою, она распускает волосы и, плача, окликает  жениха
по имени. Свирепую душу  юноши  возмутили  сестрины  вопли,  омрачавшие  его
победу и великую радость всего народа. Выхватив  меч,  он  заколол  девушку,
воскликнув при этом: "Отправляйся к жениху  с  твоею  не  в  пору  пришедшей
любовью! Ты забыла о братьях - о мертвых и о живом, - забыла  об  отечестве.
Так да погибнет всякая римлянка, что станет оплакивать неприятеля!"
     Черным делом сочли это и отцы, и народ, но  противостояла  преступлению
недавняя заслуга. Все же Гораций был схвачен и приведен к  царю  на  суд.  А
тот, чтобы не брать на себя такой прискорбный и неугодный толпе  приговор  и
последующую казнь, созвал народный сход и объявил: "В  согласии  с  законом,
назначаю  дуумвиров,  чтобы  они  вынесли   Горацию   приговор   за   тяжкое
преступление". А закон звучал устрашающе: "Совершившего тяжкое  преступление
да судят дуумвиры; если он от дуумвиров обратится к народу,  отстаивать  ему
свое дело перед народом; если дуумвиры выиграют дело, обмотать  ему  голову,
подвесить веревкой к зловещему дереву, засечь его внутри городской черты или
вне городской черты". Таков был закон, в согласии с которым  были  назначены
дуумвиры.
     Дуумвиры считали, что закон не оставляет им возможности оправдать  даже
невиновного. Когда они вынесли приговор, то один  из  них  объявил:  "Публий
Гораций, осуждаю тебя за тяжкое  преступление.  Ступай,  ликтор,  свяжи  ему
руки". Ликтор подошел и стал ладить петлю. Тут  Гораций,  по  совету  Тулла,
снисходительного истолкователя закона, сказал: "Обращаюсь  к  народу".  Этим
обращением дело было передано  на  рассмотренье  народа.  На  суде  особенно
сильно тронул собравшихся Публий Гораций-отец, объявивший, что дочь свою  он
считает убитой по праву: случись по-иному, он сам наказал бы сына  отцовскою
властью. Потом он просил всех, чтоб его,  который  так  недавно  был  обилен
потомством, не оставляли вовсе бездетным. Обняв юношу и указывая на  доспехи
Куриациев, прибитые на месте, что ныне  зовется  "Горациевы  копья",  старик
говорил: "Неужели, квириты, того же, кого только  что  видели  вступающим  в
город в почетном  убранстве,  торжествующим  победу,  вы  сможете  видеть  с
колодкой на шее, связанным, меж: плетьми и распятием? Даже  взоры  альбанцев
едва ли могли бы вынести столь безобразное зрелище!  Ступай,  ликтор,  свяжи
руки,  которые  совсем  недавно,  вооруженные,  принесли   римскому   народу
господство.  Обмотай  голову  освободителю  нашего  города;  подвесь  его  к
зловещему дереву; секи его, хоть внутри городской черты - но непременно  меж
этими копьями  и  вражескими  доспехами,  хоть  вне  городской  черты  -  но
непременно меж: могил Куриациев. Куда ни уведете  вы  этого  юношу,  повсюду
почетные отличия будут защищать его от позора казни!"
     Народ не  вынес  ни  слез  отца,  ни  равного  перед  любою  опасностью
спокойствия духа  самого  Горация  -  его  оправдали  скорее  из  восхищения
доблестью, нежели по справедливости. А чтобы  явное  убийство  было  все  же
искуплено очистительной жертвой, отцу повелели, чтобы он  совершил  очищение
сына на общественный счет.

     Итак:
     - Старый Гамлет послал свой вызов Старому Фортинбрасу,  предлагая  тому
биться на условиях, заключенных римским царем Туллом с диктатором  альбанцев
Меттием. Только вместо  братьев-Горациев  и  братьев-Куриациев  должны  были
сразиться сами короли Дании и Норвегии;
     - Спор двух столиц решил один из братьев  Горациев,  который,  судя  по
имени, был далеким предком шекспировского Горацио;
     - Гораций убил свою сестру и должен был (как в пьесе Кида, очевидно, не
хуже Шекспира знавшего труд Тита Ливия) быть повешен на дереве.
     Шекспир  выворачивает  ситуацию  наизнанку:  его  Горацио,  который   в
пародийной форме нам и рассказал  о  поединке  Гамлета  с  Фортинбрасом,  не
волнует слава его собственного предка. С античным Горацием его роднит только
одно: если того потребуют интересы государства,  он  тоже,  не  задумываясь,
убьет деву за одни только слова, пусть и сказанные ею в умопомрачении.
     При этом Гораций убивает ту, что оплакивает врага  государства,  а  его
дальний потомок - ту, что оплакивает своего отца,  единственного  искреннего
друга режима Клавдия.
     Так деградирует государственная идея.
     Публий Гораций - Герой.  Горацио  -  подонок,  наследовавший  "свирепую
душу" своего предка. Перерождение героя в политика  и  исследует  Шекспир  в
образе Горацио.
     Не обратили внимания шекспировские комментаторы и на  другую  параллель
из римской истории, связанную с родом все тех же Горациев. В 449 г. до н. э.
патриций Марк Гораций вступился за честь  плебеев,  в  результате  чего  пал
диктатор, узурпировавший власть в Риме. Поводом  послужил  иск  диктатора  к
зажиточному плебею: диктатор отсудил у того дочь, объявив, что она  дочь  не
своих родителей, а его рабыни. На глазах у римлян отец убил дочь, плебеи  во
второй раз в римской истории ушли из города. Марк Гораций с Луцием  Валерием
встали на сторону плебеев и свергли диктатора.
     Диктатора звали Аппий Клавдий. И происходил он из того же рода,  что  и
император Клавдий, живший полтысячелетия спустя. (Кстати, из  рода  Клавдиев
пошел и  плебейский  род  Марцеллов,  так  что  имя  одного  из  стражников,
охраняющих Клавдия, можно тоже объяснить через историю Древнего Рима.)
     Вот тот историко-культурный фон, на  котором  Шекспир  предъявляет  нам
своего Горацио, героя только-только начинающегося новейшего времени.
     В том и другом римском сюжете поворотным событием  становится  убийство
девы. В начале европейской истории один Гораций убивает сестру и  утверждает
приоритет служения государству перед служением человеку. А  через  два  века
другой вступается за честь девы и дарует гражданские права половине римского
населения.
     И еще через тысячу лет их потомок причудливым образом совместит в  себе
черты обоих, столь непохожих Горациев, и  по  приказу  короля  отправится  к
"зловещему дереву", чтобы проводить в объятия "мутной смерти" невесту своего
друга.
     И в этом контексте фраза Горацио "Я более  римлянин,  чем  датчанин!.."
говорит о многом.



     Традиционное  шекспироведение  вынуждено  изобретать  свои  собственные
мотивировки поведения шекспировских героев. И коль скоро эти мотивировки  не
опираются на логику текста, они, как  правило,  просто  наивны.  Скажем,  по
Доверу Уилсону, Гамлет приходит в ярость, видя, как актеры предваряют "Мыше-
ловку" пантомимой, но, к счастью, король ничего не понимает, ибо  смотрит  в
другую сторону...
     Во-первых,  это  Офелия,  судя  по  ее  реплике,  не   понимает,   "что
показывают". А король пока ничем себя не выдает, он смотрит пантомиму  молча
и, надо полагать, очень внимательно.
     Во-вторых, если Гамлет и издевается над бессмысленными пантомимами,  то
ведь именно что над бессмысленными. И совершенно не  факт,  что  у  Шекспира
пантомим и интермедий не было (их просто  нет  в  дошедших  до  нас  текстах
шекспировских пьес, но ведь Шекспир-драматург писал для Шекспира-режиссера и
не был заинтересован в тиражировании своих секретов).
     В-третьих, если б Клавдий схватился за сердце уже  при  виде  пантомимы
отравления Гонзаго, Гамлет рукоплескал бы актерам, ведь  это  означало,  что
отравитель признался сразу.
     Однако Клавдий выдерживает пантомиму. И только  вербальный  текст,  тот
текст, что накануне вписан в пьесу самим Гамлетом, его переворачивает.
     Клавдия (и это  важно  Шекспиру)  пробивает  именно  слово  -  пусть  и
полуграфоманское, но слово. Игорь Шайтанов пишет,  что  монолог  Гертруды  в
моем  переводе  -  свидетельство  простодушия   королевы,   "доходящего   до
идиотизма".
     Защищая традицию, мой оппонент традиционно  забывает,  что  перед  нами
совсем не та Гертруда, которую мы видели в первых сценах трагедии.
     После объяснения с сыном королева знает, что Клавдий - убийца ее  мужа.
И она говорит Гамлету, что не донесет на сына, ибо слово создается дыханием,
дыханье - жизнью, но жизни-то в ней и нет, чтобы повторить услышанное. Иными
словами, раскрыв матери глаза на Клавдия,  сын  нравственно  ее  убил,  ведь
Гертруда поняла, что она сама подписала мужу смертный приговор, когда  пошла
на интрижку с его братом.
     Ставя   "Мышеловку",   принц   пожалел   свою   мать   и   инвертировал
последовательность событий. В пьесе Гамлета Луциан соблазняет вдову  убитого
им дяди. Однако в пьесе Шекспира все было иначе: Клавдий  сначала  соблазнил
королеву, а после уже отравил ее мужа. Вот  что  Гамлету  говорит  тень  его
отца:

     "Да, это  кровосмесительное,  это  прелюбодейное  животное  колдовством
своего ума, своими предательскими подарками - о нечестивый ум  и  нечестивые
дары, имеющие силу соблазнять! - склонил к своей постыдной  похоти  согласие
моей кажущейся столь добродетельной  королевы.  О  Гамлет,  какое  это  было
падение! Отвернуться от меня, чья любовь была достойна тех обетов, которые я
дал ей при  вступлении  в  брак,  и  опуститься  до  ничтожества,  природные
качества которого были бедны  по  сравнению  с  моими!  Но  как  добродетель
никогда не вступит на путь греха, хотя бы  сладострастие  ухаживало  за  ней
даже в небесном обличье, так похоть, хотя бы связанная  узами  с  лучезарным
ангелом, пресытится на небесном ложе и начнет пожирать отбросы..."  (перевод
М. Морозова, I, 5).

     Эти слова мог  бы  сказать  римский  император  Клавдий  о  своей  жене
Мессалине. Оттого-то наедине с матерью Гамлет будет беспощаден:

     КОРОЛЕВА. О, какой опрометчивый и кровавый поступок!
     ГАМЛЕТ. Кровавый поступок? Почти столь же дурной, добрая  матушка,  как
убить короля и выйти замуж за его брата.
     КОРОЛЕВА. Убить короля?
     ГАМЛЕТ. Да, госпожа, я так сказал... (перевод М. Морозова, III, 4).

     Королева пока еще ничего не поняла.  Но  Гамлет  говорит,  что  Клавдий
убийца брата, и все встает на свои места: "О, Гамлет, замолчи!  Ты  повернул
мне глаза вглубь души..."
     Что осознала королева, и что должны понять мы?
     Гертруда осознала, что она соучастница убийства мужа, ведь отвергни она
Клавдия, тому не имело бы смысла убивать Старого  Гамлета.  Рассчитывать  на
датскую корону Клавдий мог только, если у него уже была гарантия, что  вдова
пойдет за него. Так и Гай Силий сначала добился, чтобы  Мессалина  пошла  за
него замуж,  а  уже  после  стал  готовить  заговор  против  императора,  но
промедлил. История императрицы-шлюхи  Мессалины  и  ее  второго  брака  была
слишком  известна,  чтобы  Гертруда  не  поняла,  в  чем  смысл   обвинения,
брошенного ей Гамлетом. (Подробней об этом на с. 295.)
     После объяснения с сыном спасти Гертруду может только смерть. И она эту
смерть находит, когда понимает, что  в  кубке,  который  Клавдий  предлагает
Гамлету во время поединка его с Лаэртом, не жемчужина, но яд.
     Она знает, что вино отравлено, и перед смертью  сама  говорит  об  этом
Гамлету. Гертруда пьет яд, спасая сына и сводя счеты с собственной жизнью.
     Последнее прочтение принадлежит  не  мне,  а  московскому  художнику  и
режиссеру Дмитрию  Крымову.  Но  можно  утверждать,  что  это  не  очередная
режиссерская трактовка текста (ведь  нет  такого  яда,  который  сообщал  бы
человеку о своем присутствии в его организме), это корректная  реконструкция
шекспировского замысла, проясняющая еще одно темное место пьесы, дошедшей до
нас без многих авторских ремарок.
     И если мы будем помнить, что королева знает, кто убил  ее  супруга,  ее
монолог  о  смерти  Офелии  будет  не   свидетельством   "простодушия"   или
"идиотизма", а обвинением Клавдию. Это на ее глазах Клавдий поручил  Горацио
"следовать по пятам" за Офелией.
     Гамлет не знает, что Офелию убили.  Но  Гертруда  уже  может  о  чем-то
догадываться. Во всяком случае она тут же понимает, что за жемчужина брошена
в тот самый кубок, который король столь настойчиво предлагает ее сыну. Да, в
ней самой "нет жизни", но она способна  перехватить  роковой  кубок,  спасти
сына и покончить с собой.
     - Старый Гамлет подобен античному герою, спросившему  у  оракула:  "Что
будет, если я перейду пролив?" и получившему в ответ: "Ты разрушишь  великое
царство". Так и случилось, и в случае со Старым Гамлетом речь тоже шла о его
собственном  царстве.  Перейдя  пролив,  отделяющий  Данию  от  Норвегии,  и
захватив какие-то норвежские земли, Датчанин вызывает на поединок Норвежца и
убивает того. Пройдет тридцать лет. Старый  Гамлет  не  разгадает  отношений
собственной жены с собственным братом и  погибнет,  а  его  корона  в  конце
концов достанется сыну Фортинбраса.

     - Королева не разгадала  загадки  смерти  Гамлета-отца.  Эту  тайну  ей
раскрывает Гамлет:

     QUEEN GERTRUDE О, what a rash and bloody deed is this!
     HAMLET A bloody deed! almost as bad, good mother,
     As kill a king, and marry with his brother.
     QUEEN GERTRUDE As kill a king!
     HAMLET Ay, lady, 'twas my word. (III, 4)

     Переведем:

                                  Королева

                    Сколь опрометчиво и сколь кроваво...

                                   Гамлет

                    Кроваво?.. Не кровавей, чем убить
                    Супруга-короля и выйти замуж
                    За его брата.

                                  Королева

                                   Что значит - "убить
                    Супруга-короля"?..

                                   Гамлет

                                         А то и значит.

     Само имя Клавдия - это еще и напоминание о римском  императоре  Клавдии
(из  рода  Клавдиев),  женившемся  на  своей  племяннице  Агриппине  (матери
Нерона).
     До Агриппины женою Клавдия была  Мессалина,  родившая  императору  сына
Британника и после этого, если верить Тациту, не только объявившая  о  своем
разводе, но и вышедшая замуж за Гая Силия.
     Опасность государственного переворота была  велика:  в  силу  тогдашних
законов Силию,  чтобы  стать  императором,  надо  было  всего-навсего  убить
бывшего супруга Мессалины.
     В 48 г. н. э. Клавдий казнил Силия, а Мессалину убили его сторонники. А
потом Нерон отравил Британника.
     Римская пара Клавдий - Мессалина параллельна "датской" паре  Клавдий  -
Гертруда. И не только потому, что  известные  всему  Риму  любовные  подвиги
Мессалины вошли в поговорку, и  ее  имя  стало  нарицательным  именем  блуда
(Гамлет говорит, что Клавдий сделал его мать шлюхой), но и потому,  что  обе
женщины в конечном счете погибли из-за своих мужей-Клавдиев.
     Гертруда спровоцировала убийство своего мужа,  пойдя  на  роман  с  его
братом. Без этого  Клавдию  не  было  бы  никакого  резона  убивать  Старого
Гамлета, ведь ему нужна была гарантия того, что королева  немедленно  пойдет
за него замуж. (В противном случае на престол должен был взойти ее сын.)
     В первом же своем монологе Клавдий объясняет механику своей  коронации,
сообщая придворным, что он стал государем, женившись на "владычице Дании".

     - Лаэрт и Гамлет не угадали ни загадки положения Офелии, ни загадки  ее
смерти. Они так и не узнают, что  она  беременна  и  что  по  намеку  короля
проводил ее на смерть Горацио.

     - Лаэрт не разгадал смысла песен Офелии. Он считает, что она  поет  про
прошлое, а Офелия предсказывает будущее. Вот что она сообщает брату:

     "Ты должен петь все ниже, ниже... И звать его все ниже, ниже..."
     "You must sing a-down a-down, An you call him a-down-a". (IV, 5)

     Офелия поет это двустишие Лаэрту, предсказывая, что он  спрыгнет  в  ее
могилу и зазовет туда Гамлета.
     Второй смысл пророчества в  том,  что  именно  Лаэрт  предложит  королю
намазать свою рапиру ядом и убьет жениха своей сестры.
     Не разгадывает смысла ее песен и король.

     - Лаэрт не разгадал загадку смерти отца, хотя поверил,  что  того  убил
Гамлет. Не разгадал  Лаэрт  и  замысел  короля  избавиться  разом  от  обоих
бунтовщиков - Лаэрта и Гамлета. Хотя Клавдий при нем проговорился, рассуждая
о Ламоре ("Он превзошел все, что я мог представить себе, и я намного уступаю
ему в уменье  принимать  разные  обличия  и  строить  уловки!").  Не  угадав
намерений Клавдия, Лаэрт гибнет. Но перед смертью открывает Гамлету, что  яд
и в кубке, и на острие рапиры. Король разоблачен, и Гамлет его убивает.

     - Горацио разгадывает механизм восстания Лаэрта. (Повод к бунту - слухи
об убийстве Полония королем, к тому же безумная Офелия невольно  провоцирует
своим видом и  своими  речами  датчан  на  выступление  против  ненавистного
Клавдия.) Хотя предупреждение Горацио и запоздало, король успевает внутренне
подготовиться к психологическому поединку с Лаэртом и переигрывает юнца.

     "Последуйте за нею по пятам. Прошу вас!.."
     "Follow her close; give her good watch, I pray you". (IV, 5)

     Горацио, как мы уже знаем, тут же понял смысл этой фразы короля.

     - Стражники-швейцарцы - наемники. Король платит им,  и  потому  они  за
короля.
     Видимо, все они (может быть, кроме Бернардо) гибнут, защищая короля  от
восставших датчан. Они просто поставили не на того государя,  то  есть  тоже
"не угадали". Верность за деньги - не менее опасное занятие, чем  любовь  за
деньги.



                    "...размазал по льду залива польские сани..."
                    "...he smote the  sledded Polacks on the ice". (I, 1)

     Темная эта фраза Горацио проясняется, если взглянуть на карту  западной
Балтики. Самым коротким и удобным для нападения поляков на датчан был санный
путь по замерзающему у берегов Балтийскому морю. Альтернатива -  путь  через
Германию, но для прохода через немецкие земли нужно было получить  такое  же
разрешение, какое у Клавдия просил Старый  Норвежец  для  своего  племянника
Фортинбраса. Очевидно, Старый Гамлет нанес по полякам удар сбоку, из засады,
когда их армия находилась не в боевом строю, а в санях, то есть в обозах.
     Так что пастернаковские "выборные Польши", которых  он  посадил  в  эти
сани, абсолютно ни при чем.

                    "И шепоток, который, как из пушки..." (IV, 1)

     В оригинале образ восходящего по диаметру земли извержения, потрясающий
по силе образ народного возмущения:

                    And what's untimely done; so haply slander,
                    Whose whisper o'er the world's diameter...

     В моем переводе:

                    И шепоток, который, как из пушки,
                    Из жерла недр прямою бьет наводкой
                    Мучительным и смрадным изверженьем,
                    Взошедшим по диаметру земли, -
                    Просвищет мимо имени монарха
                    И поразит неуязвимый воздух.

     Еще одна ключевая метафора "Гамлета" - метафора тлена, гнили и  смрада.
Она не раз возникает, если  речь  идет  об  Эльсиноре  или  о  его  нынешнем
правителе.
     Когда Гамлет с Горацио  и  Марцеллом  отправляется  на  эспланаду,  они
слышат гром пушки, и происходит такой разговор:

                                  Горацио

                    Милорд, что означают эти звуки?

                                   Гамлет

                    А то, что наш король и ночью бдит.
                    На радостях надулся, ну и скачет.
                    И всякий раз, когда он осушает
                    Свой кубок, полный самым светлым рейнским,
                    Взамен его и в честь его фанфары
                    Пердят на всю округу.

                                  Горацио

                                            Такова
                    У вас традиция?

                                   Гамлет

                                    Ну, что-то вроде.
                    Традиция, к которой невозможно
                    Привыкнуть, даже если здесь родился... (I, 4)

     Говоря о фанфарах, Гамлет  произносит  глагол  "to  bray",  что  значит
издавать резкий неприятный звук или кричать по-ослиному. Но  представляется,
что сам образ  труб,  орущих  всякий  раз,  как  король  осушает  кубок,  не
оставляет возможности более мягкого перевода.
     Начинаясь  с  вони,  эта  сцена  тем  же  должна   и   закончиться.   И
действительно: Марцелл говорит, что в Датском королевстве пахнуло тленом. На
это Горацио отвечает: "...heaven will direct it" ("Небо его направит"). Но в
оригинале речь не просто о  гниении,  а  именно  о  тлене,  могильном  тлене
датского  государства,  проступившем  на  поверхность  вместе   с   явлением
Призрака.
     Полагаю,  что  в  этом  месте  актер,  игравший  Горацио,  выходил   на
авансцену, находившуюся под открытым небом (потолка в "Глобусе" не было),  и
махал рукой перед собственным носом. Если вообразить спертый дух зрительного
зала "Глобуса", где у сцены стояли  кадки  с  парашей  и  только  отсутствие
потолка обеспечивало и свет, и вентиляцию,  станет  ясно,  что  эта  реприза
должна была пользоваться оглушительным успехом.
     Впрочем, верить  шекспировским  героям  на  слово  может  только  очень
наивный читатель. Это нередко относится даже к тому, что  произносит  Гамлет
(не говоря уже о Клавдии, который сам проговаривается,  что  умением  менять
личины его превосходит лишь нормандец Ламор).
     За неразгаданную загадку герои Шекспира платят одним - жизнью.
     Из  четырнадцати  значимых   персонажей   "Гамлета"   одиннадцать   или
двенадцать не  проходят  испытания  загадками  и  гибнут.  Это  Гамлет-отец,
Гамлет-сын,  Клавдий,  Гертруда,  Полоний,  Офелия,  Лаэрт,   Розенкранц   и
Гильденстерн, а также, вероятно, Бернардо, Марцелл  и  Франциско.  И  только
один выживает. Это Горацио, который разгадал все загадки.



     Ключ к замыслу "Гамлета" -  Вторая  глава  Второго  Соборного  Послания
апостола Петра, где премудрость Евангельских советов противостоит  житейской
"мудрости мира сего".

     "Их  речь  полна  мудрости  мира  сего  /.../  Ибо  произнося   надутое
пустословие, они уловляют в плотские похоти  и  разврат  тех,  которые  едва
отстали от находящихся в заблуждении..." (Гл.2, 17, 18)

     "Надутое пустословие"  -  это  Клавдий  и  Полоний,  Горацио  и  Озрик,
бездарные  трагедии,  разыгрываемые  бездарными  столичными  трагиками,  это
священник, для которого "указание свыше" исходит  аж  от  короля,  это  слог
межгосударственных договоров, в коих любовь  равняется  венку  из  пшеничных
колосьев, а также запятой, это Розенкранц и  Гильденстерн.  Ну  а  "плотские
похоти едва отставших от находящихся  в  заблуждении"  -  это  о  Гамлете  и
Офелии.
     А вот еще о Клавдии:

     "Они получат возмездие за беззаконие: ибо они полагают удовольствие  во
вседневной роскоши;  срамники  и  осквернители,  они  наслаждаются  обманами
своими, пиршествуя с вами". (Гл. 2, 13)

     Петр, как и Офелия, знает о грядущей своей мученической смерти.
     Офелия, как  и  Петр,  видя  свое  страшное  будущее,  полна  оптимизма
истинной веры. Петр пишет о наступлении времени лжепророков, времени,  когда
многие проповедующие Христа отпадут от него.
     В такое же  "переломное"  время  живет  и  Шекспир.  За  сорок  лет  до
гражданской войны и диктатуры Кромвеля он видит, что дело прямым ходом  идет
к катастрофе: время вывихнулось и свихнулось.
     Вторая  глава  Поучения   апостола   Петра   обличает   лжепророков   и
лжеучителей. В роли одного из таких деятелей выступает  в  1  сцене  I  акта
Горацио, весьма комично пророчащий падение Дании и сравнивающий свое время с
кануном падения Рима.
     Очевидно, что вторая глава этого  Поучения  весьма  занимала  Шекспира.
"Плохая мудрость" тех, кого Святой Петр называет "сынами проклятия",  -  это
то, что в конечном счете сделало Офелию  сумасшедшей,  погубило  ее  отца  и
брата.
     То, что в Ветхом Завете было истинной "мудростью",  стало  новозаветной
Благой  Вестью  о  воскресении  мертвых  (отсюда  церковнославянская  калька
"Благовествование" с греческого  "Евангелие").  На  это  и  уповает  Офелия,
окончательно прощаясь со всеми: "Да помилует Господь душу его  и  души  всех
христиан. Только об этом и молю. Господь с вами!"
     Лжеучителя "вывихнувшего сустав времени" - Клавдий,  Полоний,  Горацио,
Озрик и прочие. Ибо они "обещают то, чего сами не  имеют"  (Гл.  2,  17-18).
Таких апостол Петр сравнивает с "безводными источниками".
     Утопление Офелии в  ручье  -  жест  почти  ритуальный:  в  евангельском
контексте ручей, в котором погибла Офелия, выглядит каплей нового всемирного
потопа. В том же Втором Послании апостола Петра читаем:

     "И если не пощадил первого мира, но в восьми душах  сохранил  семейство
Ноя, проповедника правды, когда навел потоп на мир нечестивых". (Гл. 2, 5)

     Семейство датской короны гибнет именно "в восьми  душах":  Гамлет-отец,
Гамлет-сын, Гертруда, Клавдий, Офелия, ее нерожденный сын Робин, ее  отец  и
брат. Во времена Ноя  -  восемь  спасенных,  во  времена  Гамлета  -  восемь
загубленных (включая и не рожденного Офелией Робина, принца Датского). Это и
есть шекспировская реализация метафоры "вывихнувшегося времени".
     Гамлет говорит о  "животном  беспамятстве",  а  Фортинбрас  над  грудой
августейших трупов - о "самоистреблении". Именно об этом и у апостола Петра:

     "Они,  как  бессловесные  животные,  водимые  природою,  рожденные   на
уловление и истребление, злословя то, чего не понимают,  в  растлении  своем
истребятся". (Гл. 2, 12)

     Повторимся: Шекспир имел право  писать  так,  чтобы  в  рукописи  смысл
интриги был понятен лишь ему самому, ибо не отдавал пьес другим  режиссерам,
он сам ставил то,  что  сам  и  написал.  Отсюда  и  чрезвычайная  скудность
ремарок, и отсутствие интермедий в пьесах Шекспира.
     Очевидно,  пытаясь  обезопасить  себя  от  кражи  текста  конкурентами,
Шекспир записывал лишь текст, который должен быть произнесен со сцены.
     Если  я  прав  в  своей  реконструкции   шекспировского   замысла,   то
четырехвековая история с трактовкой образа Горацио показывает, что  у  этого
поэта можно было украсть разве что "текст слов". И  когда  на  шекспировские
спектакли  приходили  агенты  его  конкурентов  и  прямо  в  зале   пытались
стенографировать пьесу, они получали не пьесу, а всего лишь  произносимые  в
ней слова. И не получали драматического ключа к ним.
     Отсутствие шекспировской рукописи "Гамлета" (или подготовленного по ней
самим автором издания) сыграло дурную шутку с читателем.
     Дело было усугублено тем, что Шекспир все время выворачивает  наизнанку
клише и штампы  своих  предшественников  и  современников.  И,  как  мы  уже
убедились, нельзя верить его героям на слово: герой может выдавать  желаемое
за  действительное  или  лгать,  может  говорить  одно,  а  совершать  нечто
противоположное.
     Художественный зазор между словами и действием, собственно,  и  следует
называть драматургией Шекспира.
     Ткань шекспировской пьесы столь органична, что сама помогает  читающему
разгладить ее складки и разглядеть тайный ее орнамент.  Надо  лишь  помнить,
что у каждой шекспировской загадки есть разгадка, и  сам  автор  сочувствует
взыскующему смысла  читателю,  стремясь  подсказать  правильный  ответ.  Тот
ответ, который поначалу и в голову не может прийти именно из-за его простоты
и парадоксальности.
     Если  судить  по  "Гамлету",   общепринятое   мнение   об   "условности
шекспировской драматургии" - проблема нашего умения читать Шекспира.
     Эта проблема,  разумеется,  куда  шире,  чем  даже  сама  шекспировская
драматургия.
     Наше культурное знание на девять десятых основывается на мифологической
модели, предложенной нам опытом и разумением  предшествующих  поколений.  Но
гений - современник не своих современников, а  тех  поколений,  которые  или
способны его понять, или хотя бы приблизиться к пониманию.
     "Гамлетовский" миф в том виде, в котором он сложился за четыреста  лет,
прошедших  с  первого   пиратского   издания   пьесы   Шекспира,   как   мне
представляется,  более  не  может  быть  питательной  средой  и   источником
вдохновения новых художников: этот колодец вычерпан до дна.
     В театрально-экранном "Датском королевстве", если судить  по  последним
мировым постановкам и экранизациям, что-то прогнило: вроде бы все на  месте,
а заметных открытий почему-то нет.
     Это значит, что открытие "Гамлета" еще впереди.




     В  русских  изданиях  и  букет,  и   венок   Офелии   подробнее   всего
откомментированы А. Горбуновым (Уильям Шекспир. Гамлет. Избранные  переводы.
М, 1985).
     Отмечая,  что  "сцена  с  букетом  до   конца   не   прояснена",   этот
исследователь придерживается традиции  английских  комментариев  и  приводит
символические значение трав и цветов в шекспировское время:
     Розмарин - эмблема  памяти,  анютины  глазки  (от  французского  pensee
'мысль') - символ мысли и любовных дум. (Эти цветы Офелия вручает Лаэрту.)
     Укроп - эмблема лести и притворства,  а  водосбор  -  измена  в  любви,
супружеская неверность (видимо, начальный смысл  -  вообще  предательство  -
A.Ч.)
     Заметим, что Морис Метерлинк в своих  этюдах  "Разум  цветов"  называет
водосбор  "печальным".  (Впрочем,  это  может  быть  и  отсылкой  к   тексту
"Гамлета".)
     А. Горбунов пишет: "Некоторые исследователи считают, что  Офелия  дарит
эти цветы Клавдию, поскольку он с помощью лести соблазнил жену своего брата.
Другие - что она дарит их Гертруде как неверной супруге".
     Правы, как нетрудно убедиться, - первые (это ясно по  набору  из  руты,
маргариток и фиалок,  который  предназначается  королеве,  потому  что  руту
Офелия оставляет и для себя).
     Безусловным подтверждением передачи руты именно Гертруде может  служить
и комментарий А. Горбунова к with a difference: "Difference - геральдический
термин - указывающий на признак младшей линии  рода.  Однако  Офелия  скорее
всего имеет в виду 'иначе', 'по-другому'. Она оставляет  руту  и  для  себя,
давая при этом понять, что ее печаль и раскаяние иного рода".
     Но Клавдий -  и  впрямь  младший  брат,  с  которым  королева  изменила
старшему.
     Рута - эмблема печали и раскаяния. У А. Горбунова  читаем:  "Воскресной
травой благодати ее, видимо, называли потому, что каявшиеся в грехах  носили
ее по воскресеньям  в  церковь.  Относительно  того,  кому  Офелия  в  своем
прозорливом безумии дарит руту, мнения также разделились. Одни считают,  что
Гертруде, чтобы она оплакала измену мужу,  другие,  что  Клавдию,  чтобы  он
раскаялся в содеянном".
     Усомнившись в достоверности ношения руты грешниками, отметим, что правы
(частично) вновь первые.
     Маргаритка (а значит, скорее всего, и похожая на нее "садовая  ромашка"
-  нивяник)  -  эмблема   несчастной   любви.   (Вот   почему   эти   цветы,
предназначенные королеве, будут потом вплетены и в  венок  самой  Офелии!  -
А.Ч.)
     Фиалки - символ верности в любви. Увядшие  фиалки  (по  А.Горбунову)  -
символ того, что "верность исчезла при датском  дворе".  (Но  для  Лаэрта  -
символ чистоты Офелии. См. сцену на кладбище.)
     Теперь о гибели Офелии и ее венке.
     Ива, к которой приходит Офелия, - дерево печали и траура.
     Crow-flowers (А.Горбунов переводит их как "дрема") - уныние, крапива  -
боль и предательство (увы, nettle - не крапива, а "глухая крапива",  которая
не жжется, но цветет белыми цветами), маргаритка - несчастная любовь.
     Н. Ф. Золотницкий, издавший в начале XX в.  популярный  труд  "Цветы  в
легендах и преданиях" (см. репринтное издание М., 1991), пишет, что  анютины
глазки - цветок Юпитера и Валентинова дня (что важно для нас, ведь  одна  из
песен Офелии именно  о  Валентиновом  дне).  Как  указывает  этот  автор,  в
христианском мире анютины глазки  считались  цветком  Святой  Троицы  (из-за
темного треугольно пятнышка  в  центре  цветка,  которое  осмысливалось  как
Всевидящее Око).
     По моей просьбе лингвист и биолог  Сергей  Николаев  уточнил  атрибуцию
цветов  Офелии.  В  своей  работе  он  пользовался  специальными  словарями,
справочниками и сведениями с англоязычного сайта "Сад Шекспира":

http://nths.newtrier.kl2.il.us/academics/science/~goralb/shakespeare_garden

     Набор трав и цветов, определенный С. Николаевым, несколько  отличен  от
"общепринятого". Я лишь дополнил его комментарий необходимыми сведениями  из
комментария А.  Горбунова  и  некоторыми  ранее  не  отмеченными  текстовыми
параллелями. См. с. 305.


                       Сергей НИКОЛАЕВ, Андрей ЧЕРНОВ





     Вот что Офелия говорит, появляясь с цветами  перед  братом,  королем  и
королевой:

     There's rosemary, that's for remembrance; pray,
     love, remember: and there is pansies, that's for thoughts.
     . . . . . . . . . . . . . . . . . . . . . . . .
     There's fennel for you, and columbines;
     there's rue for you; and here's some for me:
     we may call it herb-grace o' Sundays:
     О you must wear your rue with a difference.
     There's a daisy: I would give you some violets,
     but they withered all when my father died:
     they say he made a good end...

     До нас  не  дошли  шекспировские  ремарки,  но  по  контексту  нетрудно
догадаться, что именно Офелия дает королю, а  что  королеве  (дважды  Офелия
добавляет слова for you, и становится понятно, что фенхель  и  водосбор  она
принесла для Клавдия, а руту и маргаритки для Гертруды):

     (Лаэрту) Вот розмарин, для памяти; прошу тебя, люби,
     помни: а это анютины глазки, они, чтобы мечтать...
     (Королю) Для вас фенхель и водосбор...
     (Королеве): А это рута для вас; и тут еще немного для меня,
     ведь мы можем звать ее букетом воскресной благодати.
     Только вашу руту вы должны носить не так, как прежде.
     Это нивяник... А еще я хотела подарить вам фиалки,
     но они увяли, когда умер мой отец.
     Говорят, у него была легкая смерть.

     Розмарин  (rosemary)  -  Rosmarinus  officinalis  L.   -   вечнозеленый
полукустарник из семейства  губоцветных.  Листья  узколинейные,  кожистые  с
завороченными краями.
     Светло-фиолетовые   цветы   собраны   пучками   в   пазухах    листьев.
Возделывается как пряное и медицинское  растение.  Полное  русское  название
(перевод с латыни) - розмарин  аптечный.  Символика  розмарина  объяснена  в
словах Офелии (for remembrance - для воспоминаний, памяти).

     Анютины глазки (pansy) и (душистые, весенние) фиалки (violets)
     Фиалка - Viola, род растений  семейства  фиалковых.  Многолетние,  реже
однолетние травы, иногда полукустарники. Цветки  фиолетовые,  желтые,  белые
или разноцветные, одиночные.
     У нас (и по всей средней полосе Европы, в том числе и в Англии)  фиалка
душистая (Viola odoratd) является дикорастущей, но  с  древности  разводится
как декоративное, иногда как эфирномасличное растение.
     Фиалка трехцветная (Viola tricolor)  -  сорняк,  растет  в  Европейской
части России и на юге Западной Сибири; вместе с горной фиалкой алтайской (V.
altaica) и некоторыми другими она послужила  одним  из  исходных  видов  для
создания  садовой  фиалки  Витрокка,  или  садовых  анютиных  глазок  (Viola
wittrockiana), многочисленные сорта которой распространены в цветоводстве.
     В переводе у Михаила Лозинского садовая трехцветная  фиалка  называется
"Троицын цвет". Это  одно  из  народных  названий  анютиных  глазок  (фиалки
трехцветной, Viola  tricolor).  Очевидно,  у  Шекспира  под  словом  violets
имеются в виду одноцветные фиалки, противопоставленные трехцветным (анютиным
глазкам, pansy).
     Фиалка  душистая  (violet)   -   раннее   весеннее   растение,   символ
верности/покорности/скромности (как и прочие фиалки).  На  похоронах  Офелии
Лаэрт говорит: "And from her fair and unpolluted flesh May violets  spring!"
("И пусть из ее прекрасного и непорочного тела в мае прорастут фиалки!")  Из
этого следует, что для Шекспира фиалка - еще и символ чистоты и невинности.
     В Англии розмарин (rosemary) исключительно и фиалки (violet, pansy)  по
преимуществу  растения  садовые,  оба   английских   названия   французского
происхождения, так как  их  культура  была  завезена  из  Франции.  Все  они
ароматические и лекарственные (и потому относительно ядовитые  -  неядовитых
лекарственных растений крайне мало).

     Рута душистая (rue) - Ruta graveolans  L.  (в  Англии  и  Дании  только
садовая) на своей родине растет на сухих каменистых склонах, ядовита. Листья
испещрены  просвечивающими  железками,  содержащими  ароматические   эфирные
масла. Цветки 4-5членные, в полузонтичных  соцветиях.  Плод  -  4-5-гнездная
коробочка. Издавна  культивируется  в  Европе  как  пряное  и  лекарственное
растение. Владимир Даль отмечает ее пахучесть и пряную горечь. Рута (гае) из
старофранцузского rue и далее из латинского ruta - это не только цветок,  но
и существительное, означающее "жалость, раскаяние, сожаление,  сострадание".
Во времена Шекспира эта травка -  символ  repentance  (покаяния,  сожаления,
раскаяния), а также девственности.

     Нивяник и маргаритка (daisy)
     Нивяник - Chrysanthemum leucanthemum. Многолетнее растение из семейства
сложноцветных. В  трактовке  англичан  садовые  daisies  -  как  правило  не
маргаритки и не ромашки (как это принято  в  ботанической  номенклатуре),  а
нивяник. У нас он тоже культивируется  под  названием  "(садовая)  ромашка".
Наиболее распространен нивяник обыкновенный, или поповник, имеющий махровые,
декоративные  садовые  формы.  Соцветия  -  крупные  одиночные  корзинки   с
черепитчатой оберткой, похожи на крупную ромашку. Краевые цветки  пестичные,
язычковые, белые; срединные - обоеполые, трубчатые, желтые. Плод - семянка с
продольными ребрами. Растет в  умеренном  поясе  Евразии  по  лугам,  лесным
полянам, кустарникам, залежам, иногда как сорное на полях и  в  огородах;  в
составе сена поедается скотом. Часто разводится как  декоративное  растение,
имеет махровые садовые формы, издавна используется в  медицине  (так  что  в
этом смысле тождественно  маргаритке).  Символика  неведома,  однако  скорее
всего близка или тождественна символике маргаритки.
     Маргаритка (daisy). Латинское название - Bellis  perennis.  Многолетнее
растение из семейства сложноцветных с  корневой  розеткой  лопатчатых  тупых
листьев и одиночной  головкой  с  белыми  или  розовыми  краевыми  цветками.
Разводится нередко в садах во многих разновидностях и часто дичает.
     Михаил Лозинский переводит daisy как "маргаритка", Борис Пастернак  как
"ромашка". Так как  все  растения,  собранные  Офелией  для  ее  "букета"  -
садовые, можно предположить, что  и  daisies  садовые.  Слово  daisy  сейчас
значит  "цветковое  растение  семейства  сложноцветных",  то  есть  ромашка,
маргаритка, астра (и даже подсолнух в Америке). В  Англии  под  дикой  daisy
сейчас обычно  понимается  маргаритка  (так  как  конкретно  ромашка  -  это
camomile), под культурной daisy - как нивяник  ("садовая  ромашка"),  так  и
(садовая) маргаритка, но что имел  в  виду  Шекспир,  мы  не  знаем.  Цветет
маргаритка в апреле - июне, нивяник чуть позднее. Символ несчастной любви.

     Фенхель (fennel) - Foeniculum vulgare -  это  не  укроп,  как  полагали
русские переводчики "Гамлета", а так  называемый  "душистый  укроп",  совсем
другое растение (укроп по-английски dill), редко выращиваемое  в  российских
огородах. Английское fennel  в  конечном  счете  из  латинского  foeniculum,
вероятно,  через  немецкое  или  французское   посредство.   Дикий   фенхель
обыкновенный растет на сухих  склонах,  возделывается  как  эфирномасличное,
лекарственное и пряное растение, в Англии не встречается, но  культивируется
как садово-огородное растение. Англичане не путают укроп с фенхелем,  как  и
мы морковь с петрушкой.
     В Европе наиболее распространен фенхель обыкновенный (F. vulgare).  Это
мощное  (до  двух  метров  высотой)  двухлетнее  или  многолетнее   растение
семейства зонтичных, внешне похожее на  тмин  луговой.  Соцветие  -  сложный
плоский зонтик. Мелкие желтые  цветки  соцветия  очень  ароматные.  Плоды  -
ароматные двусемянки, продолговатые, овальные.
     Родина фенхеля - Южная Европа, область Средиземноморья  и  Малой  Азии.
Еще древние греки, римляне, египтяне, индийцы и китайцы использовали его как
пряность и лекарство. Фенхель возделывают  ради  плодов  со  сладким  пряным
ароматом,  напоминающим  анис,  и   сладковатым,   слегка   острым   вкусом.
Летомосенью собирают зрелые зонтики, сушат и обмолачивают. В настоящее время
культивируют в Северной  Европе,  в  Средиземноморье,  в  Северной  и  Южной
Америке, Китае, Восточной Индии.
     Фенхель оказывает отхаркивающее и дезинфицирующее действие. В  народной
медицине отвар фенхеля пьют при метеоризме (вздутии  живота  из-за  газов  в
кишечнике), кашле, бессоннице.

     Водосбор; орлик; аквилегия (columbine) - Aquilegia vulgaris - растет по
лесным полянам, опушкам, издавна выращивается как декоративное. Относится  к
семейству лютиковых. Разводится  в  садах,  всего  чаще  A.  vulgaris  L.  с
фиолетовыми цветами, реже красными, розовыми  и  белыми;  известны  сорта  с
простыми и махровыми цветками. Русское  "водосбор"  -  калька  с  латинского
научного названия рода Aquilegia,  но  почему  оно  так  по  латыни  названо
Линнеем, не очень понятно. Одни авторы производят название рода от латинских
aqua "вода" и lego "собираю", по способности листьев и  цветков  собирать  и
сохранять дождевую воду и росу; другие -  от  aquila  "орел",  по  изогнутым
шпорцам цветка водосбора,  напоминающим  когти  орла  (отсюда  более  редкое
русское название орлик). Шекспир  не  вкладывает  в  это  название  никакого
"водного" смысла: с водой это растение связано только  у  ботаников  (Линней
назвал этот цветок "аквилегией" через полтора века после  смерти  Шекспира).
Плод - пятилистовка. Семена мелкие, черные, блестящие.
     Ядовитое и лекарственное растение.
     Длинные   стебли   аквилегии   символизируют    любовную    неверность,
предательство, неблагодарность (columbine в этом смысле  -  антоним  violet,
душистой фиалки).



     Душистые (лекарственные, отчасти  ядовитые)  цветочки,  которые  Офелия
дает Лаэрту, королю и королеве, - все исключительно садовые. Рута - растение
по всей Европе магическое. Рута и фенхель в Англию завезены  как  культурные
растения (в диком виде не встречаются). В Англии есть своя дикая  аквилегия,
но она имеет другое название  (и  цветки  у  нее  невзрачные),  а  роскошная
садовая ароматная columbine, судя по названию, завезена из Италии.  Так  что
Офелия принесла с собой целую аптеку, причем наполовину очень ядовитую.
     Офелия сама говорит о herb-grace, то есть лекарственном сборе (herb-) в
роли "воскресной благодати". И  вручает  Лаэрту,  королю  и  королеве  набор
ядовитых травок (все они и погибнут от яда). Не ядовиты тут  только  фиалки,
которые Офелия и не вручила, поскольку "после смерти отца они завяли".
     Вручение королю и королеве  _антонимичных_  свежей  ядовитой  аквилегии
("предательство") и увядших фиалок (завядшая "верность")  -  это  и  есть  и
откровенный комментарий Офелии к смыслу ее цветов. Все  "аптечные"  растения
садовые, этимология у  них  франко-итальянская  par  excellence,  похоронной
символики они не имеют.
     Напротив, венок Офелии составлен из дикорастущих растений с английскими
именами и с явно похоронными коннотациями (плюс  фаллическая  у  ятрышника),
что в контексте пьесы понятно. Из них  лишь  ятрышник  лекарственный,  но  в
отличие от растений из букета  не  ядовит,  а,  напротив,  используется  как
противоядие.



     There with fantastic garlands did she come
     Of crow-flowers, nettles, daisies, and long purples
     That liberal shepherds give a grosser name,
     But our cold maids do dead men's fingers call them...

     Офелия  пришла  к  иве  не  с   "гирляндами"   или   "венками",   а   с
одним-единственным венком: по-английски garland значит "венок, сплетенный из
одного  вида  цветов",  a  garlands,  наряду  с  "венки",  также  и  "венок,
сплетенный из нескольких видов растений". Вот состав ее венка:

     Горицвет; горицвет  кукушкин;  кукушкин  цвет  (crowflower  -  "вороньи
цветы") - синонимы, на латыни  это  Lychnis  flos-cuculi  (русское  название
"кукушкин  цвет",  по-видимому,  перевод  с  латыни).  Ничего  кроме   этого
crow-flower поанглийски  не  значит.  Горицвет  -  многолетнее  растение  из
семейства гвоздичных (Caryophyllaceae). Названо оно  так  за  яркие  цветки.
Соцветие - рыхлая метелка. Цветы розовые, с бахромчатыми лепестками.  Цветет
в мае - июне.
     Похоронная символика звучит в английском названии горицвета,  поскольку
ворон (raven) и ворона - "птицы смерти".

     Яснотка (nettle). Латинское название - Lamium.
     По английским ботаническим справочникам nettle - это как  яснотка  (она
же "глухая крапива"), так и крапива, а вовсе не исключительно  крапива,  как
полагают неспециализированные словари. В Англии общее название для крапивы и
яснотки nettle, крапива - stinging nettle, а белая яснотка -  nettle,  white
nettle или  dead  nettle,  "мертвая  крапива/яснотка"  (стандартные  словари
переводят русскую яснотку именно как dead nettle).  На  вид  она  похожа  на
крапиву, но не жгучая,  с  красивыми  белыми  (белый  цвет  -  цвет  траура)
цветами. Присутствие ее в девичьем венке - дело на  редкость  странное,  тем
более что цветки  невзрачны,  растение  обладает  неприятным  запахом  и  не
участвует в "языке цветов". Также как и crow-flowers, яснотка в медицине  не
используется и не ядовита.
     Похоронная символика очевидна (белый цвет цветков и  "полное"  название
растения dead-nettle).

     Ятрышник, дремлик (dead man's  finger  -  палец  мертвеца)  -  одна  из
северных орхидей. Это многолетние травы средней величины,  которые  имеют  в
земле один или два клубня - от округлого до яйцевидного и  даже  членистого.
Цветки  располагаются  на  верхушке  стеблей  в  прямостоящих   колосовидных
соцветиях. Цветут с апреля по июнь в зависимости  от  вида.  Встречаются  на
лугах, по откосам, в лесах - в зависимости от вида. Цветы ятрышника  приятно
пахнут и долго не вянут.
     Наиболее  распространен  ятрышник  пятнистый  (Orchis  maculata  L.)  -
многолетнее травянистое растение из семейства орхидных, высотой 15-60 см,  с
двумя утолщенными в виде клубней  корнями.  Стебель  простой,  облиственный,
заканчивающийся  длинным  колосом  пурпуровых  или  фиолетовых   цветков   с
продолговатым,    колосообразным    соцветием.    Листья    линейно-     или
широколанцетные, суженные в черешок или обхватывающие стебель. Цветки  самых
различных красок.  Цветет  в  июне  -  июле.  Распространен  почти  на  всей
территории России и  Европы,  за  исключением  Крайнего  Севера.  Растет  по
влажным  лугам,  опушкам  лесов,  на  лесных  полянах,  между  кустарниками.
Используются молодые клубни, носящие название "клубни салепа",  собранные  в
конце цветения растения,  в  июле  -  августе.  Слово  салеп  происходит  от
арабского салаб. Салеп обладает обволакивающим действием  благодаря  наличию
большого количества слизи, крахмала, а также пектиновых веществ. Применяется
при заболеваниях желудочно-кишечного тракта, гастритах,  энтеритах,  диарее,
дизентерии, особенно у детей; при острых и хронических бронхитах, отравлении
некоторыми ядами.
     Электронная "Энциклопедия  лекарственных  растений"  отмечает:  "Клубни
ятрышника, особенно упруго налитые дочерние клубни, в народной  медицине  со
времен  Плиния,  Диоскорида  и   Теофраста   -   авторитетов   для   авторов
средневековых  травников  -  из-за  своей  формы,  напоминающей  мошонку,  и
согласно учению о сигнатурах, по которому каждая вещь оповещает обликом  или
цветом, для чего она предназначена, считаются средством, усиливающим половое
чувство. Полагают, что потребление свежих клубней повышает потенцию.  Однако
это не более чем благие помыслы".
     И еще: эти клубни именно потому и напоминают мошонку,  что  сам  цветок
похож на фаллос. Недаром же королева сообщает, что  это  "длинные  пурпурные
цветы, которые дерзкие на язык простолюдины  называют  непристойно,  а  наши
холодные девы  перстами  мертвецов".  Русские  народные  названия  ятрышника
_любжа_ и _Ивановы руки_ говорят о связи его с  купальской  обрядностью  (по
Далю _любжа_ - приворотное зелье, любовный напиток).
     Венок Офелии включает два растения, одно  из  которых  явно,  а  другое
"имплицитно" содержит в себе слово  dead  (мертвый):  dead  man's  finger  и
(dead) nettle. Цветы гвоздики  (в  данном  случае  crow-flower)  традиционно
используются в европейской традиции как "похоронные", кроме  того,  обращает
на себя внимание присутствие в названии цветка слова crow (ворона - одна  из
"птиц смерти").
     К иве Офелия принесла похоронный венок, чтобы повесить его на ветку над
потоком, как над могилой.

                            эти-      дикое      лекарст-   ядови
       кому       что       мо-       или        вен-       тость     символика
                            логия     садовое    ность



       Лаэрту     rosemary  франц.    садовое      +         (+)      память
                  (розмарин)

       Лаэрту     pansy     франц.    садовое      +          -       любовь;
               (анютины глазки)       и дикое                         мысли

       королю      fennel   франц.    садовое      +          -       лесть,
                  (фенхель)                                           притворство

       королю    columbine
                 (водосбор, итал.     садовое      +          +       предательство
                 аквилегия)

       королеве     rue     франц     садовое      +          +       покаяние,
       и себе      (рута)                                             сожаление

                                                                      верность
                   violet                                             покорность,
                  (фиалка   франц.    садовое      +          -       скромность,
       королеве   душистая)           и дикое                         чистота,
                                                                      любовь

       королеве    daisy    англ.     садовое      +          -       несчастная
                 (нивяник             и дикое                         любовь
                 или мар-
                 гаритка)



       себе      dead's man англ.     дикое        +      противоядие фаллическая
                   finger                                             + похоронная
                 (ятрышник)                                           (dead man's)

       себе   (dead) nettle англ.     дикое        -          -       похоронная
              (яснотка белая)                                         (dead + белая)

       себе   crow-flowers  англ.     дикое        -          -       похоронная
                (горицвет)                                            (crow-flowers,
                                                                      гвоздика)

       себе      daisy      англ.     садовое      +          -       несчастная
             (нивяник или             и дикое                         любовь
             маргаритка)

     Вряд ли Горацио, с чьих  слов  рассказывает  Гертруда,  сочинил  состав
венка Офелии. Мы должны полагать, что его отчет о цветах Офелии точен,  ведь
венок Офелии органичен, в нем строга выдержана обрядовая символика похорон.
     Судя  по  набору  цветов  (как,   впрочем,   по   песенкам   и   прямым
высказываниям) Офелии, она знает, что должна умереть, и гибнет  при  попытке
украсить погребальным венком место своей смерти.
     Другое дело, что Офелия именно приговорена к смерти (и прежде  всего  в
ее гибели виновен Гамлет, который до этого  называет  Офелию  нимфой  и  тем
невольно подсказывает род  ее  гибели  и  ей  самой,  и  подслушивающему  их
объяснение королю).
     Шекспир вновь шифрует свой текст  евангельским  кодом,  ведь  и  Христу
известно, что Куда его предаст. Известно и то, что он умрет на кресте, и то,
что два разбойника будут распяты по обе стороны от него. ("Не  знаете,  чего
просите!" - говорит он, когда двое учеников  просят,  чтобы  он  посадил  их
слева и справа от себя.) При этом никому  в  голову  не  придет  говорить  о
самоубийстве Христа. Заметим, что  и  королева  говорит  не  о  самоубийстве
Офелии, а о  несчастном  случае.  (Мотив  самоубийства  возникает  только  в
диалоге могильщиков, которые ссылаются на следователя.)
     У Офелии в ее "священном безумии" тот же дар ясновидения  (раздает  яды
тем, кто от них и умрет, и себе тоже берет ядовитую руту, ведь саму  ее  уже
убил, как король выразился, "яд ее горя") и та же покорность Божьей воле.
     Выходя из замка,  она  всем  пожелала  спокойной  ночи,  особенно  всем
женщинам ("Спокойной  ночи,  милые  леди!"),  оплакала  своего  нерожденного
Робина, которого "положат в сырую землю" (с ней и в  ней),  пошла  к  ручью,
сплела погребальный венок, взобралась на иву, чтобы повесить его на ветку...
     Все так и было. Только с той лишь подробностью, что за всем этим следят
две пары глаз (по изданию 1604 г.) или одна пара (по изданию 1623 г.).
     В любом случае, _один из_ или _единственный_ наблюдатель и рассказчик -
Горацио.



     ОТ ПЕРЕВОДЧИКА: Необходимость в этой  главе  возникла  после  появления
полемики, которую мы начали с шекспироведом Игорем  Шайтановым  в  альманахе
"Anglistica" (Э 9, Москва - Тамбов, 2002 г.).
     С любезного разрешения Игоря Олеговича  привожу  его  текст  и  заметку
Сергея Николаева, сочиненную специально для этого издания.

                                                              Игорь ШАЙТАНОВ



     Пусковым  механизмом  для  нового  прочтения  трагедии  стал   Горацио.
Школьная трактовка образа Горацио как единственного и верного друга  Гамлета
- странное, хотя и закономерное недоразумение в истории  шекспироведения,  -
считает А.Чернов. Горацио - злодей нового типа, старший брат Яго, едва ли не
убийца Офелии. Неожиданно?
     Прежде чем удивляться или негодовать, вернемся к  тексту  трагедии.  На
чем можно строить дело по  обвинению  Горацио?  Насколько  я  знаю  (хотя  в
огромном  море  шекспировской  литературы  ни  за  что  поручиться  нельзя),
серьезных нареканий Горацио прежде не  вызывал,  но  некоторая  неясность  в
связи с его ролью существует.
     Во-первых, совершенно непонятно его происхождение  -  он  датчанин  или
иностранец при датском дворе? Его собственное свидетельство  на  этот  счет,
если не  в  отношении  его  биографического,  то  духовного  родства,  также
двусмысленно: I am more an antique Roman than a  Dane  (V,  2,  346).  Он  -
философ, стоик, последователь Сенеки.  В  переводе  М.Лозинского  эта  мысль
звучит еще более категорично: "Я римлянин,  не  датчанин  душою..."  В  этом
самом месте в собрании  сочинений  1959-1960  гг.  была  допущена  опечатка,
которая продолжает гулять из  издания  в  издание  и  уже  полностью  делает
Горацио римлянином по происхождению и датчанином (чтобы  это  означало?)  по
духу: "Я римлянин, НО датчанин душою".
     Есть нечто и еще более странное.  Вспомним,  кульминация  гамлетовского
доверия и любви к другу - сцена "Мышеловки" Прямо перед выходом в  зал,  где
должна  играться  пьеса,  Гамлет  произносит  нехарактерный  для   него   по
искренности высказанного слова монолог-хвалу Горацио, человеку, умеющему  не
быть игрушкой в руках судьбы (III, 2, 63-74). Затем следует  "Мышеловка",  в
ходе  которой  Горацио  -  единственный,  кто  допущен  в  план   принца   и
способствует его  исполнению,  следя  за  королем.  Потом  оба  обмениваются
мнениями. И что далее? Гамлет послан  на  смерть  в  Англию.  Горацио  -  во
дворце. Кто он здесь? Какова его роль? Он появляется (IV, 4) вместе с Первым
Дворянином (а Gentleman) или  даже  один  (согласно  Первому  Фолио),  чтобы
объявить королеве о состоянии  Офелии  и  просить  принять  ее.  Современный
комментатор (Harold Jenkins - The Arden  Shakespeare)  замечает,  что  "роль
служителя {attendant) или советника при  королеве  странна  для  Горацио,  и
драматург ского  забывает  о  ней...".  Эта  странность  может  быть  вполне
объяснена обычной сценической экономией,  когда  исполнители  второстепенных
ролей в сравнительно небольшой труппе должны  были  исполнять  не  по  одной
роли. В таком случае Горацио здесь появляется не в характере. Однако  именно
он откликается на реплику короля,  приказывающего  последить  за  покидающей
сцену безумной Офелией: "Горацио уходит".
     А.Чернов это появление кладет в основу характера Горацио, подчиняя  всю
его роль этому удачно начатому - сразу после отъезда Гамлета -  служению  во
дворце. Служению, которое, как он полагает, незамедлительно вознаграждается:
у Горацио своя комната во дворце и свой слуга (IV, 6). Это явный домысел:  о
комнате в ремарке  вообще  речи  нет,  а  слуга  -  один  из  многочисленной
дворцовой челяди, кому поручили доставить Горацио письмо.
     Вовсе фантастична версия с возможной  пантомимой  -  смерть  Офелии,  -
которая и должна была бы наглядно представить  Горацио  в  подлинном  свете,
ведь иначе все сказанное о его превращении  в  еще  одного  Розенкранца  или
Гильденстерна никак не подтверждается ни в тексте, ни в действии.
     Одна из самых ярких интерпретаций Гамлета в XX в. была основана как раз
на новом прочтении пантомимы, сыгранной как часть пьесы об убийстве Гонзаго,
то есть "Мышеловки". Я имею в виду книгу  Довера  Уилсона  What  happens  in
Hamlet (1935). Нас Уилсон интересует как специалист по пантомиме у Шекспира.
     Во-первых,  он  напоминает,   что,   в   отличие   от   его   ближайших
предшественников, Шекспир к пантомиме  не  прибегает.  Гамлет  в  знаменитом
монологе, обращенном к  актерам,  говорит  презрительно  о  невразумительных
пантомимах {inexplicable dumbshows, III, 2,  12).  Зачем  же  тогда  он  сам
допускает пантомиму в "Мышеловке"? Гамлет  (и  это  часть  концепции  Довера
Уилсона) не только не заказывал пантомимы, но  приходит  от  нее  в  ярость,
поскольку она может сорвать его план, слишком рано обнаружив его. Ее играют,
как они  привыкли  это  делать,  актеры.  Пантомима  -  часть  шекспировской
насмешки над  современными  театральными  нравами  и  обычаями.  К  счастью,
Клавдий, как, вероятно, это часто случалось, на  пантомиму  не  обращает  ни
малейшего внимания: просто в этот момент не смотрит на сцену.
     Во-вторых, Шекспир не мог прибегнуть к пантомиме, которая не связана  с
текстом, ее поддерживающим и  объясняющим,  а  если  предположить  вместе  с
А.Черновым пантомиму о смерти Офелии, то в тексте как раз и  нет  ни  одного
слова, к ней обращенного (... there is not a word in the text  that  can  be
quoted in support of it...) {Wilson D.J. What happens in Hamlet.  L.;  N.Y.;
Melbourne, 1976. P. 151-152.}.
     А  это,  по  мнению  Довера  Уилсона,  высказанному  по  поводу  другой
пантомимы в "Гамлете", исключает сознательное ее использование.
     Можно ли считать такой текстовой поддержкой монолог  Гертруды?  Лишь  в
том случае, если его подвергнуть стилистической трансформации, подобной той,
что в переводе А.Чернова претерпевают и все реплики  Горацио,  оказывающиеся
исполненными зловещего потаенного или, наоборот, изобличающего смысла. Слова
Гертруды, по версии А.Чернова, свидетельствуют не о злодейском умысле, но  о
простодушии, доходящем до идиотизма,  с  которым  королева  передает  чье-то
(Горацио?) свидетельство о смерти Офелии.
     Что ушло из этого монолога? Ушла магия слов, красота,  которой  столько
раз вдохновлялись художники (прерафаэлит Д.Э.Миллес) и  поэты  (ранний  цикл
А.Рембо на смерть Офелии). Поэзия лишь намеком звучит в переводе последних -
великих - строк: Till that her garments, heavy with their  drink,  /  Pull'd
the poor wretch from her melodious lay / To muddy death... Такие слова никак
не могут звучать текстовкой к пантомиме на заднем фоне (и как эту  пантомиму
представить: Горацио багром отталкивает Офелию?).
     Сниженный тон монологу в переводе задан  коротеньким  вопросом  Лаэрта,
которому и отвечает Гертруда. Услышав от  нее,  что  Офелия  утонула,  Лаэрт
деловито откликается: "Утонула?.. Где?.."
     Оригинал отличен от  перевода  на  одну  букву,  на  одно  восклицание,
ломающее фразу пополам: "Drown'd! О, where?.." В этом О!  -  риторика  боли,
жест  потрясенности,  утраченный  в  переводе.  И,  добавим,  в  нем  -   не
предусмотренный и неуместный.
     Вносимые в текст изменения, как  видим,  могут  быть  минимальными,  но
текст после них имеет совершенно иной вид и смысл. Можно было бы пройтись по
каждому из штрихов, как их называет  А.Чернов,  к  портрету  Горацио,  чтобы
показать, каким образом он был нанесен, добавлен на правах  того  чуть-чуть,
которое достаточно, чтобы изменить целое. Вот некоторые из штрихов.
     Чернов пишет, что первый монолог Горацио ("Я  перескажу  лишь  то,  что
слышал...") построен на канцелярите. Отнюдь нет. К тому же  он  определяется
не столько характером Горацио,  сколько  своей  функцией:  это  своего  рода
историческое введение в события, то, что прежде у  Шекспира  и  до  Шекспира
сообщал Хор перед началом действия.  Объективное,  безличное  знание,  голос
предания, с которого в этот момент и  говорит  Горацио.  Говорит  никого  не
обвиняя, тем менее - покойного короля, но сообщая о его  подвиге  и  победе.
Перепугался до онемения, когда увидел Призрака... Как тут не онемеешь, а вот
что касается всего последующего и его, Горацио, и офицеров стражи  поведения
в отношении Призрака, то оно, действительно, непоследовательно. И  не  может
быть другим, поскольку они не знают, какова природа Призрака, а отсюда и  не
понимают, как себя вести: почитать ли в нем покойного  короля  или  изгонять
дьявола, для чего все средства хороши, включая удар алебардой.
     "Перед нами метафора цареубийства, причем мистического, посмертного..."
Это, разумеется, чистая фантазия.  Перед  нами  просто  ситуация  абсолютной
неясности в отношении призраков. До 1535  года  с  ними  было  все  понятно:
призраки - души тех недавно умерших людей, кто, ожидая решения своей судьбы,
временно пребывают в  Чистилище.  Однако  Реформация  отменила  Чистилище  и
загадала загадку. Не верить  в  призраков  значило  проявлять  немыслимое  и
опасное вольнодумство (люди за это бывали и осуждены). А если верить, то как
их объяснить? Предположение о дьяволе, принимающем милый облик, чтобы вернее
погубить душу живущего (эта мысль не раз приходит на ум Гамлету), было очень
распространено. Так что алебарда - не орудие  мистического  цареубийства,  а
испытания  мистического  существа,  орудие,   которым   воспользовались   за
неимением лучшего.
     "Одинокие лазутчики (точнее,  шпионы),  -  это  сказано  королем  вслед
Горацио и Джентльмену без лица и имени" - добавляет Андрей Чернов  еще  один
штрих, уже фактически завершающий портрет. "Сказано вслед..." - они выходят,
а король говорит Лаэрту,  совершенно  безотносительно  ушедших,  что  печали
подобны не отдельным  лазутчикам,  а  батальонам,  то  есть  основным  силам
противника. А слово "лазутчик" здесь как раз точнее,  чем  "шпион",  ибо  на
языке Шекспира spy - слово с разнообразным и совсем не негативным значением.
Так, король Лир памятно употребляет его, говоря о себе и об Корделии,  когда
их ведут в тюрьму, где они теперь смогут заняться тайным смыслом вещей:  "As
if we were God's spies..."(V, 3, 17).
     И так далее... Во всем происходит этот сдвиг на чуть-чуть, ведомый даже
не волей и намерением А.Чернова, а тем, что он сменил регистр стиля, и сразу
же  изменились  акценты.  Философ-стоик  Горацио  мгновенно  превратился   в
Молчалина,  а  в   условиях   прежде   трагического   сюжета,   естественно,
эволюционировал в мелодраматического злодея. Произошла  смена  всей  системы
исторических, культурных представлений и  ценностей.  Гуманистический  спор,
длившийся  на  протяжении  XVI  века,  -  стоит  ли  гуманисту   становиться
советником при государе (как известно, Эразм  Роттердамский  говорил  "нет",
Томас Мор  -  "да")  невозможен  в  русском  интеллигентском  сознании,  для
которого любое приближение к власти -  губительный  компромисс.  Горацио  во
дворце?  Значит,  подлец  и  предатель.  Да  и  может  ли   быть   иначе   в
переводе-интерпретации, который, как оказалось,  был  начат  в  ночь  смерти
Андрея  Донатовича  Синявского  и  посвящен  памяти   этого   прославленного
диссидента.
     Чернов несколько раз читал свой перевод. Сначала в  узком  театральном,
академическом кругу. Первое публичное чтение состоялось 31  мая  2001  г.  в
Музее Маяковского,  где  мы  и  обменялись  с  ним  развернутыми  репликами,
литературная  версия  которых  предлагается  здесь.  Я  же  хочу  завершить,
сославшись на мнение, прозвучавшее тогда в кулуарах: это скорее  не  перевод
Гамлета, а новая пьеса - "Горацио", похожая на пьесу Стоппарда о Розенкранце
и Гильденстерне.
     Будет ли это "Гамлет" или это будет "Горацио", но то, что делает Андрей
Чернов, имеет одно безусловное  преимущество  в  сравнении  с  бесчисленными
шекспировскими или пушкинскими загадками-разгадками последнего времени,  где
непременно  главными  героями  оказываются  то  Дантес,  то   Ретленд:   нас
возвращают к тексту. И даже если мы останемся при своем прежнем  мнении,  мы
должны будем научиться защитить  его,  а  для  этого  -  прочесть  известное
заново, увидеть острее  и  ответить  на  вопросы,  над  которыми  прежде  не
задумывались.


                                                             Сергей НИКОЛАЕВ



     Мне понятно, почему Андрея Чернова заинтересовал Горацио. Я ни  в  коем
случае не согласен с исследователями, критикующими Чернова за  то,  что  он,
следуя моде, преподносит нам очередную фантазию на  тему  "Гамлета".  Чернов
никоим образом не преследует эту цель. Центральное место  в  драме  Шекспира
остается за Гамлетом, другое дело, что на нем и его  "загадке"  по  традиции
сосредоточивались   основные    усилия    шекспироведов    и    практических
интерпретаторов,  а  Андрей  Чернов   обратил   внимание   на   существенные
"странности поведения" считавшегося  в  общем-то  второстепенным  персонажем
Горацио, "преданного друга"  Гамлета,  "философа-стоика",  постановщиками  и
зрителями  воспринимающегося  то  безобидным   шутом,   то   безобидным   же
занудой-резонером.
     Но "Гамлет" - несомненно сложное по своей  структуре  "многомерное"  (а
отчасти и "поверенное алгеброй" - см. статью А.Чернова "Формула Шекспира"  о
золотом сечении)  произведение,  имеющее  четкую  структуру,  в  которой,  в
частности, отношения персонажей строго структурированы.
     Образ Горацио как политика (вернее, политикана) и его связь с древней и
новой историей Европы подробно разобраны в статье Чернова.  Я  позволю  себе
сделать только несколько дополнительных замечаний.
     Место действия  драмы  нарочито  условно  -  якобы  Дания,  однако  для
англичан и вообще западных европейцев эта страна не дальний свет. А в  драме
и название конкретного места действия (замок  Helsingor,  через  французское
посредство дошедший в Англию в виде Elsinore - и  в  таком  искаженном  виде
оставшийся в "Гамлете",  хотя  Шекспир,  видимо,  знал,  как  этот  портовый
городишко звучит по-датски), и имена действующих лиц весьма условны. Ниже  в
таблице выделены  и  подчеркнуты  реальные  для  каждого  из  языков  имена,
остальные - стилизации.

  Греческие       латинские       "итальян-     древнегерман-      "немецкие"
  имена и         имена и         ские"         ские/скандин.      фамилии
  стилизованные   стилизованные   имена         имена и стилизов.
  под них         под них         под них

  Ophelia (дочь   Claudius        Horatio       Gertrude            Rosencranz
  Полония)        (король)        (друг         (королева)          (придворный)
                                  семьи)

  Laertes (сын    Lucianus (пле-  Bernardo      Hamlet              Guildensten
  Полония)        мянник венско-  (офицер)      (король и принц)    (придворный)
                  го
                  короля Гонзаго)

                  Polonius        Francisco     Fortinbras
                  (министр)       (солдат)      (норвежские
                                                король и принц)

                  Cornelius       Reynaldo      Osric
                  (придворный)    (слуга)       (придворный)

                  Marcellus (офи- Claudio       Voltimand
                  цер)            (слуга)       (придворный)

                                  Gonzago
                                  (венский
                                  король)

                                  Baptista
                                  (венская
                                  королева)

     Из  "греческих  по  форме"  Ophelia   не   имеет   прямого   греческого
соответствия. Сравнение с "однокоренными" ophelos "польза, выгода,  помощь",
ophello "наращивать, усиливать, приумножать, возвеличивать",  opheilo  "быть
должным, считать себя обязанным" не делает ее имя  "говорящим".  Видимо,  ее
имя следует считать искаженным (с заменой ожидаемого  А-  на  О-)  греческим
существительным apheleia, производным от  прилагательного  apheles  "ровный,
гладкий;    безукоризненный;    простой;     неприхотливый,     прямодушный,
бесхитростный". У ее брата Лаэрта - имя царя Итаки, отца  Одиссея;  отец  же
Polonius - латинизированный "Поляк". Из "латинских" (их признак -  окончание
-us) настоящими древнеримские имена - это  Claudius,  Cornelius,  Marcellus.
Lucianus - латинизированный в античности греческий Lukianos (a может быть, у
Шекспира - итал. Luciano), Polonius - "поляк" (средневековое  слово).  Немцы
почему-то зовутся  по  фамилиям.  Имена,  стилизованные  под  скандинавские,
напоминают романы Толкиена:  из  них  реальное,  пожалуй,  только  Gertrude,
остальные (и в  первую  очередь,  видимо,  имеющее  французскую  "говорящую"
этимологию Fortinbras - сильная рука) создают "скандинавский флер", не более
того. Характерно, что среди  них  нет  ни  одного  древнеанглийского  имени.
"Итальянские"  имена  могут  быть  названы  таковыми  только  по  оформлению
(окончание  -о):  Horatio  и  Claudio  -  это  "итальянизированные"  римские
Horatius и Claudius; Bernardo и Reynaldo - германизмы,  обретшие  эту  форму
при франко-провансальском посредстве (из них итальянскую форму имеет  только
Bernardo); Francisco -  имя  германско-позднеримского  происхождения,  но  в
итальянском оно имеет вид Francesco. Поэтому кажется неуместным  утверждение
о конкретно-швейцарском происхождении  Горацио  -  ономастически  он  просто
"гражданин  просвещенной  Европы".  "Итальянскими"   именами   зовут   также
"венских" короля и королеву из "Мышеловки" - Gonzago (в Италии это не имя, а
фамилия)  и  латинизированное  женское  (!)  имя   Baptista   (по-итальянски
Battista, франц. Batiste и Baptiste, причем в Средние века, видимо, и в  XVI
в. - исключительно мужское имя,  так  как  означает  "[Иоанн]  Креститель").
Среди имен нет ни одного библейского и  евангелического.  "Говорящие"  имена
(имеющие исторические аналоги) из них, пожалуй, только Claudius, Marcellus и
Horatio (возможно, значение имеют также Polonius - славянинполяк  на  службе
"датского" короля с именем римского императора и Fortinbras, если имеется  в
виду  прочтение  по-французски,  "fort-en-bras").   В   таблицу   не   вошел
фехтовальщик "француз" Lamord - наверное, это искаженное la mort "смерть".
     Можно было бы возразить, что Шекспир не знал итальянского, и потому ему
достаточно  было  приставить  окончание  -о  для  того,  чтобы   имя   стало
итальянским (как для нас анекдотический Тояма Токанава - японец).  Однако  в
других пьесах итальянские  имена  и  фамилии  у  него  достаточно  правильны
(например, в "Ромео и Джульетте"). Датские и немецкие  имена  он  несомненно
знал - почему бы ему было  не  назвать  своих  "датчан"  Эриком,  Амундом  и
Вальдемаром, Офелию - Аспазией,  итальянца  Франческо,  а  не  Франциско,  а
Полония не "поляком", а классическим римским или датским именем? Дело в том,
что он дал эти "созвучные", но искусственные имена умышленно (как  умышленно
сохранил нужные для исторических аллюзий  римские!),  и  живут  эти  люди  в
"Дании", "Италии", "Швейцарии", а не в Дании,  Италии,  Швейцарии,  и  не  в
Хелсингере, а в "Эльсиноре". И здесь показательно,  что  в  "неканонических"
версиях "Гамлета" и большинство кажущихся "реальными" имен представлены либо
в вымышленном, не имеющем прямого соответствия ни  в  одном  из  европейских
языков виде, либо с более чем странными значениями: Лаэрт (греч. Laertes)  -
в Первом кварто (1603 г.) Leartes; Gertrude - в Первом  кварто  Gertred,  во
Втором Gertrad; Rosencrantz (немецкое "венок из  роз")  -  в  Первом  кварто
Rossencraft ("лошадиная сила"?!); Guildenstern (здесь, при неясном Guilden-,
второй член композита немецкое Stern "звезда";  или  эта  фамилия  -  слегка
загримированная английское gilded stern  "золоченая  задница")  -  в  Первом
кварто Gilderstone (формально английская фамилия  со  странным  значением  -
"камень  позолотчика"?);  Reynaldo  -  в  Первом  кварто   Montano   (такого
итальянского имени нет).  "Говорящей"  фамилии  Lamord  (во  Втором  кварто)
соответствует бессмысленное Lamound в Фолио.
     В тексте мельком упоминаются еще два имени - кабатчика Иогена (Yaughan)
и королевского шута Йорика (Yorick). Yaughan -  распространенная  ирландская
фамилия; ирландцы в представлении англичан -  фольклорные  горькие  пьяницы,
поэтому  фамилия   Иоген   "говорящая".   Yorick   -   британская   фамилия,
"национальную принадлежность"  которой  в  пределах  Великобритании  мне,  к
сожалению, установить не удалось. Во всяком случае здесь  обращает  на  себя
внимание "почвенность" имени и его созвучие с родиной Шекспира - Уорикширом.
Оба имени, разумеется, к Дании отношения не имеют.
     Итак, место действия и национальность действующих лиц нарочито условны,
и шекспировская "Дания"  -  это  некая  усредненная  европейская  страна,  а
события в  ней  -  предполагаемая  автором  общая  модель  "общеевропейской"
политической ситуации и, судя  по  всему,  прогноз  ее  развития  в  будущем
(причем не только в ближайшем, айв весьма отдаленном - судя по параллелям  с
древнеримской историей, прогноз может относиться к эпохе  через  столько  же
столетий в будущем).
     Я не могу во всем  согласиться  с  Андреем  Черновым  относительно  его
толкования текста и выводов. Однако в одном случае его гипотеза, выдвинутая,
как может  показаться,  на  пустом  месте,  видимо,  имеет  текстологическое
основание. Речь идет о том, что королева в своем сообщении о  гибели  Офелии
(по крайней мере в его первой части)  пересказывает  Горацио.  Последнему  в
пьесе принадлежат лишь два длинных текста, позволяющих сделать выводы о  его
языковых  характеристиках  -  это  рассказ  охранникам   о   распрях   между
Гамлетом-отцом и Фортинбрасом и "доклад" принцу Фортинбрасу о произошедших в
Эльсиноре трагических событиях. Безусловное приписывание Горацио "доноса" на
Офелию (вернее, обоснование просьбы, чтобы Гертруда, отказывающаяся общаться
с  Офелией,  с  ней  побеседовала  и  уговорила  не  смущать   публику),   в
прижизненных  изданиях  пьесы  произносимого  неким  Господином  (пришедшего
вместе с Горацио), необоснованно ввиду  языковых  особенностей  -  образный,
"посконно-английский" язык провинциального помещика с "кудрявыми выраженияи"
полуграмотного провинциала (Which, as her  winks,  and  nods,  and  gestures
yield them, indeed would make one  think  there  might  be  thought,  though
nothing sure, yet much  unhappily)  -  в  этом  доносе  лишь  один  латинизм
(gesture), а прочие  три  заимствованных  французских  слова  (в  том  числе
enviously) к XVI веку давно уже воспринимались  как  "свои".  Напротив,  для
Горацио характерно частое употребление именно  латинизмов,  что  естественно
для "университетского жаргона" того времени, когда  преподавание  велось  на
латыни и  этот  язык  был  среди  ученой  публики  разговорным.  Латинизмами
переполнены обе его длинные реплики. Однако в "саге о  Старом  Гамлете"  они
макаронистически вплетены во вполне слэнговую речь, для  которой  характерны
разговорные аллегровые формы (appear'd, prick'd, in't, design'd и т.  п.)  и
оксюморонные ("стебные") сочетания разностилевой лексики (Hath <...> shark'd
up a list of lawless resolutes to some enterprise that hath a stomach in't -
в этом пассаже грубоватые разговорные shark'd up и  to  have  a  stomach  in
something соседствуют с a list of lawless  resolutes  to  some  enterprise).
"Доклад" Горацио,  в  отличие  от  "саги",  стилистически  "серьезен"  и  не
содержит разговорных аллегровых  форм,  однако  так  же  переполнен  учеными
латинизмами. Для речи Гертруды латинизмы в таком количестве, разумеется,  не
характерны - их у нее ровно столько, сколько было необходимо  интеллигентной
женщине для выражения непередаваемых "простым английским языком" абстрактных
понятий. Но в рассказе о смерти Офелии она неожиданно употребляет целый  ряд
на первый взгляд ненужных в данной ситуации "ученых" синонимов обычных слов,
при этом в странном для нее (но характерной для "саги"  Горацио  о  поединке
Старого Гамлета и Старого Фортинбраса) соположение противоположных по  стилю
слов (латинское + английское) даже в самой поэтической его части  (fantastic
garlands - liberal shepherds - pendent boughs -  weedy  trophies  -  coronet
weeds - chanted snatches - creature native ... indued unto  that  element  -
melodious lay). Разумеется, эта стилистическая странность может  объясняться
крайним волнением женщины, однако не исключено и то, что в своей основе этот
рассказ - пересказ только что услышанного сообщения  Горацио,  для  которого
именно такой стиль был характерен.
     При  анализе  структурных  связей  между  действующими   лицами   драмы
оказывается, что главный герой драмы - "датский" принц  Гамлет  -  находится
вне системы оппозиций, иными словами, "надсистемен" или даже  "внесистемен".
Если даже снять кажущиеся  "притянутыми  за  уши"  аргументы  А.Чернова,  то
останется ряд неоспоримых, ранее не замеченных или казавшихся не  связанными
между собой фактов, которые позволяют считать  Горацио  структурным  центром
"внегамлетовской"  композиции,  так  как  именно  он  находится  в  бинарных
оппозициях  с  прочими  главными  действующими  лицами,  тогда   как   между
последними прямые  соотношения  не  устанавливаются.  Горацио  -  Клавдий  -
политики новой и старой формации, Горацио - Лаэрт -  новые  политики  разных
тенденций  ("консервативной"  и  "революционной":  из  Горацио   "прорастет"
Ришелье, а из Лаэрта Кромвель), даже Горацио  -  Офелия  -  постренессансный
рационализм  и  ренессансный  "артистизм".  Поэтому  не   только   "внешние"
соображения, но и формальный структурный анализ заставляет нас  отнестись  к
фигуре Горацио с большим вниманием.  В  то  же  время  Гамлет  -  не  только
"социально-литературоведчески",  но  и  структурно   -   "лишний   человек".
Возможно, это - первая в  литературе  формальная  модель  романа  о  "лишнем
человеке";  невольно  вспоминается  построенный  по  этой  же  модели  роман
Достоевского "Идиот".
     От поэта-переводчика требуется слишком много - мало того, что он обязан
сотворить собственное  крупное  по  объему  произведение,  которое  было  бы
приятно и полезно читать. Он должен адекватно передать  современным  русским
языком дух и по возможности букву оригинала. Для этого он должен обладать не
только поэтическим талантом, но и  совершенным  знанием  языка,  на  котором
написано переводимое произведение, истории, быта той эпохи, понятных для той
эпохи намеков и коннотаций. Разумеется, ждать, что  на  каждое  классическое
произведение найдется свой поэт-энциклопедист,  -  бесперспективное  занятие
(хороший пример -  не  очень  хороший  поэтически,  но  академически  точный
перевод  "Илиады",  и  неточный,  но   поэтически   "качественный"   перевод
"Одиссеи"). В случае с "Гамлетом" мы имеем хорошие (с точки  зрения  русской
поэтики)  переводы,  дающие,  однако,  неадекватное  представление   как   о
поэтическом (в широком смысле)  языке  подлинника,  так  и  о  его  истинном
содержании  (к  сожалению,  таковы  общеизвестные  переводы  М.Лозинского  и
Б.Пастернака). Отсюда  вывод  о  необходимости  создания  квалифицированных,
снабженных  обширными  комментариями  русских  подстрочников  хотя  бы   для
величайших творений мировой поэзии, опираясь на которые русские поэты  могли
бы по возможности передать их "дух" и  "букву".  К  сожалению,  существующий
подстрочник М.Морозова далек от этого  идеала:  он  дает  весьма  искаженное
впечатление как о смысле, так и о языковом стиле.  Этот  перевод-подстрочник
производит такое впечатление, что его автор пользовался почти  исключительно
стандартным англо-русским словарем, в большинстве  случаев  не  задумываясь,
что текст Шекспира изобилует "ложными друзьями переводчика".
     Поэтическая интуиция Чернова в некоторых случаях позволила  ему  "через
голову"  двух  подстрочников  (М.Морозова  и  театроведа   О.Коршаковой)   и
известных переводов вернуться к шекспировскому тексту, то есть к  "духу".  К
примеру, "сага о Старом Гамлете и Старом Фортинбрасе", излагаемая Горацио, у
Шекспира имеет несомненно издевательски-пародийный характер (чего стоит одна
фраза на тогдашнем слэнге, перемешанном с "канцеляризмами": young Fortinbras
<.. .> shark'd up a list of lawless resolutes <...> that hath a stomach in't
<...> - в тексте, долженствующем произноситься sine ira et studio). Морозов,
видимо, убоялся неуместных перебоев в стиле великого англичанина и решил его
"пригладить" - в результате получился канцелярский отчет,  а  Чернов  угадал
язык "саги Горацио" и верно передал его по-русски.
     К сожалению, в иных случаях озарение не пришло.

                                                               Андрей ЧЕРНОВ



     Феномен золотой пропорции (золотого сечения) - самый древний  и,  может
быть, самый загадочный  из  математических  феноменов.  Его  исследование  и
сознательное использование  продолжается  уже  не  менее  пяти  тысячелетий.
Основанную  на  sqrt(5)  пропорцию  еще в XXVII веке до н.э. знал  строитель
египетских  пирамид  зодчий  Хеси-Ра,  чья  прямоугольная гробница в Саккаре
имеет   золотые  пропорции. Античность возвела  по  производной  от  sqrt(5)
сотни   шедевров  (среди  них и Парфенон). Византийские математики именно по
золотой   пропорции  рассчитали  систему   антропоморфных  строительных  мер
(на   Руси   они   стали  называться   саженями).  Золотой  пропорцией  были
увлечены    гении    эпохи  Возрождения.  (Леонардо  да  Винчи  именовал  ее
Божественной пропорцией.)
     Геометрически суть золотого сечения очень  проста.  Это  такое  деление
целого отрезка на два, при котором весь отрезок относится  к  большей  своей
части, как большая к меньшей.
     У золотой пропорции две равноправных формулы и два числа:
     
где Ф и 1 : Ф - числа золотого сечения. Умножая на число Ф, или деля на (1 : Ф), мы получим одинаковый результат. К золотой пропорции стремится отношение смежных членов любого ряда, в котором каждый следующий член есть сумма двух предыдущих. Можно взять два любых числа, и через полтора десятка сложений мы получим пару смежных чисел, отношение которых будет приближено к золотому числу 1,618034 с точностью до шести знаков по запятой. В последние годы появился ряд исследований, открывших золотое сечение не только в архитектуре и музыке, но и в многообразных природных формах {И.Ш. Шевелев, М.А. Марутаев, И.П. Шмелев. Золотое сечение. М, 1990.}. Начнем с осмеянной Новейшим временем античной идеи "музыки сфер". Предположим, что:
где Rn - радиус планеты Rс - радиус Солнца (696 тыс. км) Sn - среднее расстояние планеты от Солнца an - радиальный коэффициент данной планеты Преобразуем эту заведомую банальность таким образом:
Для планет Земной группы (четыре ближайших к Солнцу планеты, находящиеся до пояса астероидов) an < 2 и Sn < 2a. е. (1 а. е. - средний радиус орбиты Земли, равный 149, 6 млн. км). Составим таблицу, взяв радиусы планет и средние радиусы их орбит из "Советского энциклопедического словаря" (М., 1988) и добавив новейшие данные по Кваоару: I. Планеты земной группы: Меркурий 0,387 а.е. - ср. R 2439 км -> аme 0,2914982 Венера 0,723 а.е. - ср. R 6050 км -> av 1,3508489 Земля 1 а.е. - ср. R 6371,032 км -> az 1,9675369 Марс 1,524 а.е. - ср. R 3390 км -> ama 1,5955036 II. Планеты-гиганты: Юпитер 5,203 а.е. - экв. R 71400 км -> aj 114,72687 Сатурн 9,539 а.е. - экв. R 60400 км -> as 177,93152 Уран 19,18 а.е. - экв. R 24300 км -> au 143,93552 Нептун 30,07 а.е. - экв. R 25050 км -> ane 232,62387 III. Небольшие сверхдальние планеты Плутон 39,44 а.е. - R 1500 км -> ар 18,270115 Кваоар (2002 LM 60) 43,4492 а.е. - R 640 км -> ak 8,58766 Заметим, что
Значит, сравнивая радиальные коэффициенты смежных планет, мы сравниваем произведения средних радиусов их орбит на радиусы самих планет. В Земной группе отношение радиального коэффициента Земли к радиальному коэффициенту Марса дает удвоенную золотую пропорцию {Первую попытку обнаружить золотое сечение в строении солнечной системы предпринял советский композитор М.А. Марутаев (см. коллективную монографию "Золотое сечение", выпущенную московским издательством "Стройиздат" в 1990 г.). Исследователь пытался свести отношения расстояний планет к музыкальной гамме, предложив столь сложную систему преобразований, что работа эта не получила должного отклика. Кроме того, за модуль автор взял расстояние Плутона от Солнца. Когда осенью 2002 г. была открыта десятая планета Солнечной системы - Кваоар, стало понятно, что система Марутаева Солнечной системе не соответствует.}:
По публикациям конца 1990-х средний радиус Земли равен 6378 км. При таком радиусе отношение радиальных коэффициентов Земли и Марса приблизится к идеальному с погрешностью в одну тысячную:
Но это же число мы получаем, перемножив радиальные коэффициенты всех четырех планет Земной группы:
При этом любопытно, что
В группе планет-гигантов все отношения "золотые":
Юпитер и Сатурн - жидкие планеты, разбухшие под действием центробежных сил (с разным коэффициентом) по экваториальному радиусу. Так что первая часть отношения
может быть скорректирована, когда мы возьмем средние радиусы Юпитера и Сатурна. (Но сейчас будем довольствоваться данным приближением {Если брать данные не по изданию СЭС 1988 г., а по "Большому энциклопедическому словарю" 1994 г., два из трех результатов в группе планет-гигантов дадут менее точное (на порядок!) приближение к золотой пропорции. Однако дело не в ошибке измерений, а в том, что жидкие планеты-гиганты, вращаясь по вытянутым орбитам, должны деформироваться, проходя две наиболее удаленные друг от друга точки, и для определения среднего радиуса необходимо знать, где именно находилась планета, когда ее сфотографировали. За это разъяснение приношу глубокую благодарность московскому химику Валерию Никанорову.}.) Перед нами некая закономерность, возможно, проявление какого-то еще неоткрытого физического закона. К сожалению, золотой метод, не только хорошо известный исследователям архитектурных, музыкальных и природных форм, но и давший на огромном и разнородном материале замечательные результаты, до последнего времени почему-то практически не был востребован текстологами. Это тем более странно, что на принципе золотой пропорции как раз и держится структура гармоничных явлений той же архитектуры или музыки. Мне представляется, что некоторые из проблем, над которыми ломает голову современное шекспироведение, могут быть решены именно путем пропорционального анализа текстов. Для доказательства этого тезиса я обратился к "Гамлету", самой знаменитой пьесе всей мировой драматургии. Оказалось, что пропорции "Гамлета" настроены на гармонию золотого сечения. Речь идет о пропорциях драматического действия, но начнем наше исследование с текстовых пропорций. Поскольку никто не хронометрировал шекспировскую постановку в "Глобусе", ничего другого нам, собственно, и не остается. Для предварительного анализа я взял пропорции по русскому прозаическому переводу М. Морозова {М. Морозов. Избранные статьи и переводы. М, 1954.}. Этот перевод максимально удобен для подобной работы: если текст записан "в строку", то не надо отдельно считать стихи и прозу, достаточно вооружиться линейкой да калькулятором. Ремарок при подсчетах я не изымал. В переводе М. Морозова их число минимально, и в пропорциональном отношении ими можно пренебречь {Как выяснилось уже на материале английского текста, изъятие указаний на принадлежность речи тому или иному персонажу приводит к резкому (до 0,1) отклонению пропорций. Это означает, во-первых, что две реплики по одному стиху, произнесенные двумя персонажами, в пропорциональном отношении несколько весомей, чем двустишная реплика одного персонажа, а во-вторых, что в III акте темп действия взвинчивается, и речь героев короче, чем в I акте.}. Результаты, полученные на прозаическом русском переводе, были проверены на английском тексте, взятом из Интернета {Адрес в Интернете: http://tech-two.mit.edu/Shakespeare/hamlet/index.html}. Это электронная версия текста на основе издания 1604 г., которое несколько отлично от так называемого "Первого фолио", вышедшего через семь лет после смерти Шекспира. (В Первом фолио, в частности, уже сделана попытка деления текста на акты и сцены. Впрочем, обрывается она на 2 сцене II акта.) Впервые "Гамлет" был разделен на акты и сцены в 1676 г., то есть через шестьдесят лет после смерти Шекспира. В соответствии с тогдашней модой актов было выделено пять. При членении текста на пять актов достигается относительное их равенство. Увы, это, кажется, единственное достоинство такого деления. На афишах и на титульных листах под названием "Гамлет" мы привыкли читать "Трагедия в пяти актах", но еще М. Морозов полвека назад отмечал, что традиционное членение шекспировской трагедии "крайне неудачно". Невозможно, скажем, объяснить, почему после антракта между II и III, а еще между III и IV актами не происходит смены сценического пространства: закончили акт в зале и начали в зале следующий, закончили в комнате, в комнату и вернулись. Динамичного и изобретательного Шекспира, обожавшего перелицовки и перевоплощения, такое "постоянство", пожалуй, могло лишь рассмешить. Со времен Шекспира и до середины XIX века число актов было нечетным. Пьесы могли либо быть пятиактными, либо трехактными. Если пятиактное деление "Гамлета" неудачно, остается предположить, что мы имеем дело с трехактной пьесой. Для этого, в частности, и требуется пропорциональное исследование всего текста. Считается, что в "Глобусе" пьесы играли без антрактов. На этом основании тот же М. Морозов вообще отказался от деления пьесы на акты и сцены. (Что тоже облегчало наши подсчеты.) Но едва ли такой отказ корректен: режиссер Шекспир был вправе ставить спектакль без антрактов, но драматург Шекспир вряд ли мог пренебрегать законами драматургии. Так что само отсутствие антрактов ничего не доказывает. Ключом к пропорциональному исследованию "Гамлета" неожиданно для меня самого стал шекспировский принцип организации сценического пространства. В "Гамлете" три типа сценического пространства: действие происходит то на природе (под открытым небом), то в зале Эльсинорского замка, то в его комнатах. Зал в замке - это именно один зал (парадный тронный зал, где король принимает послов, где заезжие актеры играют спектакль и где происходит поединок Гамлета и Лаэрта). Пространство зала каждый раз маркировано ремаркой "Звучат трубы" (Морозов, с. 337; 357; 381; 431). Ремарка "Комната" должна означать разные комнаты в замке - от покоев Полония и покоев королевы до комнаты, где король оглашает замысел убить Гамлета (в последнем случае это именно комната или кабинет, а не парадный зал). Во-первых, отсутствует маркирующая его ремарка "Трубят трубы". Во-вторых, то, что оглашает король, в парадных покоях просто не может быть произнесено. Перед нами заговор короля против Гамлета, и здесь официальный статус происходящего невозможен. А он неизбежно появляется, если действие происходит в тронном зале замка. Но есть еще один способ отличить пространство зала от пространства комнат: зал больше, но не только по пространству, а и по времени. Сцены в зале в среднем в 3,2 раза длиннее, чем сцены в комнатах. На материале перевода М. Морозова стало ясно, что длина действия под открытым небом (то есть сумма всех сцен на эспланаде, во дворе замка, на равнине и на кладбище) практически равна длине I акта {Считается, что Шекспир не делил свои пьесы на акты, но это ошибка: первый акт выделен уже в издании 1623 года, а если был первый акт, значит, были и последующие.}. После этого я попытался разделить всю пьесу по пропорциям сценического пространства. Это привело к неожиданному результату - обнаружению уникальной модификации формулы золотого сечения. Тогда и пришлось окончательно отказаться от традиционного (но не авторского!) деления пьесы на пять актов. Структура "Гамлета" языком математики свидетельствует, что актов в трагедии Шекспира три, и каждый из них соответствует определенному типу пространства: I акт - сумме сцен, действие которых происходит на природе, II акт - сумме сцен, происходящих в парадном зале замка, III - сумме действия в комнатах замка. По однотомнику М. Морозова пропорции перевода "Гамлета" таковы: - Действие под открытым небом - 21,85 с. (21,4%); - I акт - 22,14 с. (21,7%). Разность 0,3%. - Действие в зале замка - 49,54 с. (48,5%); - II акт - 48,95 с. (47,9%). Разность 0,6%. - Действие в комнатах - 30,71 с. (30,1%); - III акт - 31,01 с. (30,4%). Разность 0,3%. - Все действие в замке - 80,25 с. (78,6%); - II и III акт - 79,96 с. (78,3%). Разность 0,3%. Отношение II акта к III акту, а также действия в зале замка к действию в комнатах близко к числу золотого сечения: 1,618... (В нашем случае 1,6.) Обратимся теперь к английскому тексту. Мы проанализировали его пропорции по двум параметрам - количеству слов и числу типографских знаков. Отклонения от формульных значений золотой пропорции больше по словам, чем по знакам. Скажем, отношение II к III акту по словам равно 1,607, а по знакам 1,6181... Статистика по количеству слов не может быть надежным показателем. Средняя длина слова, взятого вместе со знаками препинания, но без пробелов, колеблется от 4,6 знака (1 сцена IV акта и 1 сцена IV акта по традиционному делению текста) до 4,2 знака (2 сцена III акта, а по традиционной разбивке 6 сцена IV акта). Расхождение с числом золотого сечения по словам здесь весьма существенно (одна сотая, то есть 1%), зато по знакам - менее одной десятитысячной. В последнем случае точность пропорции отдает если не мистикой, то уж точно видом счастливого лотерейного билета. Разделив сумму знаков II акта на основное число золотого сечения (1,618...), получаем 42 743 знака, а реально в III акте 42 745 знаков. Значит, для идеального результата достаточно убрать пару восклицаний "О!" (или всего две запятые). Это, конечно, - случай. Но случай закономерный. Впрочем, в другом месте нам помогла именно простая случайность, то есть обыкновенное везение. По переводу М. Морозова длина всей пьесы относится к сценам, действие которых происходит в замке, как sqrt(Ф) : 1, то есть корень из числа золотого сечения (sqrt(1,618034...)) к единице, или как площадь квадрата к площади вписанного круга (4 : pi). Это заставило меня обратить внимание на то, что в английском оригинале вся пьеса относится к действию в зале замка как sqrt(Ф^3) : 1. (Отклонение менее 30 знаков, или менее 0,0008.) Перед нами пропорциональный каламбур на тему золотого сечения, который мы и приведем по формульным, то есть идеальным его значениям (с округлением лишь пятого знака по запятой):
а = I акт = действие под открытым небом = 21,38486%; b = II акт = действие в зале замка = 48,58683%; с = III акт = действие в комнатах = 30,02831%.
Отметим, что
где Ф и 1 : Ф - числа золотого сечения.
Реально же по английскому тексту: а = действие под открытым небом = 21,122%. I акт = 21,915%. Разность 0,793%. Отклонение от формульного: - 0,263% и + 0,53%. b = действие в зале замка = 48,568%. II акт = 48,258%. Разность 0,31%. Отклонение от формульного: - 0,019% и - 0,202%. с = действие в комнатах = 30,31%. III акт = 29,827%. Разность 0,487%. Отклонение от формульного: + 0,282% и - 0,202%. При этом пропорции текста, взятые по количеству печатных знаков (без пробелов), таковы {Разумеется, количество печатных знаков текста не может быть абсолютным показателем. Поэт не измеряет длину дыхания буквами (скорей уж слогами и ударениями). К тому же время действия не сводится к одному только произнесению текстов. Но, если вводить поправку на величину невербального действия, число типографских знаков - вполне надежный показатель для пропорционального исследования. Особенно если это касается крупных поэтических, драматических и прозаических форм.}: Статистика по английскому тексту 1 - эспланада перед замком - 1409 слов; 6452 знака 2 - зал в замке - 2175 9713 3 - комната Полония - 1121 4987 4 - эспланада - 767 3465 5 - двор замка - 1540 6790 Всего в I акте 7012 слов и 31407 знаков (без пробелов) 1 - комната Полония - 1018 4415 2 - зал в замке - 4989 22549 3 - зал в замке - 1607 7175 4 - зал в замке - 3328 14946 5 - комната короля - 831 3669 6 - комната королевы - 1872 8263 7 - комната короля - 396 1821 8 - комната Гамлета - 254 1126 9 - комната короля - 597 2723 10 - равнина - 553 2473 Всего во II акте 15 445 слов и 69160 знаков (без пробелов). 1 - комната короля - 1721 7817 2 - комната Горацио - 309 1308 3 - комната короля - 1662 7309 4 - кладбище - 2514 11090 5 - зал в замке - 3408 15221 Всего в III акте 9614 слов и 42 745 знаков (без пробелов). Всего в тексте 32 071 слово и 143 312 знаков. Сведем результаты в таблицу, чтобы наглядно показать отклонение от формульных значений золотого сечения: I акт II акт III акт Всего Всего Откл. знаков в% в% Природа 16707 2473 11090 30270 21,122 -0,263 Зал 9713 44670 15221 69604 48,568 -0,019 Комнаты 4987 22017 16434 43438 30,31 +0,282 Всего знаков 31407 69160 42745 143312 100% Всего в % 21,915 48,258 29,827 100% Откл. в % +0,53 -0,328 -0,202 Мы имеем дело с тем, что в науке принято называть нетривиальными соответствиями. Чтобы в этом убедиться, достаточно сравнить результаты по вертикали с результатами по горизонтали. Они на удивление близки. В I акте "лишних" только 0,53% текста, а в соответствующем ему по пропорции действии под открытым небом обнаруживается нехватка в 0,263%. Во II акте до формульного абсолюта недостает 0,328% текста, и в параллельных по пропорции сценах в зале также зияет нехватка (хотя и едва заметная, всего в 0,019%). В III акте не хватает 0,202%, а в сумме действия, происходящего в комнатах, излишек в 0,282%. Явное и вряд ли случайное зияние (две "дыры" практически одного диаметра) обнаруживается в пропорционально непараллельных друг другу III акте (не хватает 0,202%) и в сумме действия на природе (она меньше формульной на 0,263%). Разница диаметра этих "дыр" составляет 0,0006 (шесть десятитысячных). Если вся пьеса шла четыре часа, то это девять секунд. Резонно предположить, что речь идет не о двух, а об одном пропуске текста. Находится он в III акте, и пропущенное действие происходило на природе. Налицо система: какие-то утраты, не превышающие 0,3% от всего текста, есть во II акте (действие в зале) и в III акте (действие на природе). Любой художественный текст "дышит" относительно гармонической своей формулы и в том случае, когда автор методами творческой работы напоминает пушкинского Сальери, сознательно ориентировавшегося на некую алгебраическую формулу, и в том, когда мы имеем дело с Шекспиром, у которого гениальное чувство гармонии воплощается в конгениальном художественном произведении безо всяких дополнительных "измерений". Точного совпадения пропорций с идеальными не может быть хотя бы потому, что золотые числа иррациональны и отношением целых чисел не выражаются. Однако интересно установить пределы дыхания текста. Мы могли ожидать, что именно в пропорциях разных пространств погрешность должна быть больше, чем в пропорциях актов, ведь в первом случае мы имеем дело не с непрерывным, а с дискретным действием. Ошибка при сложении определяется не неумением поэта считать, а тем, что художник, как и любой человек, - система открытая, изменчивая в своем физиологическом и душевном самочувствии, подверженная влиянию земных стихий и космоса. Наше внутреннее время то растягивается, то убыстряется, и в зависимости от этого не только вербальный текст Шекспира или Пушкина, но и музыкальный текст Моцарта может "дышать". В "Гамлете" амплитуда дыхания английского текста +0,003, но в реальности она могла быть и на порядок меньше, ведь кроме антропоморфных и космотропных сбоев, определяющих дыхание новорожденного текста, есть и другие причины - сугубо текстологические. Во II акте недостающие 0,328% текста - это, очевидно, недостающее время пантомимы, разыгранной бродячими актерами. Поскольку невозможно перебросить избыток текста туда, где ощутим его недостаток, мы должны сначала взять за основу текст I акта: 31 407 его наборных знаков должны соответствовать не 21,915%, но формульным 21,385%. Тогда 1% соответствует 1468,65 условного знака. Во II акте должно быть 71 357 условных знаков, из которых 69 160 текстовые, а 2197 знаков "немые". ("Немой" знак - это временной показатель текстового эквивалента в тех местах пьесы, где действие идет без слов.) В III акте по пропорции золотого сечения 44 101 условный знак. Добавка составила 1358 "немых" знаков. 2197 : 1358 = 1,618, при Ф = (sqrt(5) + 1):2 = 1,618. Это "странное сближение" обнаруживает, может быть, и мнимую, но все же весьма загадочную связь между текстом, описывающим пантомиму, и временем ее воплощения на сцене. Текст с пересказом пантомимы мог не принадлежать самому Шекспиру, а быть всего лишь вольным изложением действия на сцене, сделанным пиратом-стенографом. В прижизненных изданиях "Гамлета", появившихся, видимо, пиратским образом, в пантомиме 200 знаков (Первая кварта) и 515 знаков (Вторая кварта). С пропорциональной точки зрения эти числа случайны. Но в Первом фолио 581 знак. Мы учитывали эти знаки при определении пропорции II и III актов, и пропорция оказалась "золотой", да еще и на удивление высокой пробы: отклонение от идеального - лишь на четвертом знаке по запятой. Но если простая статистика приводит к столь сочным математическим миражам, значит, текст с пересказом пантомимы в Первом фолио и впрямь _знаковый_. Почему? Да потому, что гармония золотой пропорции говорит о принадлежности его перу автора, то есть Шекспиру. Не будь в этом пересказе 581 знака, пропорция II и III акта ушла бы от золотой. Считать устойчивую гармоническую связь случайностью у нас нет оснований. О том же свидетельствует корреляция всей длины пантомимы из II акта с размерами текстовой лакуны в III акте. Это пропорция (2,05 : 1), близкая к отношению всего текста "Гамлета" ко II акту(sqrt(Ф^3) : 1 = 2,06 : 1). Нетрудно подсчитать, что при четырехчасовом спектакле пантомима бродячих актеров была (в идеальном с математической точки зрения случае) на 3 минуты 35 секунд больше, чем ее текстовый эквивалент. При прочтении вслух она звучит чуть меньше минуты, но настолько насыщена действием, что вряд ли ее можно сыграть без потерь и актерской спешки, скажем, за две минуты. Если наши расчеты корректны, вся пантомима равнялась 1,89% всего действия трагедии и длилась около 4 минут 30 секунд. (Или чуть меньше, если спектакль шел менее четырех часов.) Теперь рассмотрим лакуну, находящуюся в III акте. Видимо, это та же лакуна, что обнаруживается и в действии под открытым небом. Сумма действия на природе в нескорректированном тексте меньше формульной на 0,263%, а в III акте на 0,202%. Если исходить из длины скорректированного III акта, это - 1356 условных знаков текстового эквивалента, что при четырехчасовом действии равно 2 минутам 10 секундам актерской работы. Количественное совпадение двух этих "нехваток" (разница всего 0,06%) слишком знаменательно, чтобы не обратить на него внимания. Никакой пантомимы в III акте (да еще и в сцене на природе!) быть не могло. В III акте лишь одна сцена под открытым небом - это сцена на кладбище. Конечно, похоронная процессия должна была входить медленно, но Гамлет комментирует ее появление и тем компенсирует возможную паузу в действии. Полагаю, что временной (но не вербальный) пробел в III акте - это интермедия, не вписанная Шекспиром в текст (как, впрочем, и многие мелкие ремарки, без которых в суфлерском списке можно было обойтись). Итак, два условия: искомая интермедия должна находиться в III акте (по нашему делению) и действие ее должно происходить на природе. По-моему, есть только одна возможность выполнить оба эти условия. Если следовать логике шекспировского текста, Офелия не утонула. Ее утопили по указанию короля. Интермедия в III акте и должна изображать убийство Офелии или то, что называется "неоказанием помощи". Если такая интермедия была, то она предшествовала второй сцене, где свежеиспеченный душегуб встречается глазами с профессиональным душегубом пиратом. После пантомимы должны по-иному зазвучать и слова короля: "Ну, теперь ваша совесть должна скрепить печатью мое оправдание, и вы должны поместить меня в вашем сердце как друга. Ведь вы слышали разумным ухом, что тот, который убил вашего благородного отца, замышлял и против моей жизни". {Перевод М. Морозова.) Если до того, как раздался этот голос, мы увидели, что сделали с Офелией, то вся сцена, в которой Клавдий, как мальчишку, обставляет Лаэрта, - будет по-иному смотреться. (В конце этой сцены и придет королева, чтобы со слов убийц рассказать, как прекрасна была Офелия в водах ручья, как пела она там свои песенки, и как отяжелевшее от воды платье уволокло ее на дно.) Прижизненные издания "Гамлета" (1603 и 1604, 1609 и 1611 гг.) были лишены разбивки на акты и сцены. Список действующих лиц появляется только в издании 1709 г. (под редакцией Роу). Ремарки прижизненных изданий очень лаконичны и свидетельствуют не о том, что самого Шекспира не интересовало, как его издают, а, скорее, о том, что публикация "Гамлета", не принеся дохода, могла быть использована режиссерами-конкурентами. В этом случае она подрывала кассовый успех постановки в "Глобусе". Если это так, то первые прижизненные издания были пиратскими, и только посмертное издание 1623 г., в котором, как мы выяснили, пропорции пантомимы соответствуют пропорциям I и II актов, сделано по списку суфлерской рукописи. В суфлерском списке описание сложной пантомимы (этого пластического пересказа пьесы "Убийство Гонзаго") было необходимо, а описание простой и короткой интермедии убийства Офелии вполне могло отсутствовать. Однако именно логика развития текста (равно как и логика шекспировской драматургии) приводит нас к выводу о насильственной (по приказу короля) смерти Офелии. Интермедия выпала, и прозрачный замысел великого драматурга не был понят ни режиссерами, ни шекспироведами, ни зрителем. Восстановление интермедии, показывающей гибель Офелии, в III акте оправдано, на мой взгляд, пропорционально и текстологически. Еще раз оговоримся, что Шекспир не поверял гармонии алгеброй. Просто его муза (и его лира) сами были настроены на гармоническую волну. Вербальный подсчет и дает нам лишь вербальную составляющую шекспировской трагедии. Мы в этом и убедились, произведя корректировку пропорций добавлением времени пантомимы во II акте и восстановлением интермедии III акта. Разумеется, совершенно необязательно, что реальные пропорции шекспировской трагедии точно соответствовали формульным. Поэт не просчитывает гармонию, он дышит ею. Ошибка пушкинского Сальери в том, что он, разъяв музыку, "как труп", вообразил, что структуральное знание способно научить, как создавать моцартовские шедевры. Художественный текст "дышит", даже если он одет в камень. (Так в домонгольском древнерусском зодчестве норма строительных допусков - отклонение от саженных значений на две-три тысячных.) Введя поправку на "немые" знаки, мы лишь несколько скорректировали результаты, полученные по пропорциям перевода М. Морозова и английского текста. Для примера: золотое сечение всего текста по русскому прозаическому переводу приходится на ремарку "Входит Призрак" (6 сцена II акта по нашей разбивке и 4 сцена III акта по традиционной). Это последнее появление Призрака в пьесе. По скорректированному оригиналу золотое сечение приходится на слова Призрака: "О, step between her and her fighting soul..." Разница тут, впрочем, всего в десять строк (337 знаков). И еще несколько соображений. Средневековый образ мира - Круг Земной, а Эльсинорский замок в плане представляет собой квадрат. Но sqrt(Ф) лишь на одну тысячную (погрешность, сопоставимая с погрешностью наших измерений) отличается от пропорции 4 : pi (отношение периметра квадрата к длине вписанной окружности, а также площади квадрата к площади вписанного круга). Это значит, что попутно (и вряд ли отдавая себе в этом отчет) Шекспир решает самую знаменитую из математических задач Средневековья - задачу о квадратуре круга. Итак, длина всей пьесы (со сценами на природе) относится к сценам, действие которых происходит под крышей замка, как sqrt(Ф) : 1, или как 4 : pi, то есть как площадь квадрата к площади вписанного в него круга. Значит, Круг Земной квадратен ("Дания - тюрьма!"), а квадратный замок кругл. Или квадрат заключает в себе круг, который по площади... больше квадрата. Об этом можно сказать словами Гамлета: "Эпоха свихнулась!" Геометрия Шекспира абсурдна, но в ее сумасшествии явно "есть логика". И эта логика напрямую коррелирует с логикой шекспировской драматургии. Подытожим. С пропорциональной точки зрения, уникальность формулы Шекспира в том, что текст делится по золотому сечению на три отрезка, а не на два, что делается обычно при работе с золотыми отношениями. Впрочем, деление на три отрезка, хотя и по другой модификации той же формулы золотого сечения, недавно было обнаружено в пропорциях храма Покрова на Нерли И.Ш. Шевелевым, чья работа сейчас только готовится к печати. В основу пропорциональной гармонии "Гамлета" положены и классическое золотое сечение, и производная от "золотой" формулы, эдакое "корневое золото" (см. формулы, описывающие сумму математических условий шекспировской гармонии). Пропопорциональное исследование текста трагедии привело к результату, свидетельствующему, что в "Гамлете" не пять актов, а три. А сцен ровно столько, сколько было выделено еще в издании 1676 г., - двадцать. (По пять в крайних актах, и десять в центральном. Такое впечатление, что драматург и режиссер Шекспир загибал пальцы, когда писал, а после ставил "Гамлета".) В "Глобусе" сцена вдавалась в зрительный зал, вклиниваясь в партер. Выскажем предположение, что при постановке "Гамлета" сцена в "Глобусе" была поделена на три части. Действие "под открытым небом" происходило, надо полагать, на авансцене, то есть и впрямь под открытым небом, ведь крыши у "Глобуса" не было. Средняя (и основная) часть сцены, на которой происходит более 48% всего действия, это - зал замка. Задник сцены, видимо, был разделен на два пространства (наличие перегородки между ними вовсе не обязательно). Эти два пространства - комнаты замка. Понятно, почему в шекспировском театре не было занавеса. Очевидно, действие шло в освещенном пространстве сцены, а в затемненном в это время рабочие могли менять декорации. При такой сценографии занавес просто не нужен. В каждом из трех актов представлены все три типа сценического пространства. В первых трех сценах первого акта происходит последовательное обживание пространства (от большего к меньшему: эспланада - зал в замке - комната Полония). И лишь малый клочок пространства остается закрытым до середины всей пьесы (до 5 сцены II акта по нашей разбивке, соответствующей 3 сцене III акта по традиционному членению). Это пространство тайны короля, пространство его комнаты, а значит, и самой его души. Шекспир приберегает это пространство до срока и открывает волшебным ключом своей драматургии в тот момент, когда король сбрасывает маску - отдает приказ о высылке Гамлета в Англию и пытается молиться. Сцены распределяются по принципу однородности сценического пространства в той же пропорции, что и по актам: - на природе - 5 сцен; - в комнатах - 10 сцен; - в зале замка - 5 сцен. Отличие лишь в том, что пропорционально сцены в комнатах соответствуют пропорциям II акта, а сцены в зале - пропорциям III акта. Полагаю, если бы исследователи обратили внимание на эту симметрию (и этот хиазм), текст "Гамлета" давно был бы разделен в соответствии с замыслом самого драматурга на три акта {Впрочем, М. Морозов сообщает, что в постановке В.М. Бейбутова в Воронеже (1941 г.) и в Витебске (1946 г.) "Гамлет" был разделен именно на три акта (Морозов, с. 442).}. Если верить подсказке Гамлета (в сцене объяснения с королевой), универсальной мерой для Шекспира было не произнесенное слово, а сценическое время в единицах собственного пульса поэта. Уильям ШЕКСПИР Призвал бы избавительницу-смерть: На что мне миражи земной юдоли И нищие, которым умереть В объятиях неправды и неволи, И по дешевке скупленная честь, И девство, что растлили для продажи, И правдою приправленная лесть, И сила у бессилия на страже, Косноязычье недомастерства Под пристальным приглядом идиота, И простота, что хуже воровства, И дух тюрьмы, забавный для кого-то... Призвал бы смерть, допив бокал до дна, Но как ты с этим справишься одна? Перевел А. Ч. To be, or not to be... To be, or not to be: that is the question: Whether 'tis nobler in the mind to suffer The slings and arrows of outrageous fortune, Or to take arms against a sea of troubles, And by opposing end them? To die: to sleep; No more; and, by a sleep to say we end The heart-ache and the thousand natural shocks That flesh is heir to, 'tis a consummation Devoutly to be wish'd. To die, to sleep; To sleep: perchance to dream: ay, there 's the rub; For in that sleep of death what dreams may come When we have shuffled off this mortal coil, Must give us pause. There 's the respect That makes calamity of so long life; For who would bear the whips and scorns of time, The oppressor's wrong, the proud man's contumely, The pangs of dispriz'd love, the law's delay, The insolence of office, and the spurns That patient merit of the unworthy takes, When he himself might his quietus make With a bare bodkin? who would fardels bear, To grunt and sweat under a weary life, But that the dread of something after death, The undiscover'd country from whose bourn No traveller returns, puzzles the will, And makes us rather bear those ills we have Than fly to others that we know not of? Thus conscience does make cowards of us all; And thus the native hue of resolution Is sicklied o'er with the pale cast of thought, And enterprises of great pith and moment With this regard their currents turn awry, And lose the name of action. Soft you now! The fair Ophelia! Nymph, in thy orisons Be all my sins remember'd. Быть или не быть, вот в чем вопрос. Благороднее ли молча терпеть пращи и стрелы яростной судьбы, или поднять оружие против моря бедствий и в борьбе покончить с ними? Умереть - уснуть - не более того. И подумать только, что этим сном закончится боль сердца и тысяча жизненных ударов, являющихся уделом плоти, - ведь это конец, которого можно от всей души пожелать! Умереть. Уснуть. Уснуть, может быть, видеть сны; да, вот в чем препятствие. Ибо в этом смертном сне какие нам могут присниться сны, когда мы сбросим мертвый узел суеты земной? Мысль об этом заставляет нас остановиться. Вот причина, которая вынуждает нас переносить бедствия столь долгой жизни, несправедливости угнетателя, презрение гордеца, боль отвергнутой любви, проволочку в судах, наглость чиновников и удары, которые терпеливое достоинство получает от недостойных, если бы можно было самому произвести расчет простым кинжалом? Кто бы стал тащить на себе бремя, кряхтя и потея под тяжестью изнурительной жизни, если бы не страх чего-то после смерти - неоткрытая страна, из пределов которой не возвращается ни один путешественник, - не смущал бы нашу волю и не заставлял бы скорее соглашаться переносить те бедствия, которые мы испытываем, чем спешить к другим, о которых мы ничего не знаем? Так сознание делает нас всех трусами; и так врожденный цвет решимости покрывается болезненно-бледным оттенком мысли, и предприятия большого размаха и значительности в силу этого поворачивают в сторону свое течение и теряют имя действия. Но тише! Прекрасная Офелия! Нимфа, в твоих молитвах да будут помянуты все мои грехи! Перевод Михаила Морозова Традиционное деление текста "ГАМЛЕТА" по изданию 1676 г. I акт Сцена 1 - эспланада перед замком Сцена 2 - зал в замке Сцена 3 - комната Сцена 4 - эспланада Сцена 5 - двор замка II акт Сцена 1 - комната Сцена 2 - зал в замке III акт Сцена 1 - зал в замке Сцена 2 - зал в замке Сцена 3 - комната Сцена 4 - комната IV акт Сцена 1 - комната Сцена 2 - комната Сцена 3 - комната Сцена 4 - равнина Сцена 5 - комната Сцена 6 - комната Сцена 7 - комната V акт Сцена 1 - кладбище Сцена 2 - зал в замке

Популярность: 208, Last-modified: Tue, 04 Apr 2006 19:00:43 GmT